Suppr超能文献

IgD-CD38br淋巴细胞通过调节甘油与棕榈酰肉碱(C16)的比例影响心肌梗死:一项孟德尔随机化研究。

IgD-CD38br lymphocyte affect myocardial infarction by regulating the glycerol to palmitoylcarnitine (C16) ratio: A Mendelian randomization study.

作者信息

Wang Jing, Wang Ying, Ding Shuang, Wang Zhengyan, Li Jingyuan, Jia Yuyan

机构信息

Shenzhen Hospital (Fu Tian) of Guangzhou University of Chinese Medicine, Shenzhen, China.

The Affiliated Hospital to Changchun University of Chinese Medicine, Changchun, Jilin Province, China.

出版信息

Medicine (Baltimore). 2024 Dec 13;103(50):e40871. doi: 10.1097/MD.0000000000040871.

Abstract

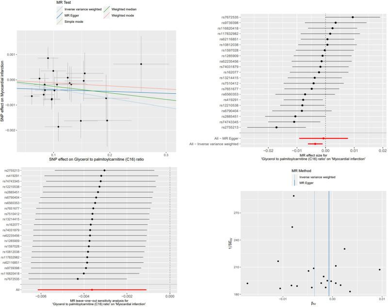
Myocardial infarction, a type of coronary artery disease, results from various factors such as genetic predisposition, lifestyle choices, and immune system regulation. The exact causal links between immune cells, plasma metabolites, and myocardial infarction are currently unclear. Therefore, our study employed the Mendelian randomization approach to explore these potential causal relationships. To investigate the impact of immune cells on the risk of myocardial infarction mediated by alterations in plasma metabolite levels, we employed the Mendelian randomization (MR) framework. Our analysis utilized 5 distinct MR techniques (inverse variance weighted [IVW], weighted median, MR-Egger, simple mode, and weighted mode) to evaluate causal relationships among 731 immune cell types, 1400 plasma metabolites, and myocardial infarction. Genetic instruments for immune cells and metabolites were identified using data from a meta-analysis of genome-wide association studies. Furthermore, sensitivity analyses were performed to verify the robustness of our results, identify potential heterogeneity, and examine possible pleiotropic effects. IVW results indicated that IgD-CD38br lymphocytes was a risk factor for myocardial infarction, whereas IgD-CD38br lymphocytes also acted as a protective factor against myocardial infarction. Additionally, the glycerol to palmitoylcarnitine (C16) ratio was identified as a protective factor for myocardial infarction. IgD-CD38br lymphocytes could exert a detrimental effect on myocardial infarction by negatively regulating the glycerol to palmitoylcarnitine (C16) ratio, with the mediation effect ratio being 9%. IgD-CD38br lymphocytes potentially increase the risk of myocardial infarction by negatively affecting the glycerol to palmitoylcarnitine (C16) ratio. This finding opens avenues for developing early diagnostic tools and targeted therapies for myocardial infarction.

摘要

心肌梗死是冠状动脉疾病的一种类型,由多种因素引起,如遗传易感性、生活方式选择和免疫系统调节。目前尚不清楚免疫细胞、血浆代谢物与心肌梗死之间的确切因果关系。因此,我们的研究采用孟德尔随机化方法来探索这些潜在的因果关系。为了研究免疫细胞通过血浆代谢物水平变化对心肌梗死风险的影响,我们采用了孟德尔随机化(MR)框架。我们的分析利用了5种不同的MR技术(逆方差加权[IVW]、加权中位数、MR-Egger、简单模式和加权模式)来评估731种免疫细胞类型、1400种血浆代谢物与心肌梗死之间的因果关系。利用全基因组关联研究的荟萃分析数据确定了免疫细胞和代谢物的遗传工具。此外,还进行了敏感性分析,以验证我们结果的稳健性,识别潜在的异质性,并检查可能的多效性效应。IVW结果表明,IgD-CD38br淋巴细胞是心肌梗死的一个危险因素,而IgD-CD38br淋巴细胞同时也作为心肌梗死的一个保护因素。此外,甘油与棕榈酰肉碱(C16)的比值被确定为心肌梗死的一个保护因素。IgD-CD38br淋巴细胞可通过负调节甘油与棕榈酰肉碱(C16)的比值对心肌梗死产生有害影响,中介效应比为9%。IgD-CD38br淋巴细胞可能通过负面影响甘油与棕榈酰肉碱(C16)的比值而增加心肌梗死的风险。这一发现为开发心肌梗死的早期诊断工具和靶向治疗开辟了道路。

https://cdn.ncbi.nlm.nih.gov/pmc/blobs/9720/11651492/f835916db472/medi-103-e40871-g001.jpg

文献检索

告别复杂PubMed语法,用中文像聊天一样搜索,搜遍4000万医学文献。AI智能推荐,让科研检索更轻松。

立即免费搜索

文件翻译

保留排版,准确专业,支持PDF/Word/PPT等文件格式,支持 12+语言互译。

免费翻译文档

深度研究

AI帮你快速写综述,25分钟生成高质量综述,智能提取关键信息,辅助科研写作。

立即免费体验