Suppr超能文献

评估拳击对前额叶皮层激活和认知表现的影响:一项使用功能近红外光谱技术和斯特鲁普测试的初步研究。

Evaluating the impact of boxing on prefrontal cortex activation and cognitive performance: A pilot study using fNIRS technology and the Stroop test.

作者信息

Çemç Muhammed Sıddık, Ağduman Fatih

机构信息

Department of Physical Education and Sports, Boğaziçi University, Istanbul, Türkiye.

Department of Recreation, Faculty of Sport Sciences, Atatürk University, Erzurum, Türkiye.

出版信息

PLoS One. 2024 Dec 13;19(12):e0314979. doi: 10.1371/journal.pone.0314979. eCollection 2024.

Abstract

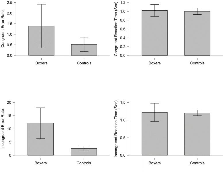
This research sets out to investigate the differences in hemoglobin concentration occurring in the prefrontal cortex (PFC) during the administration of the Stroop test in active amateur boxers and to compare the obtained data regarding chronic traumatic brain injury with those of healthy individuals. The research was conducted at the Atatürk University Neuropsychology Laboratory. Participants consisted of 6 male boxers, aged 19.66 ± 2.94 years, who had been actively boxing for 7.5 ± 3.8 years and had received at least high school level education, with right-hand dominance, and 8 healthy males, aged 19.62 ± 1.18 years, who had not engaged in any combat sports. fNIRS recordings were taken over the Prefrontal Cortex (PFC) while Stroop test stimuli were presented to the participants in a block design. The data were analyzed using the JASP program. Mann-Whitney U test was applied to evaluate the differences between groups in Stroop test data. The activation levels on the prefrontal cortex during the test were evaluated using the Repeated Measures ANOVA test. A significance level of p <0.05 was accepted for the analyses. In conclusion, compared to the control group, boxers demonstrated a significantly higher level of cerebral activation in the right dlPFC/vlPFC regions during the congruent task and in the right dmPFC as well as the left dmPFC/vmPFC/OFC regions during the incongruent task in the Stroop test. When the Stroop test results of the participants were evaluated between groups, it was found that although statistically insignificant compared to healthy subjects, boxers generally exhibited failure. In conclusion, it was found that boxers exhibit higher neural activation responses and lower cognitive performance during neurophysiological testing compared to healthy controls. These two conditions are thought to be interconnected and are considered to result from neural inefficiency.

摘要

本研究旨在调查活跃的业余拳击手在进行斯特鲁普测试时前额叶皮层(PFC)中血红蛋白浓度的差异,并将获得的有关慢性创伤性脑损伤的数据与健康个体的数据进行比较。该研究在阿塔图尔克大学神经心理学实验室进行。参与者包括6名男性拳击手,年龄为19.66±2.94岁,他们积极从事拳击运动7.5±3.8年,至少接受过高中教育,惯用右手;以及8名健康男性,年龄为19.62±1.18岁,未参加过任何格斗运动。在以区组设计向参与者呈现斯特鲁普测试刺激时,通过功能近红外光谱(fNIRS)在前额叶皮层(PFC)进行记录。使用JASP程序对数据进行分析。应用曼-惠特尼U检验来评估斯特鲁普测试数据中组间的差异。使用重复测量方差分析检验来评估测试期间前额叶皮层的激活水平。分析采用的显著性水平为p<0.05。总之,与对照组相比,拳击手在斯特鲁普测试的一致任务期间,右侧背外侧前额叶皮层/腹外侧前额叶皮层(dlPFC/vlPFC)区域的大脑激活水平显著更高;在不一致任务期间,右侧背内侧前额叶皮层(dmPFC)以及左侧背内侧前额叶皮层/腹内侧前额叶皮层/眶额皮层(dmPFC/vmPFC/OFC)区域的大脑激活水平显著更高。当评估参与者的斯特鲁普测试结果时发现,与健康受试者相比,尽管拳击手的差异在统计学上不显著,但他们总体上表现不佳。总之,研究发现与健康对照组相比,拳击手在神经生理学测试期间表现出更高的神经激活反应和更低的认知表现。这两种情况被认为是相互关联的,并被认为是神经效率低下的结果。

https://cdn.ncbi.nlm.nih.gov/pmc/blobs/2e62/11643274/2fb82f39e747/pone.0314979.g001.jpg

文献检索

告别复杂PubMed语法,用中文像聊天一样搜索,搜遍4000万医学文献。AI智能推荐,让科研检索更轻松。

立即免费搜索

文件翻译

保留排版,准确专业,支持PDF/Word/PPT等文件格式,支持 12+语言互译。

免费翻译文档

深度研究

AI帮你快速写综述,25分钟生成高质量综述,智能提取关键信息,辅助科研写作。

立即免费体验