• 文献检索
  • 文档翻译
  • 深度研究
  • 学术资讯
  • Suppr Zotero 插件Zotero 插件
  • 邀请有礼
  • 套餐&价格
  • 历史记录
应用&插件
Suppr Zotero 插件Zotero 插件浏览器插件Mac 客户端Windows 客户端微信小程序
定价
高级版会员购买积分包购买API积分包
服务
文献检索文档翻译深度研究API 文档MCP 服务
关于我们
关于 Suppr公司介绍联系我们用户协议隐私条款
关注我们

Suppr 超能文献

核心技术专利:CN118964589B侵权必究
粤ICP备2023148730 号-1Suppr @ 2026

文献检索

告别复杂PubMed语法,用中文像聊天一样搜索,搜遍4000万医学文献。AI智能推荐,让科研检索更轻松。

立即免费搜索

文件翻译

保留排版,准确专业,支持PDF/Word/PPT等文件格式,支持 12+语言互译。

免费翻译文档

深度研究

AI帮你快速写综述,25分钟生成高质量综述,智能提取关键信息,辅助科研写作。

立即免费体验

那不勒斯预后评分在预测肝细胞癌患者术后短期和长期结局中的临床意义。

Clinical significance of the Naples prognostic score in predicting short- and long-term postoperative outcomes of patients with hepatocellular carcinoma.

作者信息

Hosoda Kiyotaka, Shimizu Akira, Kubota Koji, Notake Tsuyoshi, Kitagawa Noriyuki, Yoshizawa Takahiro, Sakai Hiroki, Hayashi Hikaru, Yasukawa Koya, Soejima Yuji

机构信息

Division of Gastroenterological, Hepato-Biliary-Pancreatic, Transplantation, and Pediatric Surgery, Department of Surgery, Shinshu University School of Medicine, Matsumoto, Japan.

出版信息

World J Surg. 2025 Feb;49(2):502-511. doi: 10.1002/wjs.12448. Epub 2024 Dec 4.

DOI:10.1002/wjs.12448
PMID:39631788
原文链接:https://pmc.ncbi.nlm.nih.gov/articles/PMC11798678/
Abstract

BACKGROUND

The Naples prognostic score (NPS) is a remarkable marker of short- and long-term outcomes in various types of cancer. However, its impact on the postoperative outcomes of hepatocellular carcinoma remains controversial. This study aimed to clarify the impact of the NPS on the prognosis and incidence of postoperative complications in hepatocellular carcinoma.

METHODS

Patients with hepatocellular carcinoma (n = 374) were categorized into high- and low-Naples prognostic score groups; their postoperative outcomes were compared. Prognostic and risk factors for severe postoperative complications were identified using multivariate analyses.

RESULTS

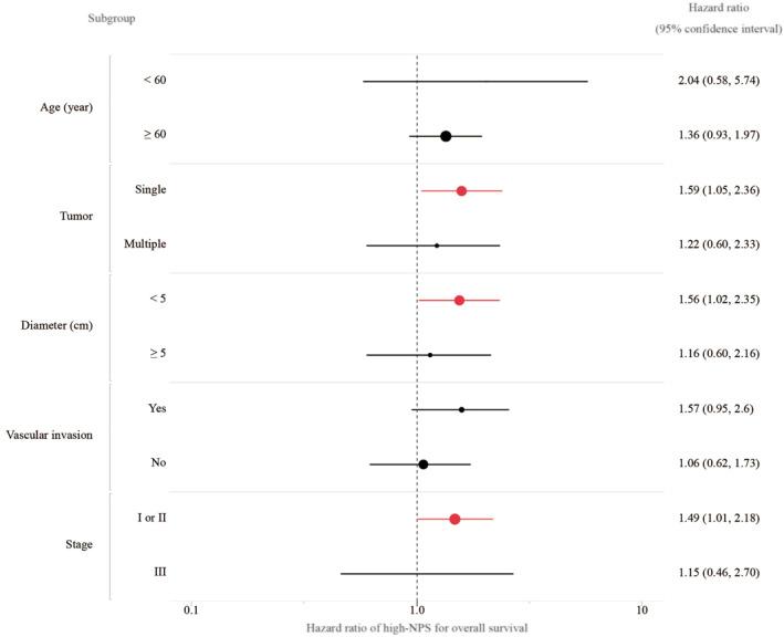
The low-Naples prognostic score group had significantly longer overall and recurrence-free survivals than the high-Naples prognostic score group (p = 0.03 and 0.04, respectively). Subgroup analysis revealed a superior predictive value of the NPS in the group with a single tumor (p = 0.03), tumor diameter ≤5 cm (p = 0.04), and tumor stage I or II (p = 0.04). A high NPS was an independent prognostic factor for overall survival (hazard ratio, 1.45; 95% confidence interval (CI), 1.01-2.05; and p = 0.04). The NPS 2-4 group had a higher incidence of the Clavien-Dindo grade ≥ IIIa postoperative complications than the 0-1 group (p = 0.03) and a score of 2-4 was identified as an independent risk factor for the Clavien-Dindo grade ≥ IIIa postoperative complications (odds ratio, 2.06; 95% CI, 1.01-4.20; and p = 0.05).

CONCLUSIONS

The NPS effectively predicts postoperative outcomes in patients with hepatocellular carcinoma.

摘要

背景

那不勒斯预后评分(NPS)是各类癌症短期和长期预后的重要标志物。然而,其对肝细胞癌术后预后的影响仍存在争议。本研究旨在阐明NPS对肝细胞癌预后及术后并发症发生率的影响。

方法

将374例肝细胞癌患者分为高、低那不勒斯预后评分组,比较两组术后预后情况。采用多因素分析确定术后严重并发症的预后及危险因素。

结果

低那不勒斯预后评分组的总生存期和无复发生存期均显著长于高那不勒斯预后评分组(分别为p = 0.03和0.04)。亚组分析显示,NPS在单发肿瘤组(p = 0.03)、肿瘤直径≤5 cm组(p = 0.04)和肿瘤分期I或II组(p = 0.04)中具有更高的预测价值。高NPS是总生存期的独立预后因素(风险比,1.45;95%置信区间[CI],1.01 - 2.05;p = 0.04)。NPS 2 - 4组Clavien - Dindo≥IIIa级术后并发症的发生率高于0 - 1组(p = 0.03),且评分为2 - 4被确定为Clavien - Dindo≥IIIa级术后并发症的独立危险因素(比值比,2.06;95% CI,1.01 - 4.20;p = 0.05)。

结论

NPS能有效预测肝细胞癌患者的术后预后。

https://cdn.ncbi.nlm.nih.gov/pmc/blobs/f1c8/11798678/6eb333eec593/WJS-49-502-g003.jpg
https://cdn.ncbi.nlm.nih.gov/pmc/blobs/f1c8/11798678/5ef3c19e9b36/WJS-49-502-g001.jpg
https://cdn.ncbi.nlm.nih.gov/pmc/blobs/f1c8/11798678/74a101dbf178/WJS-49-502-g002.jpg
https://cdn.ncbi.nlm.nih.gov/pmc/blobs/f1c8/11798678/fe4419c97cbd/WJS-49-502-g004.jpg
https://cdn.ncbi.nlm.nih.gov/pmc/blobs/f1c8/11798678/6eb333eec593/WJS-49-502-g003.jpg
https://cdn.ncbi.nlm.nih.gov/pmc/blobs/f1c8/11798678/5ef3c19e9b36/WJS-49-502-g001.jpg
https://cdn.ncbi.nlm.nih.gov/pmc/blobs/f1c8/11798678/74a101dbf178/WJS-49-502-g002.jpg
https://cdn.ncbi.nlm.nih.gov/pmc/blobs/f1c8/11798678/fe4419c97cbd/WJS-49-502-g004.jpg
https://cdn.ncbi.nlm.nih.gov/pmc/blobs/f1c8/11798678/6eb333eec593/WJS-49-502-g003.jpg

相似文献

1
Clinical significance of the Naples prognostic score in predicting short- and long-term postoperative outcomes of patients with hepatocellular carcinoma.那不勒斯预后评分在预测肝细胞癌患者术后短期和长期结局中的临床意义。
World J Surg. 2025 Feb;49(2):502-511. doi: 10.1002/wjs.12448. Epub 2024 Dec 4.
2
Poor oncologic outcomes of hepatocellular carcinoma patients with intra-abdominal infection after hepatectomy.肝癌患者肝切除术后发生腹腔内感染的肿瘤学预后较差。
World J Gastroenterol. 2015 May 14;21(18):5598-606. doi: 10.3748/wjg.v21.i18.5598.
3
Validation of hepatectomy for elderly patients with hepatocellular carcinoma.老年肝细胞癌患者肝切除术的验证
Ann Surg Oncol. 2015 Sep;22(9):3094-101. doi: 10.1245/s10434-014-4350-x. Epub 2015 Jan 13.
4
Postoperative complications are predictive of poor prognosis in hepatocellular carcinoma.术后并发症可预测肝细胞癌的预后不良。
J Surg Res. 2015 Dec;199(2):470-7. doi: 10.1016/j.jss.2015.06.012. Epub 2015 Jun 11.
5
Safety and feasibility of liver resection including major hepatectomy for geriatric patients with hepatocellular carcinoma: a retrospective observational study.老年肝细胞癌患者行肝切除术(包括大范围肝切除术)的安全性和可行性:一项回顾性观察研究。
BMC Cancer. 2024 Jun 26;24(1):765. doi: 10.1186/s12885-024-12514-0.
6
Prognostic factors affecting postoperative survival of patients with solitary small hepatocellular carcinoma.影响孤立性小肝细胞癌患者术后生存的预后因素。
Chin J Cancer. 2016 Aug 16;35(1):80. doi: 10.1186/s40880-016-0143-x.
7
Combined hepatectomy and microwave ablation for multifocal hepatocellular carcinoma: Long-term outcomes and prognostic factors.联合肝切除术和微波消融治疗多灶性肝细胞癌:长期结果和预后因素。
Asian J Surg. 2021 Jan;44(1):186-191. doi: 10.1016/j.asjsur.2020.05.008. Epub 2020 May 27.
8
Differential significance of early surgical complications for acute and long-term recurrence-free survival following surgical resection of hepatocellular carcinoma: do comorbidities play a role?肝细胞癌手术切除后早期手术并发症对急性和长期无复发生存的差异意义:合并症起作用吗?
Eur J Gastroenterol Hepatol. 2017 Sep;29(9):1045-1053. doi: 10.1097/MEG.0000000000000912.
9
Single-center experience on actual mid-term (≥5 years) and long-term (≥10 years) survival outcome in patients with hepatocellular carcinoma after curative hepatectomy: A bimodal distribution.肝细胞癌患者根治性肝切除术后实际中期(≥5年)和长期(≥10年)生存结果的单中心经验:双峰分布。
Medicine (Baltimore). 2020 Nov 25;99(48):e23358. doi: 10.1097/MD.0000000000023358.
10
Longterm prognosis after hepatic resection for small hepatocellular carcinoma.小肝细胞癌肝切除术后的长期预后
J Am Coll Surg. 2004 Mar;198(3):356-65. doi: 10.1016/j.jamcollsurg.2003.10.017.

引用本文的文献

1
Significance of Naples prognostic score for postoperative complications after colorectal cancer surgery.那不勒斯预后评分对结直肠癌手术后并发症的意义。
Surg Today. 2025 May 7. doi: 10.1007/s00595-025-03055-5.
2
The Naples prognostic score as a nutritional and inflammatory biomarkers of stroke prevalence and all-cause mortality: insights from NHANES.那不勒斯预后评分作为中风患病率和全因死亡率的营养和炎症生物标志物:来自美国国家健康与营养检查调查的见解
J Health Popul Nutr. 2025 Mar 25;44(1):85. doi: 10.1186/s41043-025-00819-0.

本文引用的文献

1
The Naples Prognostic Score Is a Useful Tool to Assess Surgical Treatment in Non-Small Cell Lung Cancer.那不勒斯预后评分是评估非小细胞肺癌手术治疗的有用工具。
Diagnostics (Basel). 2023 Dec 12;13(24):3641. doi: 10.3390/diagnostics13243641.
2
The platelet-to-lymphocyte ratio is a complementary prognostic factor to tumor markers in predicting early recurrence of hepatocellular carcinoma after hepatectomy.血小板与淋巴细胞比值是预测肝癌切除术后早期复发的肿瘤标志物的补充预后因素。
J Surg Oncol. 2024 Mar;129(4):765-774. doi: 10.1002/jso.27564. Epub 2023 Dec 17.
3
Impact of Postoperative Naples Prognostic Score to Predict Survival in Patients with Stage II-III Colorectal Cancer.
术后那不勒斯预后评分对Ⅱ-Ⅲ期结直肠癌患者生存预测的影响
Cancers (Basel). 2023 Oct 22;15(20):5098. doi: 10.3390/cancers15205098.
4
Naples Prognostic Score is an Independent Prognostic Factor in Patients Undergoing Hepatectomy for Hepatocellular Carcinoma.那不勒斯预后评分是肝细胞癌肝切除患者的独立预后因素。
J Hepatocell Carcinoma. 2023 Sep 4;10:1423-1433. doi: 10.2147/JHC.S414789. eCollection 2023.
5
Liver tumour immune microenvironment subtypes and neutrophil heterogeneity.肝肿瘤免疫微环境亚型与中性粒细胞异质性
Nature. 2022 Dec;612(7938):141-147. doi: 10.1038/s41586-022-05400-x. Epub 2022 Nov 9.
6
Trajectory of immune evasion and cancer progression in hepatocellular carcinoma.肝癌中的免疫逃逸和癌症进展轨迹。
Nat Commun. 2022 Mar 17;13(1):1441. doi: 10.1038/s41467-022-29122-w.
7
Progression on the Roles and Mechanisms of Tumor-Infiltrating T Lymphocytes in Patients With Hepatocellular Carcinoma.肿瘤浸润性 T 淋巴细胞在肝细胞癌患者中的作用及机制研究进展。
Front Immunol. 2021 Sep 3;12:729705. doi: 10.3389/fimmu.2021.729705. eCollection 2021.
8
Changes in patient background and prognosis after hepatectomy for hepatocellular carcinoma by hepatitis virus infection status: New trends in Japan.根据肝炎病毒感染状况,肝细胞癌肝切除术后患者背景及预后的变化:日本的新趋势
Ann Gastroenterol Surg. 2021 Feb 27;5(4):553-566. doi: 10.1002/ags3.12451. eCollection 2021 Jul.
9
Hepatocellular uptake index obtained with gadoxetate disodium-enhanced magnetic resonance imaging in the assessment future liver remnant function after major hepatectomy for biliary malignancy.钆塞酸二钠增强磁共振成像获取的肝细胞摄取指数在评估胆道恶性肿瘤行大范围肝切除术后剩余肝体积功能中的作用。
BJS Open. 2021 Jul 6;5(4). doi: 10.1093/bjsopen/zraa048.
10
Naples Prognostic Score: A Novel Prognostic Score in Predicting Cancer-Specific Survival in Patients With Resected Esophageal Squamous Cell Carcinoma.那不勒斯预后评分:一种预测食管鳞状细胞癌切除患者癌症特异性生存的新型预后评分。
Front Oncol. 2021 May 28;11:652537. doi: 10.3389/fonc.2021.652537. eCollection 2021.