Suppr超能文献

优秀手球运动员下肢的肌肉粗壮度和力量。

Muscular robusticity and strength in the lower extremities in elite handball players.

机构信息

Department of Biological Anthropology, Eotvos Lorand University, ELTE, Budapest, 1117, Hungary.

Sport Sciences and Diagnostic Research Centre, Hungarian Handball Federation, Budapest, 1103, Hungary.

出版信息

Sci Rep. 2024 Nov 21;14(1):28883. doi: 10.1038/s41598-024-75472-4.

Abstract

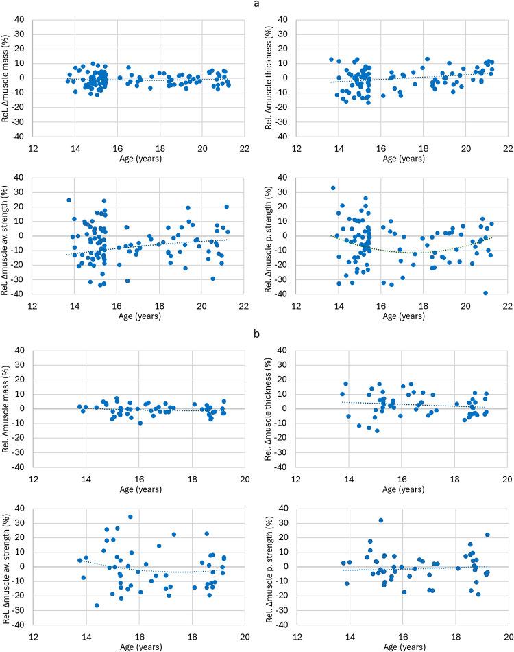
The relationship between structural and functional of parameters of skeletal muscles in young athletes needs further observations. The analyses of their age-group differences, sexual dimorphism, asymmetry characteristics in body regions, in sports having different pattern of physical loading could serve important information in this topic. 175 elite Hungarian handball players aged between 14 and 21 years were examined in 2023. Muscle mass component of the body segments was estimated by DEXA method and muscle thickness of the anterior mid-thigh region was measured by a new ultrasonic technique. The strength of knee extensor muscles was assessed by using an isokinetic protocol (Kineosystem dynamometer). A strong association between muscle robusticity and strength in the thigh region was confirmed in males, but not in females. Asymmetry in muscle mass reflected in the asymmetry in the knee extensor strength. A new predictive equation of muscle mass in the jumping leg and the total body from the muscle thickness in the anterior mid-thigh region of jumping leg was introduced. The exploration and understanding of asymmetric structural and functional adaptations can help athletes and trainers in planning the training and training interventions to reduce the risk of injuries.

摘要

在年轻运动员中,骨骼肌肉结构和功能参数之间的关系需要进一步观察。分析其年龄组差异、性别二态性、身体区域的不对称特征,以及在具有不同身体负荷模式的运动中,这些特征可以为该主题提供重要信息。2023 年,对 175 名年龄在 14 至 21 岁之间的匈牙利手球精英运动员进行了检查。使用 DEXA 方法估计身体各部位的肌肉质量成分,使用新的超声技术测量前大腿中部区域的肌肉厚度。通过等速协议(Kineosystem 测力计)评估膝关节伸肌的力量。在男性中,大腿区域的肌肉粗壮度和力量之间存在很强的相关性,但在女性中没有。肌肉质量的不对称反映在膝关节伸肌力量的不对称中。从跳跃腿前大腿中部区域的肌肉厚度引入了一种新的跳跃腿和全身肌肉质量的预测方程。探索和理解不对称的结构和功能适应性可以帮助运动员和教练在规划训练和训练干预措施时,降低受伤风险。

https://cdn.ncbi.nlm.nih.gov/pmc/blobs/38c4/11582711/975e041fddd7/41598_2024_75472_Fig1_HTML.jpg

文献检索

告别复杂PubMed语法,用中文像聊天一样搜索,搜遍4000万医学文献。AI智能推荐,让科研检索更轻松。

立即免费搜索

文件翻译

保留排版,准确专业,支持PDF/Word/PPT等文件格式,支持 12+语言互译。

免费翻译文档

深度研究

AI帮你快速写综述,25分钟生成高质量综述,智能提取关键信息,辅助科研写作。

立即免费体验