• 文献检索
  • 文档翻译
  • 深度研究
  • 学术资讯
  • Suppr Zotero 插件Zotero 插件
  • 邀请有礼
  • 套餐&价格
  • 历史记录
应用&插件
Suppr Zotero 插件Zotero 插件浏览器插件Mac 客户端Windows 客户端微信小程序
定价
高级版会员购买积分包购买API积分包
服务
文献检索文档翻译深度研究API 文档MCP 服务
关于我们
关于 Suppr公司介绍联系我们用户协议隐私条款
关注我们

Suppr 超能文献

核心技术专利:CN118964589B侵权必究
粤ICP备2023148730 号-1Suppr @ 2026

文献检索

告别复杂PubMed语法,用中文像聊天一样搜索,搜遍4000万医学文献。AI智能推荐,让科研检索更轻松。

立即免费搜索

文件翻译

保留排版,准确专业,支持PDF/Word/PPT等文件格式,支持 12+语言互译。

免费翻译文档

深度研究

AI帮你快速写综述,25分钟生成高质量综述,智能提取关键信息,辅助科研写作。

立即免费体验

基于张量的综合报告人群事故分析:一项创新性回顾性方法设计研究。

Tensor-based analysis of eclectic-reported crowd accidents: An innovative retrospective methodology design study.

作者信息

Edelmann Dóra, Őszi Arnold, Goda Tibor

机构信息

Doctoral School on Safety and Security Sciences, Óbuda University, 1034, Budapest, Hungary.

Institute for Security Sciences and Cyber Defense, Banki Donat Faculty of Mechanical and Safety Engineering, Óbuda University, 1034, Budapest, Hungary.

出版信息

Heliyon. 2024 Nov 19;10(23):e40330. doi: 10.1016/j.heliyon.2024.e40330. eCollection 2024 Dec 15.

DOI:10.1016/j.heliyon.2024.e40330
PMID:39691202
原文链接:https://pmc.ncbi.nlm.nih.gov/articles/PMC11650299/
Abstract

INTRODUCTION

Analysis of crowd accidents contributes to accident prevention. Therefore, we employ a tensor-based approach. The innovative tensor-based approach facilitates the streamlining of longitudinal studies, promotes error detection, and enhances the transparency and traceability of data collection. This study focuses on crowd accidents, the direct cause of which is the movement of the crowd (Excluding other external factors: e.g. fire, structural damage.). It aims at investigating the reliability of the records documented in relation to crowd accidents and the type of repetitions that can be found in the events.

MATERIALS AND METHODS

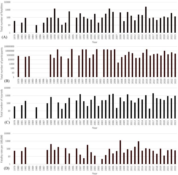
The study employed a web-based retrospective methodology with innovative tensor-based analysis, examining 186 fatal crowd accidents from 1979 to 2023. Data was collected from public sources, including news reports, government reports, and scientific publications. The analysis considered the following variables: event type, place, date, number of victims, cause, environmental characteristics, date and reliability of documented information source origination. Tensor-based method combines the improvement of the quality of the coverage and investigates changes in content over time. The seven-step method, which stores information about crowd accidents in matrices, is presented here in detail. The v factor is introduced to evaluate the credibility of sources.

RESULTS

The results show that those news items about crowd accidents are the most reliable which were created 2 years after the events. Crowd accidents are analyzed based on their influencing defining characteristics. We claim that we were able to isolate new risk factors related to the locations of crowd accidents. Globally, we focus on accidents that occurred during donation distributions and when entering buildings.

CONCLUSION

It can be concluded that the new, seven-step, tensor-based data collection method improves the credibility value of individual information by more than 25 %. The impact of accident factors plays a key role in establishing risk factors and in the prevention of accidents. The tensor-based approach can be directly applied to record databases, enhance data provenance, and capture the temporal evolution of information.

摘要

引言

对人群事故进行分析有助于预防事故。因此,我们采用基于张量的方法。这种创新的基于张量的方法有助于简化纵向研究、促进错误检测,并提高数据收集的透明度和可追溯性。本研究聚焦于人群事故,其直接原因是人群的移动(不包括其他外部因素:如火灾、结构损坏)。其目的是调查与人群事故相关记录的可靠性以及事件中可发现的重复类型。

材料与方法

本研究采用基于网络的回顾性方法,并结合创新的基于张量的分析,研究了1979年至2023年期间的186起致命人群事故。数据从包括新闻报道、政府报告和科学出版物在内的公共来源收集。分析考虑了以下变量:事件类型、地点、日期、受害者数量、原因、环境特征、记录信息源的日期和可靠性。基于张量的方法结合了覆盖质量的改进,并研究内容随时间的变化。这里详细介绍了将人群事故信息存储在矩阵中的七步法。引入v因子来评估来源的可信度。

结果

结果表明,关于人群事故的新闻报道在事件发生两年后创建的最为可靠。根据人群事故的影响定义特征进行分析。我们声称能够分离出与人群事故发生地点相关的新风险因素。在全球范围内,我们关注捐赠分发期间和进入建筑物时发生的事故。

结论

可以得出结论,新的基于张量的七步数据收集方法将个体信息的可信度值提高了25%以上。事故因素的影响在确定风险因素和预防事故中起着关键作用。基于张量的方法可直接应用于记录数据库,增强数据来源,并捕捉信息的时间演变。

https://cdn.ncbi.nlm.nih.gov/pmc/blobs/e3f5/11650299/ab6ceca01bb5/gr18.jpg
https://cdn.ncbi.nlm.nih.gov/pmc/blobs/e3f5/11650299/f720bb4ca578/ga1.jpg
https://cdn.ncbi.nlm.nih.gov/pmc/blobs/e3f5/11650299/ef27a0f12280/gr1.jpg
https://cdn.ncbi.nlm.nih.gov/pmc/blobs/e3f5/11650299/8468286b8978/gr2.jpg
https://cdn.ncbi.nlm.nih.gov/pmc/blobs/e3f5/11650299/b96a76cd5d36/gr3.jpg
https://cdn.ncbi.nlm.nih.gov/pmc/blobs/e3f5/11650299/edc3a9cd313a/gr4.jpg
https://cdn.ncbi.nlm.nih.gov/pmc/blobs/e3f5/11650299/68aa8b813e19/gr5.jpg
https://cdn.ncbi.nlm.nih.gov/pmc/blobs/e3f5/11650299/7abfd8f25c5c/gr6.jpg
https://cdn.ncbi.nlm.nih.gov/pmc/blobs/e3f5/11650299/1870538eb522/gr7.jpg
https://cdn.ncbi.nlm.nih.gov/pmc/blobs/e3f5/11650299/d7205ce1ffa9/gr8.jpg
https://cdn.ncbi.nlm.nih.gov/pmc/blobs/e3f5/11650299/5919e6a102a5/gr9.jpg
https://cdn.ncbi.nlm.nih.gov/pmc/blobs/e3f5/11650299/f8bf867eff16/gr10.jpg
https://cdn.ncbi.nlm.nih.gov/pmc/blobs/e3f5/11650299/354bbbd90c74/gr11.jpg
https://cdn.ncbi.nlm.nih.gov/pmc/blobs/e3f5/11650299/f4bbc1ec5a4c/gr12.jpg
https://cdn.ncbi.nlm.nih.gov/pmc/blobs/e3f5/11650299/a4145143c076/gr13.jpg
https://cdn.ncbi.nlm.nih.gov/pmc/blobs/e3f5/11650299/e0c1f76e8664/gr14.jpg
https://cdn.ncbi.nlm.nih.gov/pmc/blobs/e3f5/11650299/0d483d52f336/gr15.jpg
https://cdn.ncbi.nlm.nih.gov/pmc/blobs/e3f5/11650299/38d070ce7247/gr16.jpg
https://cdn.ncbi.nlm.nih.gov/pmc/blobs/e3f5/11650299/4f6f5d187854/gr17.jpg
https://cdn.ncbi.nlm.nih.gov/pmc/blobs/e3f5/11650299/ab6ceca01bb5/gr18.jpg
https://cdn.ncbi.nlm.nih.gov/pmc/blobs/e3f5/11650299/f720bb4ca578/ga1.jpg
https://cdn.ncbi.nlm.nih.gov/pmc/blobs/e3f5/11650299/ef27a0f12280/gr1.jpg
https://cdn.ncbi.nlm.nih.gov/pmc/blobs/e3f5/11650299/8468286b8978/gr2.jpg
https://cdn.ncbi.nlm.nih.gov/pmc/blobs/e3f5/11650299/b96a76cd5d36/gr3.jpg
https://cdn.ncbi.nlm.nih.gov/pmc/blobs/e3f5/11650299/edc3a9cd313a/gr4.jpg
https://cdn.ncbi.nlm.nih.gov/pmc/blobs/e3f5/11650299/68aa8b813e19/gr5.jpg
https://cdn.ncbi.nlm.nih.gov/pmc/blobs/e3f5/11650299/7abfd8f25c5c/gr6.jpg
https://cdn.ncbi.nlm.nih.gov/pmc/blobs/e3f5/11650299/1870538eb522/gr7.jpg
https://cdn.ncbi.nlm.nih.gov/pmc/blobs/e3f5/11650299/d7205ce1ffa9/gr8.jpg
https://cdn.ncbi.nlm.nih.gov/pmc/blobs/e3f5/11650299/5919e6a102a5/gr9.jpg
https://cdn.ncbi.nlm.nih.gov/pmc/blobs/e3f5/11650299/f8bf867eff16/gr10.jpg
https://cdn.ncbi.nlm.nih.gov/pmc/blobs/e3f5/11650299/354bbbd90c74/gr11.jpg
https://cdn.ncbi.nlm.nih.gov/pmc/blobs/e3f5/11650299/f4bbc1ec5a4c/gr12.jpg
https://cdn.ncbi.nlm.nih.gov/pmc/blobs/e3f5/11650299/a4145143c076/gr13.jpg
https://cdn.ncbi.nlm.nih.gov/pmc/blobs/e3f5/11650299/e0c1f76e8664/gr14.jpg
https://cdn.ncbi.nlm.nih.gov/pmc/blobs/e3f5/11650299/0d483d52f336/gr15.jpg
https://cdn.ncbi.nlm.nih.gov/pmc/blobs/e3f5/11650299/38d070ce7247/gr16.jpg
https://cdn.ncbi.nlm.nih.gov/pmc/blobs/e3f5/11650299/4f6f5d187854/gr17.jpg
https://cdn.ncbi.nlm.nih.gov/pmc/blobs/e3f5/11650299/ab6ceca01bb5/gr18.jpg

相似文献

1
Tensor-based analysis of eclectic-reported crowd accidents: An innovative retrospective methodology design study.基于张量的综合报告人群事故分析:一项创新性回顾性方法设计研究。
Heliyon. 2024 Nov 19;10(23):e40330. doi: 10.1016/j.heliyon.2024.e40330. eCollection 2024 Dec 15.
2
Folic acid supplementation and malaria susceptibility and severity among people taking antifolate antimalarial drugs in endemic areas.在流行地区,服用抗叶酸抗疟药物的人群中,叶酸补充剂与疟疾易感性和严重程度的关系。
Cochrane Database Syst Rev. 2022 Feb 1;2(2022):CD014217. doi: 10.1002/14651858.CD014217.
3
Safety interventions for the prevention of accidents at work: A systematic review.预防工作场所事故的安全干预措施:一项系统综述。
Campbell Syst Rev. 2022 Jun 1;18(2):e1234. doi: 10.1002/cl2.1234. eCollection 2022 Jun.
4
[Fatal incidents by crowd crush during mass events. (Un)preventable phenomenon?].[重大活动期间人群挤压导致的致命事件。(不可)预防的现象?]
Anaesthesist. 2013 Jan;62(1):39-46. doi: 10.1007/s00101-012-2124-z.
5
The future of Cochrane Neonatal.考克兰新生儿协作网的未来。
Early Hum Dev. 2020 Nov;150:105191. doi: 10.1016/j.earlhumdev.2020.105191. Epub 2020 Sep 12.
6
[Accidents and injuries in the EU. Results of the EuroSafe Reports].[欧盟的事故与伤害。欧洲安全报告结果]
Bundesgesundheitsblatt Gesundheitsforschung Gesundheitsschutz. 2014 Jun;57(6):673-80. doi: 10.1007/s00103-014-1969-5.
7
[Development of forensic thanatology through the prism of analysis of postmortem protocols collected at the Department of Forensic Medicine, Jagiellonian University].[通过对雅盖隆大学法医学系收集的尸体解剖记录进行分析来探讨法医死亡学的发展]
Arch Med Sadowej Kryminol. 2011 Jul-Sep;61(3):213-300.
8
Using crowd sourcing to locate and characterize conflicts for vulnerable modes.利用众包技术定位和描述脆弱模式的冲突。
Accid Anal Prev. 2019 Jul;128:32-39. doi: 10.1016/j.aap.2019.03.014. Epub 2019 Apr 5.
9
Mutual information for the detection of crush.压碎检测的互信息。
PLoS One. 2011;6(12):e28747. doi: 10.1371/journal.pone.0028747. Epub 2011 Dec 21.
10
Online Newspaper Reports on Ambulance Accidents in Austria, Germany, and Switzerland: Retrospective Cross-sectional Review.奥地利、德国和瑞士救护车事故的在线报纸报道:回顾性横断面研究。
JMIR Public Health Surveill. 2021 Nov 12;7(11):e25897. doi: 10.2196/25897.

本文引用的文献

1
The anatomy of stadium disasters: causes, consequences and safeguarding the future from a medical perspective.从医学角度看体育场馆灾难的解剖:原因、后果与未来保障。
Public Health. 2023 Nov;224:8-13. doi: 10.1016/j.puhe.2023.08.014. Epub 2023 Sep 8.
2
Trauma and Injuries Pattern During Hajj, 1443 (2022): A Cross-Sectional Study.1443年(2022年)朝觐期间的创伤和损伤模式:一项横断面研究
Cureus. 2023 Jul 12;15(7):e41751. doi: 10.7759/cureus.41751. eCollection 2023 Jul.
3
Beyond 'stampedes': Towards a new psychology of crowd crush disasters.
超越“踩踏事件”:走向人群挤压灾难的新心理学。
Br J Soc Psychol. 2024 Jan;63(1):52-69. doi: 10.1111/bjso.12666. Epub 2023 Jun 30.
4
Global mass gathering events and deaths due to crowd surge, stampedes, crush and physical injuries - Lessons from the Seoul Halloween and other disasters.全球群体性聚集活动以及因人群激增、踩踏、挤压和身体伤害导致的死亡——来自首尔万圣节及其他灾难的教训。
Travel Med Infect Dis. 2023 Mar-Apr;52:102524. doi: 10.1016/j.tmaid.2022.102524. Epub 2022 Dec 11.
5
Content analysis of Twitter users' responses to the crowd crush tragedy in Seoul, South Korea in October 2022.对推特用户对2022年10月韩国首尔人群挤压悲剧的回应的内容分析。
Resuscitation. 2023 Jan;182:109658. doi: 10.1016/j.resuscitation.2022.11.024. Epub 2022 Dec 5.
6
The Crowd Crush at Mount Meron: Emergency Medical Services Response to a Silent Mass Casualty Incident.梅龙山人群踩踏事件:紧急医疗服务对无声大规模伤亡事件的应对
Disaster Med Public Health Prep. 2022 Jul 21:1-3. doi: 10.1017/dmp.2022.162.
7
Position Statement: Mass Gathering Medical Care.立场声明:大型集会医疗照护。
Prehosp Emerg Care. 2021 Jul-Aug;25(4):593-595. doi: 10.1080/10903127.2021.1903632. Epub 2021 Apr 30.
8
Compression asphyxia and other clinicopathological findings from the Hillsborough Stadium disaster.希尔斯堡球场灾难中的挤压性窒息和其他临床病理学发现。
Emerg Med J. 2021 Oct;38(10):798-802. doi: 10.1136/emermed-2020-209627. Epub 2020 Sep 3.
9
Occurrence mechanism and coping paths of accidents of highly aggregated tourist crowds based on system dynamics.基于系统动力学的高度聚集游客群体事故的发生机制和应对路径。
PLoS One. 2019 Sep 17;14(9):e0222389. doi: 10.1371/journal.pone.0222389. eCollection 2019.
10
Thoracoabdominal Compression Model of Traumatic Asphyxia to Identify Mechanisms of Respiratory Failure in Fatal Crowd Accidents.用于识别致命人群事故中呼吸衰竭机制的创伤性窒息胸腹按压模型
J Nippon Med Sch. 2020 Jan 10;86(6):310-321. doi: 10.1272/jnms.JNMS.2019_86-607. Epub 2019 Aug 20.