• 文献检索
  • 文档翻译
  • 深度研究
  • 学术资讯
  • Suppr Zotero 插件Zotero 插件
  • 邀请有礼
  • 套餐&价格
  • 历史记录
应用&插件
Suppr Zotero 插件Zotero 插件浏览器插件Mac 客户端Windows 客户端微信小程序
定价
高级版会员购买积分包购买API积分包
服务
文献检索文档翻译深度研究API 文档MCP 服务
关于我们
关于 Suppr公司介绍联系我们用户协议隐私条款
关注我们

Suppr 超能文献

核心技术专利:CN118964589B侵权必究
粤ICP备2023148730 号-1Suppr @ 2026

文献检索

告别复杂PubMed语法,用中文像聊天一样搜索,搜遍4000万医学文献。AI智能推荐,让科研检索更轻松。

立即免费搜索

文件翻译

保留排版,准确专业,支持PDF/Word/PPT等文件格式,支持 12+语言互译。

免费翻译文档

深度研究

AI帮你快速写综述,25分钟生成高质量综述,智能提取关键信息,辅助科研写作。

立即免费体验

Proto-DS:一种基于自监督学习的不平衡高光谱数据食品掺假无损检测方法。

Proto-DS: A Self-Supervised Learning-Based Nondestructive Testing Approach for Food Adulteration with Imbalanced Hyperspectral Data.

作者信息

Pang Kunkun, Liu Yisen, Zhou Songbin, Liao Yixiao, Yin Zexuan, Zhao Lulu, Chen Hong

机构信息

Guangdong Key Laboratory of Modern Control Technology, Institute of Intelligent Manufacturing, Guangdong Academy of Sciences, Guangzhou 510070, China.

出版信息

Foods. 2024 Nov 11;13(22):3598. doi: 10.3390/foods13223598.

DOI:10.3390/foods13223598
PMID:39594015
原文链接:https://pmc.ncbi.nlm.nih.gov/articles/PMC11594245/
Abstract

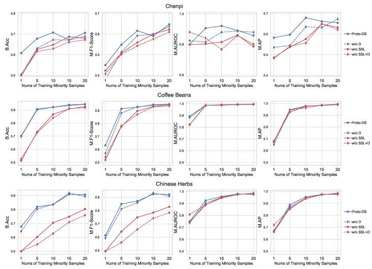
Conventional food fraud detection using hyperspectral imaging (HSI) relies on the discriminative power of machine learning. However, these approaches often assume a balanced class distribution in an ideal laboratory environment, which is impractical in real-world scenarios with diverse label distributions. This results in suboptimal performance when less frequent classes are overshadowed by the majority class during training. Thus, the critical research challenge emerges of how to develop an effective classifier on a small-scale imbalanced dataset without significant bias from the dominant class. In this paper, we propose a novel nondestructive detection approach, which we call the Dice Loss Improved Self-Supervised Learning-Based Prototypical Network (Proto-DS), designed to address this imbalanced learning challenge. The proposed amalgamation mitigates the label bias on the most frequent class, further improving robustness. We validate our proposed method on three collected hyperspectral food image datasets with varying degrees of data imbalance: Citri Reticulatae Pericarpium (Chenpi), Chinese herbs, and coffee beans. Comparisons with state-of-the-art imbalanced learning techniques, including the Synthetic Minority Oversampling Technique (SMOTE) and class-importance reweighting, reveal our method's superiority. Notably, our experiments demonstrate that Proto-DS consistently outperforms conventional approaches, achieving the best average balanced accuracy of 88.18% across various training sample sizes, whereas the Logistic Model Tree (LMT), Multi-Layer Perceptron (MLP), and Convolutional Neural Network (CNN) approaches attain only 59.42%, 60.38%, and 66.34%, respectively. Overall, self-supervised learning is key to improving imbalanced learning performance and outperforms related approaches, while both prototypical networks and the Dice loss can further enhance classification performance. Intriguingly, self-supervised learning can provide complementary information to existing imbalanced learning approaches. Combining these approaches may serve as a potential solution for building effective models with limited training data.

摘要

使用高光谱成像(HSI)进行传统食品欺诈检测依赖于机器学习的判别能力。然而,这些方法通常假设在理想的实验室环境中类别分布是平衡的,这在标签分布多样的现实场景中是不切实际的。当在训练过程中较少出现的类别被多数类别掩盖时,这会导致性能次优。因此,关键的研究挑战出现了,即如何在小规模不平衡数据集上开发一个有效的分类器,而不受主导类别的显著偏差影响。在本文中,我们提出了一种新颖的无损检测方法,我们称之为基于改进的自监督学习的骰子损失原型网络(Proto-DS),旨在应对这种不平衡学习挑战。所提出的融合方法减轻了最频繁出现类别上的标签偏差,进一步提高了鲁棒性。我们在三个收集的具有不同程度数据不平衡的高光谱食品图像数据集上验证了我们提出的方法:陈皮、中药材和咖啡豆。与包括合成少数过采样技术(SMOTE)和类别重要性重新加权在内的现有不平衡学习技术的比较,揭示了我们方法的优越性。值得注意的是,我们的实验表明,Proto-DS始终优于传统方法,在各种训练样本大小下实现了88.18%的最佳平均平衡准确率,而逻辑模型树(LMT)、多层感知器(MLP)和卷积神经网络(CNN)方法分别仅达到59.42%、60.38%和66.34%。总体而言,自监督学习是提高不平衡学习性能的关键,并且优于相关方法,而原型网络和骰子损失都可以进一步提高分类性能。有趣的是,自监督学习可以为现有的不平衡学习方法提供补充信息。结合这些方法可能是在有限训练数据下构建有效模型的潜在解决方案。

https://cdn.ncbi.nlm.nih.gov/pmc/blobs/7270/11594245/6e44de03da43/foods-13-03598-g014.jpg
https://cdn.ncbi.nlm.nih.gov/pmc/blobs/7270/11594245/b49cc1d1bbf2/foods-13-03598-g001a.jpg
https://cdn.ncbi.nlm.nih.gov/pmc/blobs/7270/11594245/38618db218cc/foods-13-03598-g002.jpg
https://cdn.ncbi.nlm.nih.gov/pmc/blobs/7270/11594245/1f8709c3b76f/foods-13-03598-g003.jpg
https://cdn.ncbi.nlm.nih.gov/pmc/blobs/7270/11594245/8d15289e5f10/foods-13-03598-g004.jpg
https://cdn.ncbi.nlm.nih.gov/pmc/blobs/7270/11594245/d6f79b04a2ad/foods-13-03598-g005.jpg
https://cdn.ncbi.nlm.nih.gov/pmc/blobs/7270/11594245/6ffb6d53097d/foods-13-03598-g006.jpg
https://cdn.ncbi.nlm.nih.gov/pmc/blobs/7270/11594245/96064cccaeae/foods-13-03598-g007.jpg
https://cdn.ncbi.nlm.nih.gov/pmc/blobs/7270/11594245/f81f9b7d3993/foods-13-03598-g008.jpg
https://cdn.ncbi.nlm.nih.gov/pmc/blobs/7270/11594245/783486253ea1/foods-13-03598-g009.jpg
https://cdn.ncbi.nlm.nih.gov/pmc/blobs/7270/11594245/bcb1e4086eb5/foods-13-03598-g010.jpg
https://cdn.ncbi.nlm.nih.gov/pmc/blobs/7270/11594245/4d2f7d009827/foods-13-03598-g011.jpg
https://cdn.ncbi.nlm.nih.gov/pmc/blobs/7270/11594245/a785677f0682/foods-13-03598-g012a.jpg
https://cdn.ncbi.nlm.nih.gov/pmc/blobs/7270/11594245/5ab91562c8eb/foods-13-03598-g013.jpg
https://cdn.ncbi.nlm.nih.gov/pmc/blobs/7270/11594245/6e44de03da43/foods-13-03598-g014.jpg
https://cdn.ncbi.nlm.nih.gov/pmc/blobs/7270/11594245/b49cc1d1bbf2/foods-13-03598-g001a.jpg
https://cdn.ncbi.nlm.nih.gov/pmc/blobs/7270/11594245/38618db218cc/foods-13-03598-g002.jpg
https://cdn.ncbi.nlm.nih.gov/pmc/blobs/7270/11594245/1f8709c3b76f/foods-13-03598-g003.jpg
https://cdn.ncbi.nlm.nih.gov/pmc/blobs/7270/11594245/8d15289e5f10/foods-13-03598-g004.jpg
https://cdn.ncbi.nlm.nih.gov/pmc/blobs/7270/11594245/d6f79b04a2ad/foods-13-03598-g005.jpg
https://cdn.ncbi.nlm.nih.gov/pmc/blobs/7270/11594245/6ffb6d53097d/foods-13-03598-g006.jpg
https://cdn.ncbi.nlm.nih.gov/pmc/blobs/7270/11594245/96064cccaeae/foods-13-03598-g007.jpg
https://cdn.ncbi.nlm.nih.gov/pmc/blobs/7270/11594245/f81f9b7d3993/foods-13-03598-g008.jpg
https://cdn.ncbi.nlm.nih.gov/pmc/blobs/7270/11594245/783486253ea1/foods-13-03598-g009.jpg
https://cdn.ncbi.nlm.nih.gov/pmc/blobs/7270/11594245/bcb1e4086eb5/foods-13-03598-g010.jpg
https://cdn.ncbi.nlm.nih.gov/pmc/blobs/7270/11594245/4d2f7d009827/foods-13-03598-g011.jpg
https://cdn.ncbi.nlm.nih.gov/pmc/blobs/7270/11594245/a785677f0682/foods-13-03598-g012a.jpg
https://cdn.ncbi.nlm.nih.gov/pmc/blobs/7270/11594245/5ab91562c8eb/foods-13-03598-g013.jpg
https://cdn.ncbi.nlm.nih.gov/pmc/blobs/7270/11594245/6e44de03da43/foods-13-03598-g014.jpg

相似文献

1
Proto-DS: A Self-Supervised Learning-Based Nondestructive Testing Approach for Food Adulteration with Imbalanced Hyperspectral Data.Proto-DS:一种基于自监督学习的不平衡高光谱数据食品掺假无损检测方法。
Foods. 2024 Nov 11;13(22):3598. doi: 10.3390/foods13223598.
2
Class-imbalanced complementary-label learning via weighted loss.基于加权损失的类别不平衡互补标签学习。
Neural Netw. 2023 Sep;166:555-565. doi: 10.1016/j.neunet.2023.07.030. Epub 2023 Jul 28.
3
Semi-supervised learning for medical image classification using imbalanced training data.基于不平衡训练数据的医学图像分类的半监督学习。
Comput Methods Programs Biomed. 2022 Apr;216:106628. doi: 10.1016/j.cmpb.2022.106628. Epub 2022 Jan 14.
4
DGMSCL: A dynamic graph mixed supervised contrastive learning approach for class imbalanced multivariate time series classification.DGMSCL:一种用于类不平衡多元时间序列分类的动态图混合监督对比学习方法。
Neural Netw. 2025 May;185:107131. doi: 10.1016/j.neunet.2025.107131. Epub 2025 Jan 17.
5
Brain tumor segmentation and detection in MRI using convolutional neural networks and VGG16.使用卷积神经网络和VGG16在磁共振成像(MRI)中进行脑肿瘤分割与检测
Cancer Biomark. 2025 Mar;42(3):18758592241311184. doi: 10.1177/18758592241311184. Epub 2025 Apr 4.
6
Interaction effect between data discretization and data resampling for class-imbalanced medical datasets.类别不均衡医学数据集的数据离散化与数据重采样之间的交互作用。
Technol Health Care. 2025 Mar;33(2):1000-1013. doi: 10.1177/09287329241295874. Epub 2024 Nov 25.
7
Deep supervised learning using self-adaptive auxiliary loss for COVID-19 diagnosis from imbalanced CT images.基于自适应辅助损失的深度监督学习用于从不平衡CT图像中诊断新冠肺炎
Neurocomputing (Amst). 2021 Oct 7;458:232-245. doi: 10.1016/j.neucom.2021.06.012. Epub 2021 Jun 7.
8
Blood Stain Classification with Hyperspectral Imaging and Deep Neural Networks.高光谱成像与深度神经网络在血痕分类中的应用。
Sensors (Basel). 2020 Nov 21;20(22):6666. doi: 10.3390/s20226666.
9
An Impartial Semi-Supervised Learning Strategy for Imbalanced Classification on VHR Images.高分辨率影像不平衡分类的一种公正半监督学习策略。
Sensors (Basel). 2020 Nov 23;20(22):6699. doi: 10.3390/s20226699.
10
Vessel segmentation from volumetric images: a multi-scale double-pathway network with class-balanced loss at the voxel level.容积图像中的血管分割:一种基于体素级类别平衡损失的多尺度双通道网络。
Med Phys. 2021 Jul;48(7):3804-3814. doi: 10.1002/mp.14934. Epub 2021 May 31.

引用本文的文献

1
Nondestructive Testing in Food Quality and Safety: Development and Applications.食品质量与安全中的无损检测:发展与应用
Foods. 2025 Jul 1;14(13):2339. doi: 10.3390/foods14132339.