Suppr超能文献

代谢相关脂肪性肝病与减重手术后的体重减轻:一项系统评价与荟萃分析

Metabolic-Associated Fatty Liver Disease and Weight Loss After Bariatric Surgery: A Systematic Review and Meta-Analysis.

作者信息

Sabench Fatima, Rusu Elena Cristina, Clavero-Mestres Helena, Arredondo-Prats Vicente, Veciana-Molins Marina, Muñiz-Piera Sara, Vives Margarita, Aguilar Carmen, Bartra Elia, París-Sans Marta, Alibalic Ajla, Quintillà Maria Teresa Auguet

机构信息

Hospital Universitari Sant Joan de Reus, Reus, Spain.

Rovira I Virgili University, Tarragona, Spain.

出版信息

Obes Surg. 2024 Dec;34(12):4459-4471. doi: 10.1007/s11695-024-07585-8. Epub 2024 Nov 19.

Abstract

BACKGROUND

Metabolic Dysfunction-Associated Steatotic Liver Disease (MASLD) and Metabolic Dysfunction-Associated Steatohepatitis (MASH) are increasingly prevalent in patients undergoing bariatric surgery (BS). Understanding their impact on weight loss outcomes after surgery and highlighting the results of surgical techniques such as Roux-en-Y Gastric Bypass (RYGB) and Sleeve Gastrectomy (SG) in relation to the presence of MASH are essential for improving patient management and predicting long-term success.

METHODS

A systematic review and meta-analysis were conducted. We searched the PubMed database; inclusion criteria were BS patients with liver impairment data at surgery and weight loss data at follow-up of 6 months or longer. Meta-analyses were conducted using R's meta package, assessing heterogeneity with the I statistic and employing subgroup analyses where necessary.

RESULTS

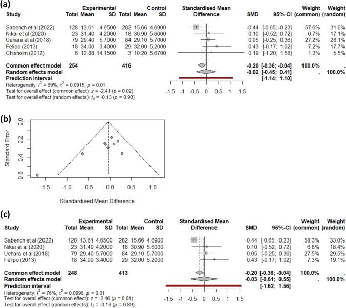
Out of 1126 eligible studies, 22 were included in the final systematic review. For the MASLD vs. Normal Liver (NL) comparison, no significant difference in BMI change was found at 12 months, but subgroup analysis indicated a possible publication bias (published data vs data collected). In the MASH vs. non-MASH comparison, high heterogeneity was noted at 12 months, and further stratification by surgical technique revealed that SG patients with MASH experienced lower weight loss, approaching statistical significance.

CONCLUSIONS

MASLD does not significantly affect short-term weight loss outcomes post-BS, but long-term results show variability. Standardized reporting practices and complete data dissemination are essential for future research to enhance meta-analysis reliability and generalizability.

摘要

背景

代谢功能障碍相关脂肪性肝病(MASLD)和代谢功能障碍相关脂肪性肝炎(MASH)在接受减重手术(BS)的患者中越来越普遍。了解它们对术后体重减轻结果的影响,并突出诸如 Roux-en-Y 胃旁路术(RYGB)和袖状胃切除术(SG)等手术技术与 MASH 存在相关的结果,对于改善患者管理和预测长期成功率至关重要。

方法

进行了一项系统评价和荟萃分析。我们检索了 PubMed 数据库;纳入标准为手术时有肝功能损害数据且随访 6 个月或更长时间时有体重减轻数据的 BS 患者。使用 R 的 meta 包进行荟萃分析,用 I 统计量评估异质性,并在必要时进行亚组分析。

结果

在 1126 项符合条件的研究中,22 项被纳入最终的系统评价。对于 MASLD 与正常肝脏(NL)的比较,12 个月时 BMI 变化无显著差异,但亚组分析表明可能存在发表偏倚(已发表数据与收集的数据)。在 MASH 与非 MASH 的比较中,12 个月时观察到高度异质性,按手术技术进一步分层显示,患有 MASH 的 SG 患者体重减轻较少,接近统计学意义。

结论

MASLD 对 BS 术后短期体重减轻结果无显著影响,但长期结果存在差异。标准化报告做法和完整数据传播对于未来研究提高荟萃分析的可靠性和可推广性至关重要。

https://cdn.ncbi.nlm.nih.gov/pmc/blobs/b906/11671570/2b498475511c/11695_2024_7585_Fig1_HTML.jpg

文献AI研究员

20分钟写一篇综述,助力文献阅读效率提升50倍。

立即体验

用中文搜PubMed

大模型驱动的PubMed中文搜索引擎

马上搜索

文档翻译

学术文献翻译模型,支持多种主流文档格式。

立即体验