• 文献检索
  • 文档翻译
  • 深度研究
  • 学术资讯
  • Suppr Zotero 插件Zotero 插件
  • 邀请有礼
  • 套餐&价格
  • 历史记录
应用&插件
Suppr Zotero 插件Zotero 插件浏览器插件Mac 客户端Windows 客户端微信小程序
定价
高级版会员购买积分包购买API积分包
服务
文献检索文档翻译深度研究API 文档MCP 服务
关于我们
关于 Suppr公司介绍联系我们用户协议隐私条款
关注我们

Suppr 超能文献

核心技术专利:CN118964589B侵权必究
粤ICP备2023148730 号-1Suppr @ 2026

文献检索

告别复杂PubMed语法,用中文像聊天一样搜索,搜遍4000万医学文献。AI智能推荐,让科研检索更轻松。

立即免费搜索

文件翻译

保留排版,准确专业,支持PDF/Word/PPT等文件格式,支持 12+语言互译。

免费翻译文档

深度研究

AI帮你快速写综述,25分钟生成高质量综述,智能提取关键信息,辅助科研写作。

立即免费体验

斑块内新生血管形成在轻度颈动脉狭窄患者近期及未来缺血性卒中中的作用。

The role of intraplaque neovascularization in recent and future ischemic stroke in patients with mild carotid stenosis.

作者信息

Zhang Luni, Wu Rong, Chen Jing, Gu Shiyao, Jia Caixia

机构信息

Department of Ultrasound, Shanghai General Hospital of Nanjing Medical University, Shanghai, China.

Department of Ultrasound, Shanghai General Hospital, Shanghai Jiao Tong University School of Medicine, Shanghai, China.

出版信息

Ultrasonography. 2025 Jan;44(1):62-71. doi: 10.14366/usg.24123. Epub 2024 Oct 20.

DOI:10.14366/usg.24123
PMID:39659075
原文链接:https://pmc.ncbi.nlm.nih.gov/articles/PMC11717680/
Abstract

PURPOSE

There is still insufficient evidence for predicting stroke risk in patients with mild carotid atherosclerotic stenosis. This study aimed to explore the association between carotid intraplaque neovascularization (IPN) in mild stenosis and ischemic stroke, using contrast-enhanced ultrasound (CEUS) imaging.

METHODS

This retrospective observational study included 369 patients from July 2021 to March 2022. These patients were categorized as symptomatic or asymptomatic based on their recent history of ipsilateral ischemic stroke. Initial parameters of carotid plaques, such as IPN grading and contrast enhancement index, were assessed using B-mode ultrasonography and CEUS. The follow-up period lasted 12 months or until a newly-developed ischemic stroke occurred. Logistic regression models and Cox proportional-hazards regression models were employed to explore the associations between ultrasonic parameters and the incidence of recent and future ischemic strokes.

RESULTS

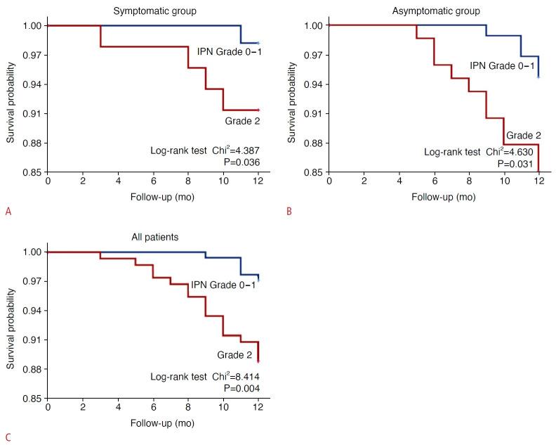
In patients with mild stenosis, both increasing age and grade 2 carotid IPN were significant predictors of recent primary ischemic stroke. Furthermore, grade 2 carotid IPN independently predicted future ischemic strokes in both symptomatic and asymptomatic patients.

CONCLUSION

This study demonstrated that carotid IPN as detected by CEUS imaging holds potential as a useful non-invasive biomarker for predicting recent and future ischemic strokes in patients with mild carotid stenosis.

摘要

目的

对于轻度颈动脉粥样硬化狭窄患者的卒中风险预测,目前仍缺乏足够的证据。本研究旨在利用对比增强超声(CEUS)成像技术,探讨轻度狭窄患者颈动脉斑块内新生血管形成(IPN)与缺血性卒中之间的关联。

方法

这项回顾性观察性研究纳入了2021年7月至2022年3月期间的369例患者。根据同侧缺血性卒中近期病史,将这些患者分为有症状或无症状组。使用B型超声和CEUS评估颈动脉斑块的初始参数,如IPN分级和对比增强指数。随访期持续12个月或直至发生新的缺血性卒中。采用逻辑回归模型和Cox比例风险回归模型,探讨超声参数与近期和未来缺血性卒中发生率之间的关联。

结果

在轻度狭窄患者中,年龄增长和2级颈动脉IPN均是近期原发性缺血性卒中的显著预测因素。此外,2级颈动脉IPN在有症状和无症状患者中均独立预测未来缺血性卒中。

结论

本研究表明,CEUS成像检测到的颈动脉IPN有潜力作为一种有用的非侵入性生物标志物,用于预测轻度颈动脉狭窄患者近期和未来的缺血性卒中。

https://cdn.ncbi.nlm.nih.gov/pmc/blobs/b851/11717680/2b8d15f464fd/usg-24123f4.jpg
https://cdn.ncbi.nlm.nih.gov/pmc/blobs/b851/11717680/fa6a71cf8e50/usg-24123f1.jpg
https://cdn.ncbi.nlm.nih.gov/pmc/blobs/b851/11717680/dfaceb208cd6/usg-24123f2.jpg
https://cdn.ncbi.nlm.nih.gov/pmc/blobs/b851/11717680/d783c8ce6b41/usg-24123f3.jpg
https://cdn.ncbi.nlm.nih.gov/pmc/blobs/b851/11717680/2b8d15f464fd/usg-24123f4.jpg
https://cdn.ncbi.nlm.nih.gov/pmc/blobs/b851/11717680/fa6a71cf8e50/usg-24123f1.jpg
https://cdn.ncbi.nlm.nih.gov/pmc/blobs/b851/11717680/dfaceb208cd6/usg-24123f2.jpg
https://cdn.ncbi.nlm.nih.gov/pmc/blobs/b851/11717680/d783c8ce6b41/usg-24123f3.jpg
https://cdn.ncbi.nlm.nih.gov/pmc/blobs/b851/11717680/2b8d15f464fd/usg-24123f4.jpg

相似文献

1
The role of intraplaque neovascularization in recent and future ischemic stroke in patients with mild carotid stenosis.斑块内新生血管形成在轻度颈动脉狭窄患者近期及未来缺血性卒中中的作用。
Ultrasonography. 2025 Jan;44(1):62-71. doi: 10.14366/usg.24123. Epub 2024 Oct 20.
2
The value of contrast-enhanced ultrasound in assessing carotid plaque vulnerability and predicting stroke risk.超声造影在评估颈动脉斑块易损性及预测卒中风险中的价值。
Sci Rep. 2025 Feb 18;15(1):5850. doi: 10.1038/s41598-025-90319-2.
3
Intraplaque neovascularization combined with plaque elasticity for predicting ipsilateral stroke in patients with asymptomatic mild carotid stenosis.斑块内新生血管形成联合斑块弹性预测无症状轻度颈动脉狭窄患者同侧卒中
Quant Imaging Med Surg. 2024 Jul 1;14(7):4815-4824. doi: 10.21037/qims-24-202. Epub 2024 Jun 17.
4
Carotid Intraplaque Neovascularization Predicts Ischemic Stroke Recurrence in Patients with Carotid Atherosclerosis.颈动脉斑块内新生血管与颈动脉粥样硬化患者缺血性卒中复发的相关性研究。
Gerontology. 2021;67(2):144-151. doi: 10.1159/000511360. Epub 2021 Feb 12.
5
Carotid Intraplaque Neovascularization and Future Vascular Events in Patients With Asymptomatic Carotid Stenosis.无症状性颈动脉狭窄患者的颈动脉斑块内新生血管形成与未来血管事件
Front Pharmacol. 2022 Feb 22;13:804810. doi: 10.3389/fphar.2022.804810. eCollection 2022.
6
Multimodal ultrasound-based carotid plaque risk biomarkers predict poor functional outcome in patients with ischemic stroke or TIA.基于多模态超声的颈动脉斑块风险生物标志物可预测缺血性卒中和 TIA 患者的不良功能结局。
BMC Neurol. 2023 Jan 12;23(1):13. doi: 10.1186/s12883-023-03052-6.
7
Carotid Plaque Neovascularization Detected With Superb Microvascular Imaging Ultrasound Without Using Contrast Media.颈动脉斑块内新生血管的超声造影检测技术。
Stroke. 2019 Nov;50(11):3121-3127. doi: 10.1161/STROKEAHA.119.025496. Epub 2019 Sep 12.
8
Added Clinical Value of Intraplaque Neovascularization Detection to Color Doppler Ultrasound for Assessing Ischemic Stroke Risk.斑块内新生血管形成检测对彩色多普勒超声评估缺血性中风风险的附加临床价值
Neuropsychiatr Dis Treat. 2024 Apr 23;20:899-909. doi: 10.2147/NDT.S456872. eCollection 2024.
9
Carotid intraplaque neovascularisation as a predictive factor for future vascular events in patients with mild and moderate carotid stenosis: an observational prospective study.颈动脉斑块内新生血管形成作为轻中度颈动脉狭窄患者未来血管事件的预测因素:一项前瞻性观察研究。
Ther Adv Neurol Disord. 2021 Jun 19;14:17562864211023992. doi: 10.1177/17562864211023992. eCollection 2021.
10
Incremental clinical value of intraplaque neovascularization in predicting recurrent ischemic stroke.斑块内新生血管形成在预测复发性缺血性卒中方面的增量临床价值。
Ann Clin Transl Neurol. 2025 Feb;12(2):291-299. doi: 10.1002/acn3.52255. Epub 2024 Nov 18.

引用本文的文献

1
Plaque biomarkers from high-frame rate vector flow imaging and shear wave elastography in mild carotid stenosis.高帧率矢量血流成像和剪切波弹性成像在轻度颈动脉狭窄中的斑块生物标志物
Ultrasonography. 2025 Jul;44(4):274-284. doi: 10.14366/usg.25031. Epub 2025 May 6.

本文引用的文献

1
Carotid stenosis and cryptogenic stroke.颈动脉狭窄与隐源性卒中。
J Vasc Surg. 2024 May;79(5):1119-1131. doi: 10.1016/j.jvs.2024.01.004. Epub 2024 Jan 7.
2
Estimated Burden of Stroke in China in 2020.2020 年中国脑卒中发病与死亡负担估计。
JAMA Netw Open. 2023 Mar 1;6(3):e231455. doi: 10.1001/jamanetworkopen.2023.1455.
3
Carotid Plaque Characteristics Predict Recurrent Ischemic Stroke and TIA: The PARISK (Plaque At RISK) Study.颈动脉斑块特征预测复发性缺血性中风和短暂性脑缺血发作:PARISK(风险斑块)研究。
JACC Cardiovasc Imaging. 2022 Oct;15(10):1715-1726. doi: 10.1016/j.jcmg.2022.04.003. Epub 2022 Jun 15.
4
State-of-the-art CT and MR imaging and assessment of atherosclerotic carotid artery disease: the reporting-a consensus document by the European Society of Cardiovascular Radiology (ESCR).最新 CT 和 MRI 成像技术在动脉粥样硬化性颈动脉疾病评估中的应用:欧洲心血管放射学会(ESCR)的报告共识文件。
Eur Radiol. 2023 Feb;33(2):1088-1101. doi: 10.1007/s00330-022-09025-6. Epub 2022 Oct 4.
5
Incidence of Ischemic Stroke in Patients With Asymptomatic Severe Carotid Stenosis Without Surgical Intervention.无症状性重度颈动脉狭窄患者未行手术干预时的缺血性脑卒中发生率。
JAMA. 2022 May 24;327(20):1974-1982. doi: 10.1001/jama.2022.4835.
6
Complicated Carotid Artery Plaques and Risk of Recurrent Ischemic Stroke or TIA.复杂颈动脉斑块与复发性缺血性卒中和 TIA 风险。
J Am Coll Cardiol. 2022 Jun 7;79(22):2189-2199. doi: 10.1016/j.jacc.2022.03.376. Epub 2022 May 3.
7
Co-existing Hypertension and Hyperhomocysteinemia Increases the Risk of Carotid Vulnerable Plaque and Subsequent Vascular Event: An MR Vessel Wall Imaging Study.并存高血压和高同型半胱氨酸血症增加颈动脉易损斑块及后续血管事件风险:一项磁共振血管壁成像研究
Front Cardiovasc Med. 2022 Mar 30;9:858066. doi: 10.3389/fcvm.2022.858066. eCollection 2022.
8
Plaque Elasticity and Intraplaque Neovascularisation on Carotid Artery Ultrasound: A Comparative Histological Study.颈动脉超声斑块弹性和斑块内新生血管化:一项对比组织学研究。
Eur J Vasc Endovasc Surg. 2021 Sep;62(3):358-366. doi: 10.1016/j.ejvs.2021.05.026.
9
Carotid intraplaque neovascularisation as a predictive factor for future vascular events in patients with mild and moderate carotid stenosis: an observational prospective study.颈动脉斑块内新生血管形成作为轻中度颈动脉狭窄患者未来血管事件的预测因素:一项前瞻性观察研究。
Ther Adv Neurol Disord. 2021 Jun 19;14:17562864211023992. doi: 10.1177/17562864211023992. eCollection 2021.
10
Atherosclerotic Carotid Plaque Composition and Incident Stroke and Coronary Events.动脉粥样硬化性颈动脉斑块成分与卒中及冠状动脉事件的发生
J Am Coll Cardiol. 2021 Mar 23;77(11):1426-1435. doi: 10.1016/j.jacc.2021.01.038.