• 文献检索
  • 文档翻译
  • 深度研究
  • 学术资讯
  • Suppr Zotero 插件Zotero 插件
  • 邀请有礼
  • 套餐&价格
  • 历史记录
应用&插件
Suppr Zotero 插件Zotero 插件浏览器插件Mac 客户端Windows 客户端微信小程序
定价
高级版会员购买积分包购买API积分包
服务
文献检索文档翻译深度研究API 文档MCP 服务
关于我们
关于 Suppr公司介绍联系我们用户协议隐私条款
关注我们

Suppr 超能文献

核心技术专利:CN118964589B侵权必究
粤ICP备2023148730 号-1Suppr @ 2026

文献检索

告别复杂PubMed语法,用中文像聊天一样搜索,搜遍4000万医学文献。AI智能推荐,让科研检索更轻松。

立即免费搜索

文件翻译

保留排版,准确专业,支持PDF/Word/PPT等文件格式,支持 12+语言互译。

免费翻译文档

深度研究

AI帮你快速写综述,25分钟生成高质量综述,智能提取关键信息,辅助科研写作。

立即免费体验

在妊娠后期和哺乳期,荠菜籽补充对兔母兔免疫力、激素水平和乳品质的影响。

Influence of garden cress seeds supplementation on immunity, hormonal status, and milk quality during the last third of pregnancy and lactation period of rabbit does.

机构信息

Fish and Animal Production Department, Faculty of Agriculture (Saba Basha), Alexandria University, P.O. Box 21531, Alexandria, Egypt.

Animal Production Department, Faculty of Agriculture, Omar Al-Mukhtar University, Elbea, Libya.

出版信息

BMC Vet Res. 2024 Nov 29;20(1):535. doi: 10.1186/s12917-024-04381-5.

DOI:10.1186/s12917-024-04381-5
PMID:39609908
原文链接:https://pmc.ncbi.nlm.nih.gov/articles/PMC11606222/
Abstract

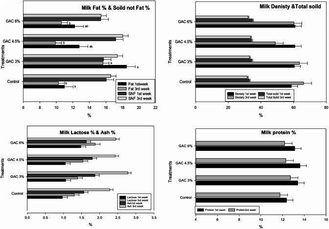
During the last third of pregnancy period, rabbits are exposed to many challenges, such as health complications and oxidative stress. The present study aims to use garden cress seeds (GAC) as a natural antioxidant to mitigate these challenges and evaluate its effects on reproductive performance, immunity, hormones, protein profile and milk quality. A total of 24 pregnant V-Line rabbits (pregnant at 20 days proved by palpation), with an initial body weight of 2395.83 g and about 6-7 months of age, were randomly distributed to 4 groups, the control group was fed the basal diet without GAC, the other treated groups GAC 3, GAC 4.5 and GAC 6 were fed the basal diet supplemented with 3, 4.5, and 6% GAC, respectively. The experiment lasted six weeks. The results revealed that treated female rabbits with different levels of GAC did not have a noticeable effect on milk yield, average daily milk yield, or most of the milk analysis parameters (milk density, total solids, solids not fat, lactose, ash, and protein). On the other hand, GAC showed a significant increase in milk fat, and GAC 3% rabbits displayed a higher percentage of milk fat (p < 0.050) than the other groups. Likewise, treatment with GAC also had a significant impact on serum total protein, globulin, IgG, and IgM. The 3% GAC rabbits showed significantly higher total protein, globulin, and IgM values than the control group. However, all GAC treatments significantly improved serum IgG and the best value was found in the 3% GAC group. In conclusion, our results demonstrated that feeding lactating rabbits a diet supplemented with GAC could be considered a good strategy to enhance immunity, protein profile, MY and milk fat. The best results were obtained with the GAC 3% treatment.

摘要

在妊娠后期的最后三分之一时间里,兔子会面临许多挑战,如健康并发症和氧化应激。本研究旨在使用荠菜籽(GAC)作为天然抗氧化剂来减轻这些挑战,并评估其对繁殖性能、免疫力、激素、蛋白质谱和牛奶质量的影响。总共 24 只怀孕的 V 型线兔(通过触诊证明在 20 天怀孕),初始体重为 2395.83 克,年龄约为 6-7 个月,被随机分配到 4 组,对照组饲喂基础日粮而不添加 GAC,其他处理组 GAC 3、GAC 4.5 和 GAC 6 则分别在基础日粮中添加 3、4.5 和 6%的 GAC。实验持续了六周。结果表明,不同水平 GAC 处理的雌性兔子对产奶量、日均产奶量或大多数牛奶分析参数(牛奶密度、总固体、非脂固体、乳糖、灰分和蛋白质)没有明显影响。另一方面,GAC 显著增加了牛奶脂肪,而 GAC 3%组的牛奶脂肪百分比高于其他组(p<0.050)。同样,GAC 处理对血清总蛋白、球蛋白、IgG 和 IgM 也有显著影响。GAC 3%组的兔子血清总蛋白、球蛋白和 IgM 值显著高于对照组。然而,所有 GAC 处理都显著提高了血清 IgG,而 3%GAC 组的效果最好。综上所述,我们的结果表明,在泌乳兔日粮中添加 GAC 可以被认为是增强免疫力、蛋白质谱、MY 和牛奶脂肪的一种良好策略。GAC 3%的处理效果最好。

https://cdn.ncbi.nlm.nih.gov/pmc/blobs/39f9/11606222/3f2d25756fa7/12917_2024_4381_Fig6_HTML.jpg
https://cdn.ncbi.nlm.nih.gov/pmc/blobs/39f9/11606222/56eedbbf1625/12917_2024_4381_Fig1_HTML.jpg
https://cdn.ncbi.nlm.nih.gov/pmc/blobs/39f9/11606222/03efa0bc62b3/12917_2024_4381_Fig2_HTML.jpg
https://cdn.ncbi.nlm.nih.gov/pmc/blobs/39f9/11606222/3e0e03173507/12917_2024_4381_Fig3_HTML.jpg
https://cdn.ncbi.nlm.nih.gov/pmc/blobs/39f9/11606222/32c8a2be2e90/12917_2024_4381_Fig4_HTML.jpg
https://cdn.ncbi.nlm.nih.gov/pmc/blobs/39f9/11606222/ee239735f1da/12917_2024_4381_Fig5_HTML.jpg
https://cdn.ncbi.nlm.nih.gov/pmc/blobs/39f9/11606222/3f2d25756fa7/12917_2024_4381_Fig6_HTML.jpg
https://cdn.ncbi.nlm.nih.gov/pmc/blobs/39f9/11606222/56eedbbf1625/12917_2024_4381_Fig1_HTML.jpg
https://cdn.ncbi.nlm.nih.gov/pmc/blobs/39f9/11606222/03efa0bc62b3/12917_2024_4381_Fig2_HTML.jpg
https://cdn.ncbi.nlm.nih.gov/pmc/blobs/39f9/11606222/3e0e03173507/12917_2024_4381_Fig3_HTML.jpg
https://cdn.ncbi.nlm.nih.gov/pmc/blobs/39f9/11606222/32c8a2be2e90/12917_2024_4381_Fig4_HTML.jpg
https://cdn.ncbi.nlm.nih.gov/pmc/blobs/39f9/11606222/ee239735f1da/12917_2024_4381_Fig5_HTML.jpg
https://cdn.ncbi.nlm.nih.gov/pmc/blobs/39f9/11606222/3f2d25756fa7/12917_2024_4381_Fig6_HTML.jpg

相似文献

1
Influence of garden cress seeds supplementation on immunity, hormonal status, and milk quality during the last third of pregnancy and lactation period of rabbit does.在妊娠后期和哺乳期,荠菜籽补充对兔母兔免疫力、激素水平和乳品质的影响。
BMC Vet Res. 2024 Nov 29;20(1):535. doi: 10.1186/s12917-024-04381-5.
2
Reproductive performance and milk yield of rabbits fed diets supplemented with garden cress (Lepidium sativum) seed.菜薹籽对家兔繁殖性能及产奶量的影响。
Sci Rep. 2022 Oct 12;12(1):17083. doi: 10.1038/s41598-022-21449-0.
3
Rectal microbiomes and serum metabolomics reveal the improved effect of Artemisia ordosica crude polysaccharides on the lactation performance, antioxidant status, and immune responses of lactating donkeys.直肠微生物组和血清代谢组学揭示了蒙古蒿粗多糖对哺乳期母驴泌乳性能、抗氧化状态和免疫反应的改善作用。
J Dairy Sci. 2024 Sep;107(9):6696-6716. doi: 10.3168/jds.2023-24570. Epub 2024 Apr 11.
4
Effects of yeast-derived postbiotic supplementation in late gestation and lactation diets on performance, milk quality, and immune function in lactating sows.酵母源后生元补充剂对妊娠后期和哺乳期日粮对泌乳母猪生产性能、牛奶质量和免疫功能的影响。
J Anim Sci. 2023 Jan 3;101. doi: 10.1093/jas/skad201.
5
Exploring optimal folic acid supplementation levels for lactating-pregnant rabbit does with different litter size.探索不同窝产仔数的妊娠-哺乳母兔的最佳叶酸补充水平。
J Anim Sci. 2024 Jan 3;102. doi: 10.1093/jas/skae340.
6
Effect of diets containing whole white lupin seeds on rabbit doe milk yield and milk fatty acid composition as well as the growth and health of their litters.含全白羽扇豆种子的日粮对母兔产奶量、乳脂肪酸组成及其窝仔生长和健康的影响。
J Anim Sci. 2014 May;92(5):2041-9. doi: 10.2527/jas.2013-7120. Epub 2014 Mar 18.
7
Hematologic, lipid profile, immunity, and antioxidant status of growing rabbits fed black seed as natural antioxidants.以黑籽作为天然抗氧化剂喂养的生长兔的血液学、血脂谱、免疫和抗氧化状态
Trop Anim Health Prod. 2020 May;52(3):999-1004. doi: 10.1007/s11250-019-02091-x. Epub 2019 Nov 6.
8
Effects of dietary grape seed polyphenols supplementation during late gestation and lactation on antioxidant status in serum and immunoglobulin content in colostrum of multiparous sows1.妊娠晚期和哺乳期饲粮添加葡萄籽多酚对经产母猪血清抗氧化状态和初乳免疫球蛋白含量的影响 1 。
J Anim Sci. 2019 May 30;97(6):2515-2523. doi: 10.1093/jas/skz128.
9
Effects of diets containing grape seed, linseed, or both on milk production traits, liver and kidney activities, and immunity of lactating dairy ewes.含葡萄籽、亚麻籽或两者的日粮对泌乳母羊产奶性能、肝脏和肾脏活性及免疫力的影响。
J Dairy Sci. 2015 Feb;98(2):1157-66. doi: 10.3168/jds.2014-8659. Epub 2014 Dec 12.
10
Effect of N-acetyl-l-methionine supplementation on lactation performance and plasma variables in mid-lactating dairy cows.N-乙酰-L-蛋氨酸补充对泌乳中期奶牛泌乳性能和血浆变量的影响。
J Dairy Sci. 2019 Jun;102(6):5182-5190. doi: 10.3168/jds.2018-15716. Epub 2019 Mar 21.

本文引用的文献

1
Garden cress seeds: a review on nutritional composition, therapeutic potential, and industrial utilization.水田芥种子:营养成分、治疗潜力及工业利用综述
Food Sci Nutr. 2024 Mar 20;12(6):3834-3848. doi: 10.1002/fsn3.4096. eCollection 2024 Jun.
2
Biological Health Markers Associated with Oxidative Stress in Dairy Cows during Lactation Period.泌乳期奶牛氧化应激相关的生物健康标志物
Metabolites. 2023 Mar 9;13(3):405. doi: 10.3390/metabo13030405.
3
Evidence for Health-Promoting Properties of L.: An Updated Comprehensive Review.
L.促进健康特性的证据:最新综合综述。
Turk J Pharm Sci. 2022 Dec 21;19(6):714-723. doi: 10.4274/tjps.galenos.2021.07504.
4
Reproductive performance and milk yield of rabbits fed diets supplemented with garden cress (Lepidium sativum) seed.菜薹籽对家兔繁殖性能及产奶量的影响。
Sci Rep. 2022 Oct 12;12(1):17083. doi: 10.1038/s41598-022-21449-0.
5
Effect of Dietary Rosemary and Ginger Essential Oils on the Growth Performance, Feed Utilization, Meat Nutritive Value, Blood Biochemicals, and Redox Status of Growing NZW Rabbits.日粮迷迭香和生姜精油对生长中的新西兰白兔生长性能、饲料利用率、肉营养价值、血液生化指标及氧化还原状态的影响
Animals (Basel). 2022 Feb 3;12(3):375. doi: 10.3390/ani12030375.
6
Influence of dietary supplementation of clove and rosemary essential oils or their combination on growth performance, immunity status, and blood antioxidant of growing rabbits.丁香和迷迭香精油或其组合对生长兔生长性能、免疫状态和血液抗氧化能力的影响。
Trop Anim Health Prod. 2021 Sep 25;53(5):482. doi: 10.1007/s11250-021-02906-w.
7
Milk yield and composition, feed efficiency, haemato-biochemical parameters and antioxidant status of lactating ewes fed diet supplemented with prickly pear cactus peels.给泌乳母羊喂食添加了仙人掌果皮的饲料对其产奶量和组成、饲料效率、血液生化参数和抗氧化状态的影响。
Arch Anim Nutr. 2021 Jun;75(3):195-208. doi: 10.1080/1745039X.2021.1920819. Epub 2021 May 20.
8
Antioxidants in Plants: A Valorization Potential Emphasizing the Need for the Conservation of Plant Biodiversity in Cuba.植物中的抗氧化剂:强调古巴保护植物生物多样性必要性的一种增值潜力
Antioxidants (Basel). 2020 Oct 27;9(11):1048. doi: 10.3390/antiox9111048.
9
Chemical Composition and Antioxidant Capacity of Seeds from Four Regions of Morocco.摩洛哥四个地区种子的化学成分与抗氧化能力
Evid Based Complement Alternat Med. 2020 Jun 30;2020:7302727. doi: 10.1155/2020/7302727. eCollection 2020.
10
Effect of garden cress in reducing blood glucose, improving blood lipids, and reducing oxidative stress in a mouse model of diabetes induced by a high-fat diet and streptozotocin.高脂饮食联合链脲佐菌素诱导的糖尿病小鼠模型中,荠蓝对降低血糖、改善血脂和减轻氧化应激的影响。
J Sci Food Agric. 2020 Mar 30;100(5):2074-2081. doi: 10.1002/jsfa.10230. Epub 2020 Jan 20.