• 文献检索
  • 文档翻译
  • 深度研究
  • 学术资讯
  • Suppr Zotero 插件Zotero 插件
  • 邀请有礼
  • 套餐&价格
  • 历史记录
应用&插件
Suppr Zotero 插件Zotero 插件浏览器插件Mac 客户端Windows 客户端微信小程序
定价
高级版会员购买积分包购买API积分包
服务
文献检索文档翻译深度研究API 文档MCP 服务
关于我们
关于 Suppr公司介绍联系我们用户协议隐私条款
关注我们

Suppr 超能文献

核心技术专利:CN118964589B侵权必究
粤ICP备2023148730 号-1Suppr @ 2026

文献检索

告别复杂PubMed语法,用中文像聊天一样搜索,搜遍4000万医学文献。AI智能推荐,让科研检索更轻松。

立即免费搜索

文件翻译

保留排版,准确专业,支持PDF/Word/PPT等文件格式,支持 12+语言互译。

免费翻译文档

深度研究

AI帮你快速写综述,25分钟生成高质量综述,智能提取关键信息,辅助科研写作。

立即免费体验

依那普利的毒理学和环境风险及其在光转化反应下可能产生的转化产物。

Toxicological and environmental risks of enalapril and their possible transformation products generated under phototransformation reactions.

作者信息

Hernández-Tenorio Rafael, Gaspar-Ramírez Octavio, Aba-Guevara Cinthia G, González-Juaréz Edgar, Guzmán Mar Jorge Luis, Hinojosa-Reyes Laura

机构信息

Centro de Investigación y Asistencia en Tecnología y Diseño del Estado de Jalisco A.C., Sede Noreste, Vía de la Innovación 404, Autopista Monterrey-Aeropuerto Km 10, Parque PIIT, Apodaca, Nuevo León C.P. 66628, México.

Investigador de Cátedras CONACYT-ITNL. Centro de Investigación e Innovación Tecnológica-tecNM/ITNL, Apodaca, Nuevo León, México.

出版信息

Toxicol Rep. 2024 Nov 2;13:101796. doi: 10.1016/j.toxrep.2024.101796. eCollection 2024 Dec.

DOI:10.1016/j.toxrep.2024.101796
PMID:39559567
原文链接:https://pmc.ncbi.nlm.nih.gov/articles/PMC11570933/
Abstract

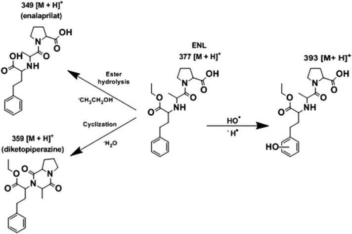
Pharmaceutical active compounds (PACs) in the concentration range of hundreds of ng/L to μg/L have been identified in urban surface water, groundwater, and agricultural land where they cause various health risks. These pollutants are classified as emerging and cannot be efficiently removed by conventional wastewater treatment processes. The use of nano-enabled photocatalysts in the removal of pharmaceuticals in aquatic systems has recently received research attention owing to their enhanced properties and effectiveness. In the current study, toxicological and environmental risks of enalapril (ENL) and their possible transformation products (TPs) generated under phototransformation processes (e.g., photolysis and photocatalysis reactions) were assessed. In photolysis reaction, removal of ENL was incomplete (< 16 %), while mineralization degree was negligible. In contrast, total removal of ENL was achieved through the photocatalytic process and its maximum mineralization ratio was 66 % by using natural radiation. Proposed transformation pathways during the phototransformation of ENL include hydroxylation and fragmentation reactions generating transformation products (TPs) such as hydroxylated TPs ( 393) and enalaprilat ( 349). Potential environmental risks for aquatic organisms were not observed in the concentrations of both ENL and enalaprilat contained in surface water. However, the acute and chronic toxicities prediction of TPs such as 409, 363, and 345 showed toxic effects on aquatic organisms. Thus, more studies regarding TPs monitoring for both ENL and PhACs with the highest occurrence worldwide are necessary for the creation of a database of the concentrations contained in surface water and groundwater for the assessment of the potential environmental risk for aquatic organisms.

摘要

在城市地表水、地下水和农业用地中已检测到浓度范围在数百纳克/升至微克/升的药物活性化合物(PACs),它们会引发各种健康风险。这些污染物被归类为新兴污染物,传统废水处理工艺无法有效去除。由于其增强的性能和有效性,近年来在水系统中使用纳米光催化剂去除药物受到了研究关注。在本研究中,评估了依那普利(ENL)及其在光转化过程(如光解和光催化反应)中可能产生的转化产物(TPs)的毒理学和环境风险。在光解反应中,依那普利的去除不完全(<16%),而矿化程度可忽略不计。相比之下,通过光催化过程实现了依那普利的完全去除,利用自然辐射时其最大矿化率为66%。依那普利光转化过程中提出的转化途径包括羟基化和碎片化反应,产生羟基化TPs(393)和依那普利拉(349)等转化产物。地表水中依那普利和依那普利拉的浓度均未观察到对水生生物的潜在环境风险。然而,对409、363和345等TPs的急性和慢性毒性预测显示对水生生物有毒性作用。因此,有必要对依那普利和全球出现频率最高的药物与个人护理用品(PhACs)的TPs监测进行更多研究,以建立地表水和地下水中所含浓度的数据库,用于评估水生生物的潜在环境风险。

https://cdn.ncbi.nlm.nih.gov/pmc/blobs/ce46/11570933/5d6e52d5e1b3/gr4.jpg
https://cdn.ncbi.nlm.nih.gov/pmc/blobs/ce46/11570933/4c3b8366310a/ga1.jpg
https://cdn.ncbi.nlm.nih.gov/pmc/blobs/ce46/11570933/6fd94145dda3/gr1.jpg
https://cdn.ncbi.nlm.nih.gov/pmc/blobs/ce46/11570933/54d6c2e1ee3b/gr2.jpg
https://cdn.ncbi.nlm.nih.gov/pmc/blobs/ce46/11570933/6e6805850261/gr3.jpg
https://cdn.ncbi.nlm.nih.gov/pmc/blobs/ce46/11570933/5d6e52d5e1b3/gr4.jpg
https://cdn.ncbi.nlm.nih.gov/pmc/blobs/ce46/11570933/4c3b8366310a/ga1.jpg
https://cdn.ncbi.nlm.nih.gov/pmc/blobs/ce46/11570933/6fd94145dda3/gr1.jpg
https://cdn.ncbi.nlm.nih.gov/pmc/blobs/ce46/11570933/54d6c2e1ee3b/gr2.jpg
https://cdn.ncbi.nlm.nih.gov/pmc/blobs/ce46/11570933/6e6805850261/gr3.jpg
https://cdn.ncbi.nlm.nih.gov/pmc/blobs/ce46/11570933/5d6e52d5e1b3/gr4.jpg

相似文献

1
Toxicological and environmental risks of enalapril and their possible transformation products generated under phototransformation reactions.依那普利的毒理学和环境风险及其在光转化反应下可能产生的转化产物。
Toxicol Rep. 2024 Nov 2;13:101796. doi: 10.1016/j.toxrep.2024.101796. eCollection 2024 Dec.
2
Degradation pathways of sulfamethoxazole under phototransformation processes: A data base of the major transformation products for their environmental monitoring.磺胺甲恶唑在光转化过程中的降解途径:主要转化产物的数据库,用于环境监测。
Environ Res. 2024 Dec 1;262(Pt 1):119863. doi: 10.1016/j.envres.2024.119863. Epub 2024 Aug 28.
3
Hydroxylated transformation products of pharmaceutical active compounds: Generation from processes used in wastewater treatment plants and its environmental monitoring.药物活性化合物的羟化转化产物:在污水处理厂中使用的工艺产生及其环境监测。
Chemosphere. 2024 Feb;349:140753. doi: 10.1016/j.chemosphere.2023.140753. Epub 2023 Nov 23.
4
Photo-transformation of ofloxacin in natural aquatic conditions: Impact of indirect photolysis on the product profile and transformation mechanism.天然水条件下氧氟沙星的光转化:间接光解对产物分布和转化机制的影响。
Chemosphere. 2024 Aug;361:142484. doi: 10.1016/j.chemosphere.2024.142484. Epub 2024 Jun 1.
5
Overlooked environmental risks deriving from aqueous transformation of bisphenol alternatives: Integration of chemical and toxicological insights.被忽视的双酚替代品水相转化所带来的环境风险:化学和毒理学见解的综合。
J Hazard Mater. 2022 Apr 5;427:128208. doi: 10.1016/j.jhazmat.2021.128208. Epub 2022 Jan 4.
6
Selective serotonin reuptake inhibitors and β-blocker transformation products may not pose a significant risk of toxicity to aquatic organisms in wastewater effluent-dominated receiving waters.在以废水排放为主的受纳水体中,选择性5-羟色胺再摄取抑制剂和β-受体阻滞剂转化产物可能不会对水生生物构成重大毒性风险。
Integr Environ Assess Manag. 2015 Oct;11(4):618-39. doi: 10.1002/ieam.1637. Epub 2015 May 5.
7
Does climbazole instigate a threat in the environment as persistent, mobile and toxic compound? Unveiling the occurrence and potential ecological risks of its phototransformation products in the water cycle.克霉唑是否会因其在环境中持久、移动和有毒而构成威胁?揭示其在水循环中光转化产物的出现和潜在生态风险。
J Hazard Mater. 2023 Sep 15;458:131854. doi: 10.1016/j.jhazmat.2023.131854. Epub 2023 Jun 14.
8
Sources, pathways, and relative risks of contaminants in surface water and groundwater: a perspective prepared for the Walkerton inquiry.地表水和地下水中污染物的来源、途径及相对风险:为沃克顿调查准备的一份报告
J Toxicol Environ Health A. 2002 Jan 11;65(1):1-142. doi: 10.1080/152873902753338572.
9
The role of direct photolysis and indirect photochemistry in the environmental fate of ethylhexyl methoxy cinnamate (EHMC) in surface waters.在地表水环境中,乙基己基甲氧基肉桂酸酯(EHMC)的直接光解和间接光化学作用。
Sci Total Environ. 2015 Dec 15;537:58-68. doi: 10.1016/j.scitotenv.2015.08.002. Epub 2015 Aug 14.
10
Photochemical transformation of fentanyl under the simulated solar radiation - Enhancement of the process by heterogeneous photocatalysis and in silico analysis of toxicity.模拟太阳辐射下芬太尼的光化学转化 - 多相光催化对该过程的增强作用及毒性的计算机模拟分析。
Sci Total Environ. 2021 Oct 15;791:148171. doi: 10.1016/j.scitotenv.2021.148171. Epub 2021 Jun 1.

本文引用的文献

1
Priority list of pharmaceutical active compounds in aquatic environments of Mexico considering their occurrence, environmental and human health risks.考虑到其存在情况、环境及人类健康风险,墨西哥水生环境中药物活性化合物的优先级列表。
Environ Toxicol Pharmacol. 2024 Sep;110:104502. doi: 10.1016/j.etap.2024.104502. Epub 2024 Jul 14.
2
A sustainable activated carbon fiber/TiO cathode for the photoelectro-Fenton treatment of pharmaceutical pollutant enalapril.一种用于光电芬顿处理药物污染物依那普利的可持续活性炭纤维/TiO 阴极。
Chemosphere. 2024 Apr;353:141492. doi: 10.1016/j.chemosphere.2024.141492. Epub 2024 Feb 20.
3
Hydroxylated transformation products of pharmaceutical active compounds: Generation from processes used in wastewater treatment plants and its environmental monitoring.
药物活性化合物的羟化转化产物:在污水处理厂中使用的工艺产生及其环境监测。
Chemosphere. 2024 Feb;349:140753. doi: 10.1016/j.chemosphere.2023.140753. Epub 2023 Nov 23.
4
Occurrence and risk assessment of pesticides and pharmaceuticals in viticulture impacted watersheds from Northwest Spain.西班牙西北部葡萄种植区流域中农药和药物的出现及其风险评估。
Chemosphere. 2023 Nov;341:140098. doi: 10.1016/j.chemosphere.2023.140098. Epub 2023 Sep 6.
5
Selection of priority emerging contaminants in surface waters of India, Pakistan, Bangladesh, and Sri Lanka.选择印度、巴基斯坦、孟加拉国和斯里兰卡地表水优先新兴污染物。
Chemosphere. 2023 Nov;341:139976. doi: 10.1016/j.chemosphere.2023.139976. Epub 2023 Aug 30.
6
Analyzing microbial communities and their biodegradation of multiple pharmaceuticals in membrane bioreactors.分析膜生物反应器中微生物群落及其对多种药物的生物降解作用。
Appl Microbiol Biotechnol. 2023 Sep;107(17):5545-5554. doi: 10.1007/s00253-023-12677-z. Epub 2023 Jul 12.
7
Pharmaceutical compounds photolysis: pH influence.药物化合物的光解作用:pH值的影响
Heliyon. 2023 Feb 11;9(2):e13678. doi: 10.1016/j.heliyon.2023.e13678. eCollection 2023 Feb.
8
Degradation of antiviral drug acyclovir by thermal activated persulfate process: Kinetics study and modeling.热激活过硫酸盐法降解抗病毒药物阿昔洛韦:动力学研究与建模。
Chemosphere. 2023 May;323:138247. doi: 10.1016/j.chemosphere.2023.138247. Epub 2023 Feb 24.
9
Degradation of oxytetracycline and doxycycline by ozonation: Degradation pathways and toxicity assessment.臭氧氧化降解土霉素和强力霉素:降解途径和毒性评估。
Sci Total Environ. 2023 Jan 15;856(Pt 1):159076. doi: 10.1016/j.scitotenv.2022.159076. Epub 2022 Sep 28.
10
Ecotoxicological effects of the antidepressant fluoxetine and its removal by the typical freshwater microalgae Chlorella pyrenoidosa.抗抑郁药氟西汀的生态毒理学效应及其被典型淡水微藻蛋白核小球藻去除的效果。
Ecotoxicol Environ Saf. 2022 Oct 1;244:114045. doi: 10.1016/j.ecoenv.2022.114045. Epub 2022 Aug 30.