Suppr超能文献

维生素 C 注射对感染小鼠运动肌肉性能和生化参数的影响。

Effect of vitamin C injections on exercise muscular performance and biochemical parameters in -infected mice.

机构信息

Zoology Department, Faculty of Science, Port Said University, Port Said, Egypt.

Department of Biology, College of Sciences, Taif University, Taif, Saudi Arabia.

出版信息

PeerJ. 2024 Nov 13;12:e18381. doi: 10.7717/peerj.18381. eCollection 2024.

Abstract

BACKGROUND

is a worldwide intestinal nematode that can parasitize the striated muscles of its hosts at the larval stage. This study aims to evaluate potential of vitamin C for treating trichinellosis-related pathological problems in the infected muscles of mice.

MATERIALS AND METHODS

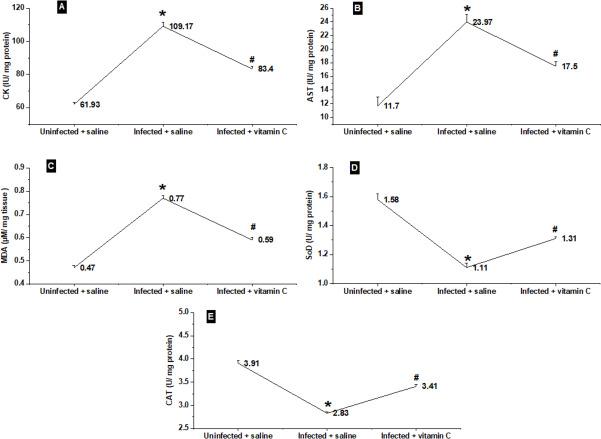
Thirty CD1 male Albino mice were divided into three groups (10 mice per group). Negative and positive control groups (0.9% NaCl) and the infected vitamin C group (10 mg/kg body weight). Two weeks post-infection, each group was intraperitoneally injected daily for two weeks with Vitamin C or saline. The performance of the muscles was assessed both before and after the treatment. After dissection, constant parts of striated muscles were removed for further assays. The scoring of the histological changes of infected muscles was carried out. In addition to muscle malondialdehyde levels, superoxide dismutase and catalase activities were measured for the oxidative and antioxidant states. Creatine kinase and aspartate aminotransferase were also measured in tissues to reflect the degree of muscular damage.

RESULTS

Vitamin C enhances the weakness of the muscular performance resulting from the infection. Vitamin C was able to repair some of the histological lesions that resulted from the infection. Trichinellosis caused severe changes in the biochemical markers in positive control animals. Muscle damage biomarkers and, besides, oxidative and antioxidant conditions were greatly ameliorated in infected vitamin C animals. Summing up, vitamin C can be used as a complementary drug due to its efficiency in improving pathogenesis following a trichinellosis infection. The supplement also must be tested in the intestinal stage of infection after showing promising results in the muscular stage.

摘要

背景

旋毛虫是一种全球性的肠道寄生线虫,可在幼虫阶段寄生宿主的横纹肌。本研究旨在评估维生素 C 治疗感染小鼠肌肉中旋毛虫病相关病理问题的潜力。

材料和方法

30 只 CD1 雄性白化小鼠分为三组(每组 10 只)。阴性和阳性对照组(0.9%生理盐水)和感染维生素 C 组(10mg/kg 体重)。感染后 2 周,每组每天腹腔注射维生素 C 或生理盐水 2 周。在治疗前后评估肌肉的表现。解剖后,取出横纹肌的恒定部分进行进一步分析。对感染肌肉的组织学变化进行评分。除肌肉丙二醛水平外,还测量超氧化物歧化酶和过氧化氢酶活性以评估氧化和抗氧化状态。还测量组织中的肌酸激酶和天冬氨酸氨基转移酶以反映肌肉损伤程度。

结果

维生素 C 增强了感染引起的肌肉性能减弱。维生素 C 能够修复部分由感染引起的组织学损伤。旋毛虫病导致阳性对照组动物的生化标志物发生严重变化。肌肉损伤生物标志物以及氧化和抗氧化条件在感染维生素 C 的动物中得到了很大改善。综上所述,维生素 C 可以作为一种补充药物,因为它在改善旋毛虫感染后的发病机制方面非常有效。在肠道阶段的感染中,还必须在肌肉阶段显示出有希望的结果后进行测试。

https://cdn.ncbi.nlm.nih.gov/pmc/blobs/f220/11568815/cf14a6fd6767/peerj-12-18381-g001.jpg

文献检索

告别复杂PubMed语法,用中文像聊天一样搜索,搜遍4000万医学文献。AI智能推荐,让科研检索更轻松。

立即免费搜索

文件翻译

保留排版,准确专业,支持PDF/Word/PPT等文件格式,支持 12+语言互译。

免费翻译文档

深度研究

AI帮你快速写综述,25分钟生成高质量综述,智能提取关键信息,辅助科研写作。

立即免费体验