Suppr超能文献

使用心电图图像的心肌梗死分类的信号引导多任务学习

Signal-Guided Multitask Learning for Myocardial Infarction Classification Using Images of Electrocardiogram.

作者信息

Park Bo Eun, Shon Byungeun, Cho Jungrae, Jung Min-Su, Park Jong Sung, Kim Myeong Seop, Lee Eunkyu, Choi Hyohun, Park Hyuk Kyoon, Park Yoon Jung, Kim Hong Nyun, Kim Namkyun, Bae Myung Hwan, Lee Jang Hoon, Yang Dong Heon, Park Hun Sik, Cho Yongkeun, Jeong Sungmoon, Jang Se Yong

机构信息

Department of Internal Medicine, Kyungpook National University Hospital, Daegu, Republic of Korea.

School of Medicine, Kyungpook National University, Daegu, Republic of Korea.

出版信息

Cardiology. 2025;150(4):347-356. doi: 10.1159/000542399. Epub 2024 Nov 6.

Abstract

INTRODUCTION

The diagnosis of myocardial infarction (MI) needs to be swift and accurate, but definitively diagnosing it based on the first test encountered in clinical practice, the electrocardiogram (ECG), is not an easy task. The purpose of the study was to develop a deep learning (DL) algorithm using multitask learning method to differentiate patients experiencing MI from those without coronary artery disease using image-based ECG data.

METHODS

A DL model was developed based on 11,227 ECG images. We developed a new ECG interpretation algorithm through signal-guided multitask learning, building on a previously published single-task algorithm. The utility of this model was evaluated by testing 51 physicians in interpreting ECGs with and without the assistance of the DL model.

RESULTS

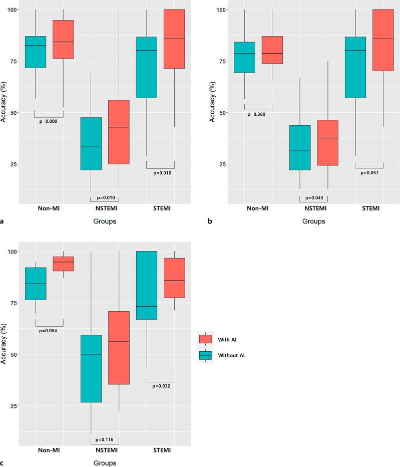
The proposed model demonstrated superior performance, achieving 90.56% accuracy, 83.82% sensitivity, 93.02% specificity, 81.44% precision, and an F1 score of 82.61% in discriminating MI ECG. Overall, the median accuracy of ECG interpretation improved from 62% to 68% with the DL algorithm. Trainees and specialists in internal medicine experienced significant accuracy increases (60-66% for trainees, 72-80% for specialists). In the MI group, NSTEMI accuracy was notably lower than STEMI (33% vs. 80%, p < 0.001), but the DL algorithm improved interpretative capabilities in both NSTEMI and STEMI.

CONCLUSIONS

Signal-guided multitask DL algorithm demonstrated superior performance compared with previous single-task algorithm. The DL algorithm supports the physicians' decision discriminating MI ECGs from non-MI ECGs. The improvement was consistent in subgroups of STEMI and NSTEMI.

摘要

引言

心肌梗死(MI)的诊断需要迅速且准确,但仅依据临床实践中遇到的首个检查项目——心电图(ECG)来明确诊断并非易事。本研究的目的是开发一种深度学习(DL)算法,采用多任务学习方法,利用基于图像的心电图数据区分心肌梗死患者与无冠状动脉疾病的患者。

方法

基于11227张心电图图像开发了一个深度学习模型。我们在先前发表的单任务算法基础上,通过信号引导的多任务学习开发了一种新的心电图解读算法。通过测试51名医生在有无深度学习模型辅助下解读心电图的情况来评估该模型的效用。

结果

所提出的模型表现出卓越的性能,在区分心肌梗死心电图时,准确率达到90.56%,灵敏度为83.82%,特异性为93.02%,精确率为81.44%,F1分数为82.61%。总体而言,使用深度学习算法时,心电图解读的中位准确率从62%提高到了68%。内科实习医生和专科医生的准确率显著提高(实习医生从60%提高到66%,专科医生从72%提高到80%)。在心肌梗死组中,非ST段抬高型心肌梗死(NSTEMI)的准确率明显低于ST段抬高型心肌梗死(STEMI)(33%对80%,p<0.001),但深度学习算法提高了NSTEMI和STEMI的解读能力。

结论

与先前的单任务算法相比,信号引导的多任务深度学习算法表现出卓越的性能。深度学习算法有助于医生区分心肌梗死心电图和非心肌梗死心电图。在STEMI和NSTEMI亚组中,这种改善是一致的。

https://cdn.ncbi.nlm.nih.gov/pmc/blobs/141f/12324791/a706203b0b6f/crd-2025-0150-0004-542399_F01.jpg

文献检索

告别复杂PubMed语法,用中文像聊天一样搜索,搜遍4000万医学文献。AI智能推荐,让科研检索更轻松。

立即免费搜索

文件翻译

保留排版,准确专业,支持PDF/Word/PPT等文件格式,支持 12+语言互译。

免费翻译文档

深度研究

AI帮你快速写综述,25分钟生成高质量综述,智能提取关键信息,辅助科研写作。

立即免费体验