Suppr超能文献

在有或无后肢卸载或对照后肢卸载的情况下,5离子6束序贯照射对Fischer 344大鼠行为表现和血浆代谢途径的影响。

Effects of 5-ion 6-beam sequential irradiation in the presence and absence of hindlimb or control hindlimb unloading on behavioral performances and plasma metabolic pathways of Fischer 344 rats.

作者信息

Raber Jacob, Chaudhari Mitali, De la Torre Alexis, Holden Sarah, Kessler Kat, Glaeser Breanna, Lenarczyk Marek, Leonard Scott Willem, Borg Alexander, Kwok Andy, Patel Chirayu, Kronenberg Amy, Olsen Christopher M, Willey Jeffrey S, Morré Jeffrey, Choi Jaewoo, Stevens Jan Frederik, Bobe Gerd, Minnier Jessica, Baker John

机构信息

Department of Behavioral Neuroscience, Oregon Health & Science University, Portland, OR, United States.

Departments of Neurology, Psychiatry, and Radiation Medicine, Division of Neuroscience ONPRC, Oregon Health and Science University, Portland, OR, United States.

出版信息

Front Physiol. 2024 Nov 13;15:1486767. doi: 10.3389/fphys.2024.1486767. eCollection 2024.

Abstract

INTRODUCTION

Effects and interactions between different spaceflight stressors are expected to be experienced by crew on missions when exposed to microgravity and galactic cosmic rays (GCRs). One of the limitations of previous studies on simulated weightlessness using hindlimb unloading (HU) is that a control HU condition was not included.

METHODS

We characterized the behavioral performance of male Fischer rats 2 months after sham or total body irradiation with a simplified 5-ion 6-mixed-beam exposure representative of GCRs in the absence or presence of HU. Six months later, the plasma, hippocampus, and cortex were processed to determine whether the behavioral effects were associated with long-term alterations in the metabolic pathways.

RESULTS

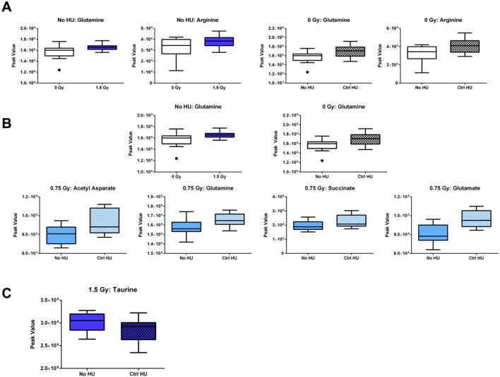
In the open field without and with objects, interactions were observed for radiation × HU. In the plasma of animals that were not under the HU or control HU condition, the riboflavin metabolic pathway was affected most for sham irradiation vs. 0.75 Gy exposure. Analysis of the effects of control HU on plasma in the sham-irradiated animals showed that the alanine, aspartate, glutamate, riboflavin, and glutamine metabolisms as well as arginine biosynthesis were affected. The effects of control HU on the hippocampus in the sham-irradiated animals showed that the phenylalanine, tyrosine, and tryptophan pathway was affected the most. Analysis of effects of 0.75 Gy irradiation on the cortex of control HU animals showed that the glutamine and glutamate metabolic pathway was affected similar to the hippocampus, while the riboflavin pathway was affected in animals that were not under the control HU condition. The effects of control HU on the cortex in sham-irradiated animals showed that the riboflavin metabolic pathway was affected. Animals receiving 0.75 Gy of irradiation showed impaired glutamine and glutamate metabolic pathway, whereas animals receiving 1.5 Gy of irradiation showed impaired riboflavin metabolic pathways. A total of 21 plasma metabolites were correlated with the behavioral measures, indicating that plasma and brain biomarkers associated with behavioral performance are dependent on the environmental conditions experienced.

DISCUSSION

Phenylalanine, tyrosine, and tryptophan metabolism as well as phenylalanine and tryptophan as plasma metabolites are biomarkers that can be considered for spaceflight as they were revealed in both Fischer and WAG/Rij rats exposed to simGCRsim and/or HU.

摘要

引言

执行任务的宇航员在暴露于微重力和银河宇宙射线(GCR)时,预计会经历不同太空飞行应激源之间的影响和相互作用。以往使用后肢卸载(HU)模拟失重研究的局限性之一是未设置对照HU条件。

方法

我们对雄性Fischer大鼠进行假照射或全身照射,照射采用代表GCR的简化5离子6混合束照射,在有无HU的情况下,观察大鼠2个月后的行为表现。6个月后,对血浆、海马体和皮层进行处理,以确定行为影响是否与代谢途径的长期改变有关。

结果

在有无物体的旷场实验中,观察到辐射×HU之间的相互作用。在未处于HU或对照HU条件下的动物血浆中,与假照射相比,0.75 Gy照射对核黄素代谢途径影响最大。分析对照HU对假照射动物血浆的影响表明,丙氨酸、天冬氨酸、谷氨酸、核黄素和谷氨酰胺代谢以及精氨酸生物合成受到影响。对照HU对假照射动物海马体的影响表明,苯丙氨酸、酪氨酸和色氨酸途径受影响最大。分析0.75 Gy照射对对照HU动物皮层的影响表明,谷氨酰胺和谷氨酸代谢途径的影响与海马体相似,而核黄素途径在未处于对照HU条件下的动物中受到影响。对照HU对假照射动物皮层的影响表明,核黄素代谢途径受到影响。接受0.75 Gy照射的动物谷氨酰胺和谷氨酸代谢途径受损,而接受1.5 Gy照射的动物核黄素代谢途径受损。共有21种血浆代谢物与行为指标相关,表明与行为表现相关的血浆和脑生物标志物取决于所经历的环境条件。

讨论

苯丙氨酸、酪氨酸和色氨酸代谢以及作为血浆代谢物的苯丙氨酸和色氨酸是可考虑用于太空飞行的生物标志物,因为在暴露于模拟GCR和/或HU的Fischer大鼠和WAG/Rij大鼠中均有发现。

https://cdn.ncbi.nlm.nih.gov/pmc/blobs/e161/11598337/3b4ea3c3f8c0/fphys-15-1486767-g001.jpg

文献检索

告别复杂PubMed语法,用中文像聊天一样搜索,搜遍4000万医学文献。AI智能推荐,让科研检索更轻松。

立即免费搜索

文件翻译

保留排版,准确专业,支持PDF/Word/PPT等文件格式,支持 12+语言互译。

免费翻译文档

深度研究

AI帮你快速写综述,25分钟生成高质量综述,智能提取关键信息,辅助科研写作。

立即免费体验