Suppr超能文献

非生物因素和杀虫剂对棉红铃虫(桑德斯)(鳞翅目:麦蛾科)发育、物候和生殖生物学的影响

Impacts of abiotic factors and pesticide on the development, phenology, and reproductive biology of pink bollworm, (Saunders) (Lepidoptera: Gelechiidae).

作者信息

Arif Muhammad Jalal, Nawaz Ahmad, Sufyan Muhammad, Gogi Muhammad Dildar, UlAbdin Zain, Tayyib Muhammad, Ali Abid, Majeed Waqar, Ali Manel Ben, Hedfi Amor

机构信息

Deaprtment of Entomology, Faculty of Agriculture, University of Agriculture Faisalabad, Faisalabad, Punjab, Pakistan.

Department of Plant Sciences, College of Agricultural and Marine Sciences, Sultan Qaboos University, Muscat, Oman.

出版信息

PeerJ. 2024 Nov 29;12:e18399. doi: 10.7717/peerj.18399. eCollection 2024.

Abstract

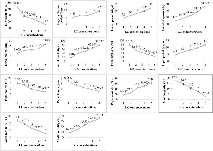
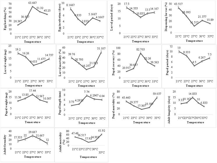
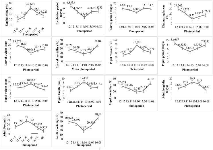
The pink bollworm, (Saunders) (Lepidoptera: Gelechiidae) is a serious insect pest of cotton crop. The studies to evaluate the impact of abiotic factors on cotton pests' biology are limited. The current study was undertaken to determine the impact of abiotic factors (temperature, humidity, photoperiod) and an insecticide (lambda-cyhalothrin) on the biological aspects of . The results revealed that all the treatments showed a significant impact on different life parameters of . The temperature exposure at 27 °C revealed a total life span of about 33 days. Maximum mortality for larvae (51.11%), pupae (59.04%) and adults (61.92%) were recorded at 33 °C exposure. Both low and high humidity levels caused negative impacts on life parameters of . The life span was completed in about 30 days at 60% relative humidity (RH). Maximum mortality for larvae (75.00%) and pupae (49.59%) were recorded at 80% RH level exposure, while adult mortality was maximum (63.09%) at 40% RH level followed by 80% RH level (55.52%). The exhibited a life span of about 32 days at 14:10 light-dark period. The larval mortality was maximum (14.83%) at 12:12 light-dark period while pupal (47.36%) and adult (48.84%) mortality was maximum at 16:08 light-dark period. Lambdacyhalothrin (LC) showed dose dependent negative impacts on biological aspects of . The exhibited a life span of about 26 days at 0.5 ppm LC concentration. The exposure to highest concentration (LC) revealed maximum mortality of larval (80.22%), pupal (64.63%) and adult (70.74%) stages. Conclusively, the best suited abiotic factor ranges were 27 °C (temperature), 60% (RH) and 14:10 (light-dark) which can be used for successful rearing and bioassay activities of .

摘要

棉红铃虫,(桑德斯)(鳞翅目:麦蛾科)是棉花作物的一种严重害虫。评估非生物因素对棉花害虫生物学影响的研究有限。当前的研究旨在确定非生物因素(温度、湿度、光周期)和一种杀虫剂(高效氯氟氰菊酯)对棉红铃虫生物学特性的影响。结果表明,所有处理对棉红铃虫的不同生命参数均有显著影响。在27℃温度下暴露,其总寿命约为33天。在33℃暴露时,幼虫(51.11%)、蛹(59.04%)和成虫(61.92%)的死亡率最高。低湿度和高湿度水平均对棉红铃虫的生命参数产生负面影响。在相对湿度60%(RH)时,其寿命约为30天。在80%RH水平暴露时,幼虫死亡率最高(75.00%),蛹死亡率最高(49.59%),而成虫在40%RH水平时死亡率最高(63.09%),其次是80%RH水平(55.52%)。在14:10的光暗周期下,棉红铃虫的寿命约为32天。在12:12光暗周期时,幼虫死亡率最高(14.83%),而在16:08光暗周期时,蛹(47.36%)和成虫(48.84%)死亡率最高。高效氯氟氰菊酯(LC)对棉红铃虫的生物学特性表现出剂量依赖性负面影响。在0.5 ppm LC浓度下,棉红铃虫的寿命约为26天。暴露于最高浓度(LC)时,幼虫(80.22%)、蛹(64.63%)和成虫(70.74%)阶段的死亡率最高。总之,最适宜的非生物因素范围是27℃(温度)、60%(RH)和14:10(光暗),可用于棉红铃虫的成功饲养和生物测定活动。

https://cdn.ncbi.nlm.nih.gov/pmc/blobs/7d7b/11610462/3b624e4866e9/peerj-12-18399-g001.jpg

文献检索

告别复杂PubMed语法,用中文像聊天一样搜索,搜遍4000万医学文献。AI智能推荐,让科研检索更轻松。

立即免费搜索

文件翻译

保留排版,准确专业,支持PDF/Word/PPT等文件格式,支持 12+语言互译。

免费翻译文档

深度研究

AI帮你快速写综述,25分钟生成高质量综述,智能提取关键信息,辅助科研写作。

立即免费体验