Suppr超能文献

含PET和PE废料的聚合物改性沥青混合料性能优化方法

Performance Optimization Approach of Polymer-Modified Asphalt Mixtures with PET and PE Waste.

作者信息

Jexembayeva Assel, Konkanov Marat, Aruova Lyazat, Kirgizbayev Akpan, Zhaksylykova Lailya

机构信息

Department of Industrial and Civil Construction Technology, Eurasian National University, Astana 010000, Kazakhstan.

ENU Lab, Eurasian National University, Astana 010000, Kazakhstan.

出版信息

Polymers (Basel). 2024 Nov 27;16(23):3308. doi: 10.3390/polym16233308.

Abstract

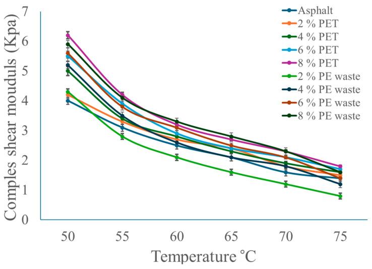
Road infrastructure sustainability and pavement performance may be increased by using waste materials like polyethylene terephthalate (PET) and polyethylene waste (PE waste) in polymer-modified asphalt mixtures. As seen by a more pronounced rise in the softening point, which exceeds 110 °C with 8% PE waste, PET was found to improve the tensile strength, resistance to cracking, and thermal stability of asphalt mixes. PE waste also increases ductility up to 4% PE waste, beyond which the combination becomes more brittle, and dramatically decreases penetration, strengthening the asphalt's resistance to deformation. Additionally, bitumen treated with PE waste is more workable than asphalt without PET, even though bitumen treated with PE waste had a viscosity of up to 4500 Pa. Complex shear modules decreased as the PE waste and PET content increased. PET, on the other hand, increases the binder's overall stiffness, elasticity, and tensile strength. Nevertheless, when PET content rises, ductility steadily decreases. Previous studies concentrated on the effects of each component separately, and this paper fills this knowledge gap by investigating the combined effects of PET and PE waste. The results indicate that the highest compressive strength (7.5 MPa) was obtained with 6% PE + 2% PET, while the highest tensile strength (1.40 MPa) was achieved with a balanced mix of 4% PE waste + 4% PET. Additionally, the viscosity of asphalt is increased by PET and PE waste, enhancing its performance at high temperatures. These findings demonstrate how combining PET and PE waste improves the mechanical and thermal characteristics of asphalt, providing a balance between stiffness and flexibility, a crucial feature for durable road materials under a variety of circumstances.

摘要

通过在聚合物改性沥青混合料中使用聚对苯二甲酸乙二酯(PET)和聚乙烯废料(PE废料)等废料,可以提高道路基础设施的可持续性和路面性能。PET被发现可提高沥青混合料的拉伸强度、抗裂性和热稳定性,这从软化点更显著的升高可以看出,含8% PE废料时软化点超过110°C。PE废料也能提高延展性,直至含4% PE废料,超过此比例混合料会变得更脆,且针入度显著降低,增强了沥青的抗变形能力。此外,用PE废料处理的沥青比不含PET的沥青更易于施工,尽管用PE废料处理的沥青粘度高达4500 Pa。随着PE废料和PET含量的增加,复数剪切模量降低。另一方面,PET会增加粘结剂的整体刚度、弹性和拉伸强度。然而,当PET含量增加时,延展性会稳步下降。以往的研究分别集中在各组分的影响上,本文通过研究PET和PE废料的联合作用填补了这一知识空白。结果表明,含6% PE + 2% PET时可获得最高抗压强度(7.5 MPa),而含4% PE废料 + 4% PET的平衡混合料可达到最高拉伸强度(1.40 MPa)。此外,PET和PE废料会增加沥青的粘度,提高其在高温下的性能。这些发现表明,PET和PE废料的组合如何改善沥青的机械和热性能,在刚度和柔韧性之间取得平衡,这是各种情况下耐用道路材料的关键特性。

https://cdn.ncbi.nlm.nih.gov/pmc/blobs/c283/11644327/8e81cba00a1c/polymers-16-03308-g001.jpg

文献检索

告别复杂PubMed语法,用中文像聊天一样搜索,搜遍4000万医学文献。AI智能推荐,让科研检索更轻松。

立即免费搜索

文件翻译

保留排版,准确专业,支持PDF/Word/PPT等文件格式,支持 12+语言互译。

免费翻译文档

深度研究

AI帮你快速写综述,25分钟生成高质量综述,智能提取关键信息,辅助科研写作。

立即免费体验