Suppr超能文献

定量肌肉磁共振成像监测低钾性周期性麻痹的疾病进展

Quantitative Muscle MRI to Monitor Disease Progression in Hypokalemic Period Paralysis.

作者信息

Holm-Yildiz Sonja, Krag Thomas, Dysgaard Tina, Pedersen Britt Stævnsbo, Witting Nanna, Kodal Louise Sloth, Kannuberg Linda, Pedersen Jonas Jalili, Lyu Zhe, Aagaard Morten Müller, Vissing John

机构信息

From the Copenhagen Neuromuscular Center, Department of Neurology, Rigshospitalet, University of Copenhagen, Denmark.

出版信息

Neurol Genet. 2024 Dec 3;10(6):e200211. doi: 10.1212/NXG.0000000000200211. eCollection 2024 Dec.

Abstract

BACKGROUND AND OBJECTIVES

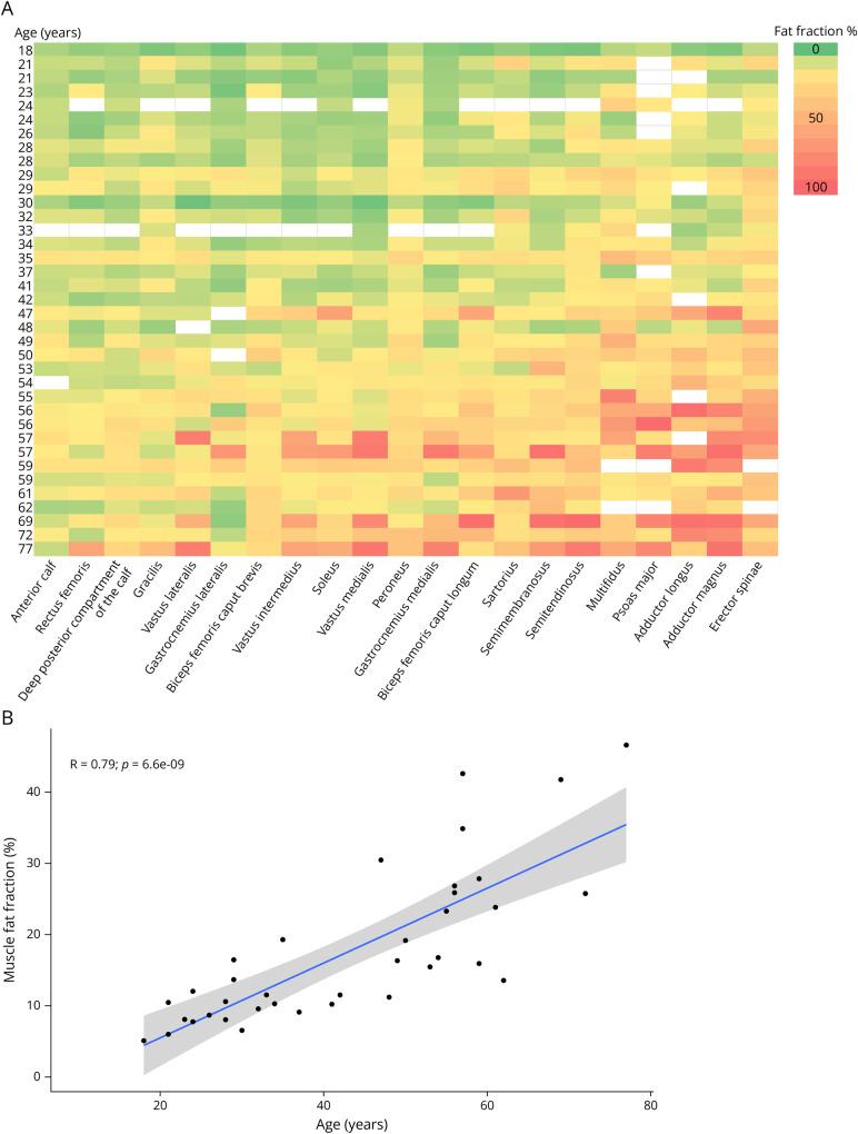
Primary hypokalemic periodic paralysis (HypoPP) is a muscle channelopathy that can cause periodic paralysis and permanent weakness. Currently, little is known about how progressive this myopathy is. Natural history data for HypoPP can potentially answer the question of progressiveness and form the basis for outcome measures to be used in follow-up and emerging treatment trials. We aimed to describe the natural history of HypoPP and assess whether quantitative fat imaging is a valuable biomarker to monitor disease progression.

METHODS

In this prospective follow-up study, we examined disease progression using Dixon MRI to monitor changes in fat replacement of the muscle and stationary dynamometry to monitor changes in muscle strength.

RESULTS

We included 37 persons (mean age 43 years, range 18-79 years) with HypoPP-causing variants in . Three participants were asymptomatic carriers, 22 had periodic paralysis, 3 had permanent weakness, and 9 had periodic paralysis in combination with permanent weakness. The median follow-up time was 20 months (range 12-25). We found that fat fraction increased in 10 of 21 examined muscles. An increase in the composite fat fraction of at least 1 muscle group was found in all symptomatic phenotypes. By contrast, we found no significant change in muscle strength.

DISCUSSION

The results from this follow-up study support the use of quantitative muscle MRI to monitor subclinical disease progression in HypoPP in patients with and without attacks of paralysis.

摘要

背景与目的

原发性低钾性周期性麻痹(HypoPP)是一种肌肉通道病,可导致周期性麻痹和永久性肌无力。目前,对于这种肌病的进展程度了解甚少。HypoPP的自然史数据可能会回答其进展性问题,并为后续随访及新出现的治疗试验中使用的结局指标奠定基础。我们旨在描述HypoPP的自然史,并评估定量脂肪成像是否是监测疾病进展的有价值生物标志物。

方法

在这项前瞻性随访研究中,我们使用 Dixon MRI 检查疾病进展情况,以监测肌肉脂肪替代的变化,并使用静态测力计监测肌肉力量的变化。

结果

我们纳入了37名携带导致HypoPP变异的患者(平均年龄43岁,范围18 - 79岁)。3名参与者为无症状携带者,22名有周期性麻痹,3名有永久性肌无力,9名既有周期性麻痹又有永久性肌无力。中位随访时间为20个月(范围12 - 25个月)。我们发现,在检查的21块肌肉中,有10块肌肉的脂肪分数增加。在所有有症状的表型中,至少有1个肌肉群的复合脂肪分数增加。相比之下,我们发现肌肉力量没有显著变化。

讨论

这项随访研究的结果支持使用定量肌肉MRI来监测有或无麻痹发作的HypoPP患者的亚临床疾病进展。

https://cdn.ncbi.nlm.nih.gov/pmc/blobs/08b7/11616970/79cd699057fc/NXG-2024-100193f1.jpg

文献检索

告别复杂PubMed语法,用中文像聊天一样搜索,搜遍4000万医学文献。AI智能推荐,让科研检索更轻松。

立即免费搜索

文件翻译

保留排版,准确专业,支持PDF/Word/PPT等文件格式,支持 12+语言互译。

免费翻译文档

深度研究

AI帮你快速写综述,25分钟生成高质量综述,智能提取关键信息,辅助科研写作。

立即免费体验