Suppr超能文献

新型苯并咪唑取代查尔酮作为α-葡萄糖苷酶和α-淀粉酶抑制剂:结构与计算研究洞察

Novel Benzimidazole-Endowed Chalcones as α-Glucosidase and α-Amylase Inhibitors: An Insight into Structural and Computational Studies.

作者信息

Rai Prashasthi V, Ramu Ramith, Akhileshwari P, Prabhu Sudharshan, Prabhune Nupura Manish, Deepthi P V, Anjana P T, Ganavi D, Vijesh A M, Goh Khang Wen, Ahmed Mohammad Z, Kumar Vasantha

机构信息

Department of PG Studies and Research in Chemistry, Sri Dharmasthala Manjunatheshwara College (Autonomous), Ujire 574240, Karnataka, India.

Department of Biotechnology and Bioinformatics, School of Life Sciences, JSS Academy of Higher Education and Research, Mysuru 570015, Karnataka, India.

出版信息

Molecules. 2024 Nov 27;29(23):5599. doi: 10.3390/molecules29235599.

Abstract

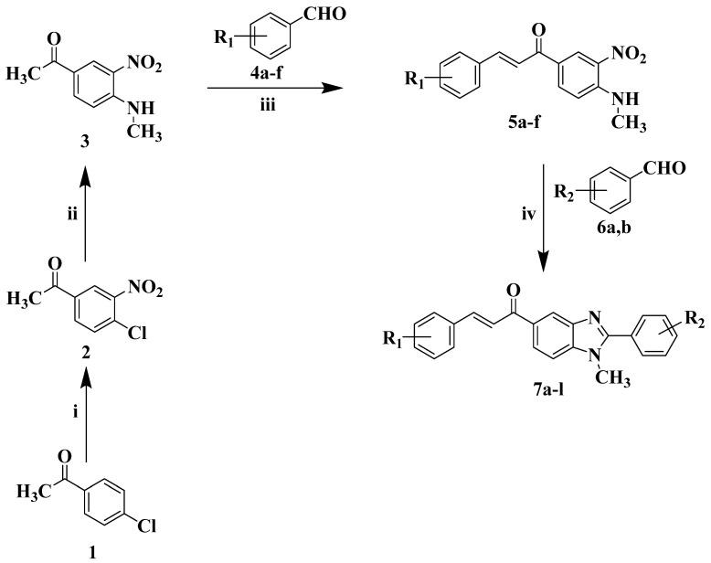
In search of novel antidiabetic agents, we synthesized a new series of chalcones with benzimidazole scaffolds by an efficient 'one-pot' nitro reductive cyclization method and evaluated their α-glucosidase and α-amylase inhibition studies. The 'one-pot' nitro reductive cyclization method offered a simple route for the preparation of benzimidazoles with excellent yield and higher purity compared to the other conventional acid- or base-catalyzed cyclization methods. H, C NMR, IR, and mass spectrum data were used to characterize the compounds. Single-crystal XRD data confirmed the 3D structure of compound which was crystalized in the P1¯ space group of the triclinic crystal system. Hirshfeld surface analysis validates the presence of O-H..O, O-H…N, and C-H…O intermolecular hydrogen bonds. From the DFT calculations, the energy gap between the frontier molecular orbitals in was found to be 3.791 eV. From the series, compound emerged as a potent antidiabetic agent with IC = 22.45 ± 0.36 µg/mL and 20.47 ± 0.60 µg/mL against α-glucosidase and α-amylase enzymes, respectively. The in silico molecular docking studies revealed that compound has strong binding interactions with α-glucosidase and α-amylase proteins. Molecular dynamics studies also revealed the stability of compound with α-glucosidase and α-amylase proteins.

摘要

为了寻找新型抗糖尿病药物,我们通过高效的“一锅法”硝基还原环化方法合成了一系列带有苯并咪唑骨架的新型查尔酮,并评估了它们对α-葡萄糖苷酶和α-淀粉酶的抑制作用。与其他传统的酸催化或碱催化环化方法相比,“一锅法”硝基还原环化方法为苯并咪唑的制备提供了一条简单的路线,产率高且纯度高。利用氢谱、碳谱、红外光谱和质谱数据对化合物进行了表征。单晶X射线衍射数据证实了化合物在三斜晶系的P1¯空间群中结晶的三维结构。 Hirshfeld表面分析验证了O-H..O、O-H…N和C-H…O分子间氢键的存在。通过密度泛函理论计算,发现该化合物前沿分子轨道之间的能隙为3.791 eV。在该系列化合物中,化合物对α-葡萄糖苷酶和α-淀粉酶的IC50分别为22.45±0.36 µg/mL和20.47±0.60 µg/mL,是一种有效的抗糖尿病药物。计算机模拟分子对接研究表明,该化合物与α-葡萄糖苷酶和α-淀粉酶蛋白具有很强的结合相互作用。分子动力学研究还揭示了该化合物与α-葡萄糖苷酶和α-淀粉酶蛋白的稳定性。

https://cdn.ncbi.nlm.nih.gov/pmc/blobs/0ec9/11643225/c60c55ecede9/molecules-29-05599-g001.jpg

文献检索

告别复杂PubMed语法,用中文像聊天一样搜索,搜遍4000万医学文献。AI智能推荐,让科研检索更轻松。

立即免费搜索

文件翻译

保留排版,准确专业,支持PDF/Word/PPT等文件格式,支持 12+语言互译。

免费翻译文档

深度研究

AI帮你快速写综述,25分钟生成高质量综述,智能提取关键信息,辅助科研写作。

立即免费体验