Suppr超能文献

不同温度条件下陀螺仪微机电系统噪声的分数阶辨识

Fractional-Order Identification of Gyroscope MEMS Noise Under Various Temperature Conditions.

作者信息

Sierociuk Dominik, Macias Michal, Markowski Konrad Andrzej

机构信息

Institute of Control and Industrial Electronics, Warsaw University of Technology, ul. Koszykowa 75, 00-662 Warsaw, Poland.

Military Electronic Works JSC, ul. 1 Maja 1, 05-220 Zielonka, Poland.

出版信息

Sensors (Basel). 2024 Nov 25;24(23):7504. doi: 10.3390/s24237504.

Abstract

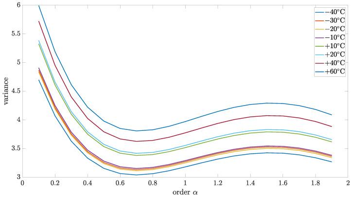
This paper deals with identifying the fractional-order noise parameters for MEMS gyroscopes under various temperature conditions. The significant contribution of the paper is to investigate the relation between the fractional noise model of MEMS devices and different ambient temperatures. In our paper, variance, correlation, and introduced estimation analysis methods have been meticulously applied to determine noise parameters with fractional-order dynamics. Experimental data were collected precisely under various ambient temperatures, while the MEMS device was located in a climate chamber. The origin of the paper is motivated by a project entitled "Family of optoelectronic heads for guided missiles-SEEKER", where the IMU sensor is a crucial electronic device used to measure the angular velocity of the optoelectronic head. It is widely known that the IMU measurements built-in MEMS technology often come with a random walk, as well as biases and noises affecting the final results.

摘要

本文致力于识别各种温度条件下MEMS陀螺仪的分数阶噪声参数。本文的重要贡献在于研究MEMS器件的分数噪声模型与不同环境温度之间的关系。在我们的论文中,方差、相关性以及引入的估计分析方法已被精心应用于确定具有分数阶动力学的噪声参数。在MEMS器件置于气候箱的情况下,精确收集了各种环境温度下的实验数据。本文的研究源于一个名为“用于制导导弹的光电头系列 - 导引头”的项目,其中惯性测量单元(IMU)传感器是用于测量光电头角速度的关键电子设备。众所周知,采用MEMS技术的IMU测量通常伴随着随机游走,以及影响最终结果的偏差和噪声。

https://cdn.ncbi.nlm.nih.gov/pmc/blobs/fad1/11644677/9bc9bf79b90a/sensors-24-07504-g001.jpg

文献检索

告别复杂PubMed语法,用中文像聊天一样搜索,搜遍4000万医学文献。AI智能推荐,让科研检索更轻松。

立即免费搜索

文件翻译

保留排版,准确专业,支持PDF/Word/PPT等文件格式,支持 12+语言互译。

免费翻译文档

深度研究

AI帮你快速写综述,25分钟生成高质量综述,智能提取关键信息,辅助科研写作。

立即免费体验