Suppr超能文献

基于通路富集分析的非小细胞肺癌与五个暴露因素的孟德尔随机化分析

Mendelian Randomization Analysis of Non-small Cell Lung Cancer and Five Exposure Factors Based on Pathway Enrichment Analysis.

作者信息

Guo Zishun, Zhang Jieshu, Hu Zhuozheng, Wu Jiajun, Zhou Weijun, Zhang Wenxiong, Zhu Shuqiang

机构信息

Department of Thoracic Surgery, The Second Affiliated Hospital, Jiangxi Medical College, Nanchang University, Nanchang, China, 330006.

Department of Gastroenterology, Traditional Chinese Medicine Hospital of Wannian, Wannian, China, 335599.

出版信息

J Cancer. 2024 Oct 28;15(20):6658-6667. doi: 10.7150/jca.98769. eCollection 2024.

Abstract

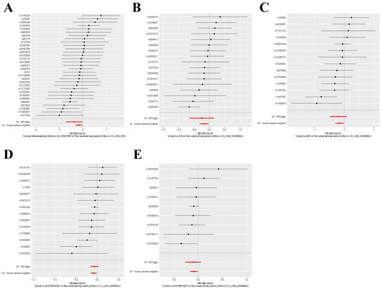
Increasing knowledge has made it crucial to identify and minimize potential risk factors in order to prevent non-small cell lung cancer (NSCLC). This initiative aims to utilize Mendelian randomization analysis to identify exposure factors that could be causally linked to NSCLC. The results will help create new ways of controlling and preventing NSCLC. The GEO database's NSCLC data were used to find differentially expressed genes, which were further analyzed for GO and KEGG pathway enrichment. Use pathway enrichment analysis as a guide to screen exposure factors. The exposure variables that are causally associated with NSCLC were screened using a two-sample Mendelian randomization technique. Heterogeneity and pleiotropy analyze were employed to assess the validity of the study's findings. Coronary atherosclerosis, cell adhesion molecule 3 (a molecule that maintains the normal structure and function of the lungs), dipeptidase 1 (one of the major adhesion receptors for neutrophils), thimet oligopeptidase (involved in hydrolyzing a variety of vasoactive signal peptides), and dipeptidyl peptidase 2 (an intracellular protease involved in the cell differentiation process and preventing cell death). The above five exposure factors were discovered to have an inverse relationship with NSCLC. Essentially, this implies that higher levels of these components can decrease the likelihood of developing lung cancer. No heterogeneity or pleiotropy was detected, and the study results were reliable. The study identified five potential exposure variables for NSCLC, laying the groundwork for treatment and prevention strategies and suggesting a new path for future research.

摘要

随着知识的不断增加,识别并尽量减少潜在风险因素对于预防非小细胞肺癌(NSCLC)至关重要。本研究旨在利用孟德尔随机化分析来确定可能与NSCLC存在因果关系的暴露因素。研究结果将有助于创造控制和预防NSCLC的新方法。利用GEO数据库中的NSCLC数据来寻找差异表达基因,并对其进行GO和KEGG通路富集的进一步分析。以通路富集分析为指导来筛选暴露因素。使用两样本孟德尔随机化技术筛选与NSCLC存在因果关联的暴露变量。采用异质性和多效性分析来评估研究结果的有效性。冠状动脉粥样硬化、细胞黏附分子3(一种维持肺正常结构和功能的分子)、二肽酶1(中性粒细胞的主要黏附受体之一)、硫醇寡肽酶(参与水解多种血管活性信号肽)和二肽基肽酶2(一种参与细胞分化过程并防止细胞死亡的细胞内蛋白酶)。发现上述五个暴露因素与NSCLC呈负相关。从本质上讲,这意味着这些成分的较高水平可降低患肺癌的可能性。未检测到异质性或多效性,研究结果可靠。该研究确定了NSCLC的五个潜在暴露变量,为治疗和预防策略奠定了基础,并为未来研究指明了新方向。

https://cdn.ncbi.nlm.nih.gov/pmc/blobs/d808/11632983/35f7afc58cf3/jcav15p6658g001.jpg

文献AI研究员

20分钟写一篇综述,助力文献阅读效率提升50倍。

立即体验

用中文搜PubMed

大模型驱动的PubMed中文搜索引擎

马上搜索

文档翻译

学术文献翻译模型,支持多种主流文档格式。

立即体验