Suppr超能文献

浊点萃取结合导数分光光度法用于从水溶液中去除甲酚红和甲基橙染料二元混合物:Box-Behnken 设计优化

Application of cloud point extraction coupled with derivative spectrophotometry to remove binary mixture of Cresol Red and Methyl Orange dyes from aqueous solutions: Box-behnken design optimization.

作者信息

Sargazi Shahnaz, Ghaneian Mohammad Taghi, Rahmani Mashaallah, Ebrahimi Ali Asghar

机构信息

Environmental Sciences and Technology Research Center, Department of Environmental Health Engineering, School of Public Health, Shahid Sadoughi University of Medical Sciences, Yazd, Iran.

Health Promotion Research Center, Department of Environmental Health Engineering, School of Public Health, Zahedan University of Medical Sciences, Zahedan, Iran.

出版信息

Heliyon. 2024 Oct 28;10(21):e39628. doi: 10.1016/j.heliyon.2024.e39628. eCollection 2024 Nov 15.

Abstract

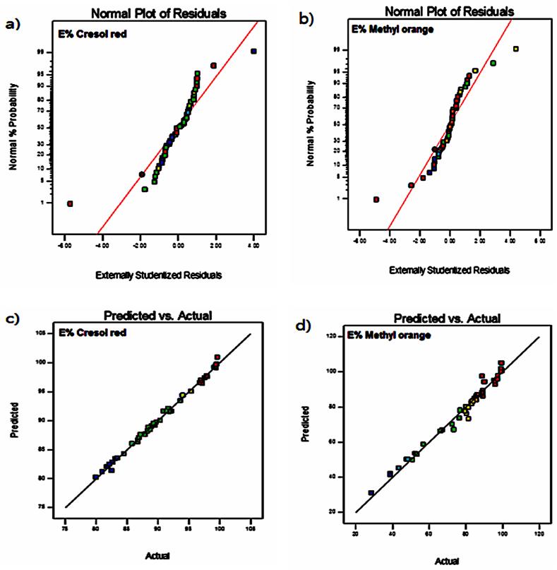
Cloud point extraction (CPE) was employed to eliminate Cresol Red (CR) and Methyl Orange (MO), as anionic dyes in a binary mixture from aqueous solutions. To remove these dyes Triton X-100 and NaCl at pH 5.7 were utilized. In this vein, wavelengths of 365 nm and 520 nm were respectively selected for CR and MO using the derivative spectrophotometer and first-order derivatives. According to based on the first-order derivative spectrophotometry, the recoveries rised from 94.3 to 99.5 % for CR and from 94.6 to 99.1 % for MO. In the following, the response surface methodology was administered to investigate the effect of surfactant concentration, temperature, and time on the dyes' elimination process. The quadratic mathematical model was obtained from the Box-Behnken design (BBD) matrix and developed to estimate the impact of each variable and its relationship with the elimination parameters. Later, coefficients of determination (R) ≥0.97 were obtained using model equations and comparison between predicted and empirical values. Analysis of variance estimated the models' significance and anticipation while processing the study variables. Based on the results, the model of pseudo-first-order in kinetic modelling can best describe dyes adsorption among the studied models. The analyzed dyes adhere to the Langmuir model with correlation values of 0.86 for CR and 0.87 for MO. The monolayer capacity (Q) was determined as 0.77 mol/mol for CR and 26.41 mol/mol for MO.

摘要

采用浊点萃取(CPE)法从水溶液中去除二元混合物中的阴离子染料甲酚红(CR)和甲基橙(MO)。为去除这些染料,使用了pH值为5.7的Triton X-100和氯化钠。在此过程中,使用导数分光光度计和一阶导数分别为CR和MO选择了365 nm和520 nm的波长。根据一阶导数分光光度法,CR的回收率从94.3%提高到99.5%,MO的回收率从94.6%提高到99.1%。接下来,采用响应面法研究表面活性剂浓度、温度和时间对染料去除过程的影响。通过Box-Behnken设计(BBD)矩阵获得二次数学模型,并对其进行拓展以估计每个变量的影响及其与去除参数的关系。随后,使用模型方程并通过比较预测值和实验值,得到了决定系数(R)≥0.97。方差分析在处理研究变量时估计了模型的显著性和预测能力。根据结果,在所研究的模型中,动力学建模中的拟一级模型能够最好地描述染料的吸附情况。分析得出,染料符合朗缪尔模型,CR的相关值为0.86,MO的相关值为0.87。CR的单层吸附容量(Q)确定为0.77 mol/mol,MO的单层吸附容量为26.41 mol/mol。

https://cdn.ncbi.nlm.nih.gov/pmc/blobs/f042/11566683/7d02352b6436/ga1.jpg

文献AI研究员

20分钟写一篇综述,助力文献阅读效率提升50倍。

立即体验

用中文搜PubMed

大模型驱动的PubMed中文搜索引擎

马上搜索

文档翻译

学术文献翻译模型,支持多种主流文档格式。

立即体验