Suppr超能文献

基于人工智能探索三维实性肿瘤比率值分割的最佳阈值以预测T1期肺腺癌的浸润程度。

Exploring the optimal threshold of 3D consolidation tumor ratio value segmentation based on artificial intelligence for predicting the invasive degree of T1 lung adenocarcinoma.

作者信息

Shi Wensong, Hu Yuzhui, Sun Yingli, Chang Guotao, Yang Yulun, Qian He, Wei Zhengpan, Zhao Liang, Li Ming, Zheng Huiyu, Li Xiangnan

机构信息

Department of Thoracic Surgery, The First Affiliated Hospital of Zhengzhou University, Zhengzhou, China.

Department of Thoracic Surgery, The fifth Clinical Medical College of Henan University of Chinese Medicine (Zhengzhou People's Hospital), Zhengzhou, China.

出版信息

Quant Imaging Med Surg. 2024 Dec 5;14(12):8988-8998. doi: 10.21037/qims-24-1328. Epub 2024 Nov 29.

Abstract

BACKGROUND

The assessment of lung adenocarcinoma significantly depends on the proportion of solid components in lung nodules. Traditional one-dimensional consolidation tumor ratio (1D CTR) based on ideal, uniformly dense solid components lacks precision. There is no consensus on the CT threshold for evaluating invasiveness using the threshold segmentation method. This study aimed to explore the effectiveness of the three-dimensional CTR (3D CTR) calculated by the artificial intelligence threshold segmentation method in predicting invasive stage T1 lung adenocarcinoma and to identify its optimal threshold and cut-off point.

METHODS

Data from 1,056 patients with 1,179 pulmonary nodules confirmed by postoperative pathology were collected retrospectively from two centers, Zhengzhou People's Hospital and Huadong Hospital of Fudan University. Patients were divided into non-invasive [atypical adenomatous hyperplasia (AAH), adenocarcinoma in situ (AIS), minimally invasive adenocarcinoma (MIA)] and invasive groups [invasive adenocarcinoma (IAC)]. Seven computed tomography (CT) threshold settings (-550 to 0 HU) were used to calculate the 3D CTR via the threshold segmentation method, and differences between the groups were analyzed. Receiver operating characteristic (ROC) curves were plotted to compare predictive performance for invasiveness of stage T1 lung adenocarcinoma, and the optimal threshold and corresponding cut-off value were determined. Subgroup analyses based on nodule size-T1a (≤10 mm), T1b (>10 to 20 mm), and T1c (>20 to 30 mm)-were also conducted.

RESULTS

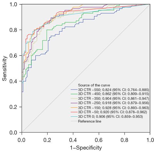
The CT threshold of -150 Housefield unit (HU) showed the highest predictive efficacy for invasiveness of stage T1 lung adenocarcinoma, with an area under the curve (AUC) of 0.901 [95% confidence interval (CI): 0.883-0.919], sensitivity of 86.878%, and specificity of 77.883%. The optimal cut-off point for 3D CTR was 2.75%. In subgroup analyses, -150 HU remained optimal, with predictive performance increasing with nodule size. For the T1a group, the AUC was 0.887 (95% CI: 0.885-0.919), cut-off value was 2.75%, sensitivity was 77.620%, and specificity was 85.714%. For the T1b group, values were 0.903 (95% CI: 0.875-0.931), cut-off value was 5.4%, sensitivity was 87.671%, and specificity was 80.296%. For the T1c group, values were 0.928 (95% CI: 0.893-0.963), cut-off value was 7.1%, sensitivity was 88.043%, and specificity was 81.176%.

CONCLUSIONS

This study suggests that setting the CT threshold at -150 HU and using the AI-based threshold segmentation method to calculate the 3D CTR effectively distinguishes whether stage T1 lung adenocarcinoma is invasive, with an optimal cut-off point at 2.75%. Under this threshold, for varying nodule sizes, criteria are proposed: for nodules ≤10 mm with a 3D CTR <2.75%; >10 to 20 mm with a 3D CTR <5.4%; and >20 to 30 mm with a 3D CTR <7.1%, these partially solid nodules can be treated as non-IAC.

摘要

背景

肺腺癌的评估很大程度上取决于肺结节中实性成分的比例。基于理想的、均匀致密实性成分的传统一维实性肿瘤比例(1D CTR)缺乏精确性。使用阈值分割法评估侵袭性的CT阈值尚无共识。本研究旨在探讨通过人工智能阈值分割法计算的三维实性肿瘤比例(3D CTR)在预测T1期侵袭性肺腺癌中的有效性,并确定其最佳阈值和截断点。

方法

回顾性收集郑州人民医院和复旦大学附属华东医院两个中心1056例患者的1179个经术后病理证实的肺结节数据。患者分为非侵袭性组[非典型腺瘤样增生(AAH)、原位腺癌(AIS)、微浸润腺癌(MIA)]和侵袭性组[侵袭性腺癌(IAC)]。使用7种计算机断层扫描(CT)阈值设置(-550至0 HU)通过阈值分割法计算3D CTR,并分析组间差异。绘制受试者工作特征(ROC)曲线以比较T1期肺腺癌侵袭性的预测性能,并确定最佳阈值和相应的截断值。还基于结节大小进行亚组分析——T1a(≤10 mm)、T1b(>10至20 mm)和T1c(>20至30 mm)。

结果

-150亨氏单位(HU)的CT阈值对T1期肺腺癌侵袭性的预测效能最高,曲线下面积(AUC)为0.901[95%置信区间(CI):0.8;83-0.919],灵敏度为86.878%,特异度为77.883%。3D CTR的最佳截断点为2.75%。在亚组分析中,-150 HU仍然是最佳的,预测性能随结节大小增加。对于T1a组,AUC为0.887(95%CI:0.885-0.919),截断值为2.75%,灵敏度为77.620%,特异度为85.714%。对于T1b组,数值分别为0.903(95%CI:0.875-0.931),截断值为5.4%,灵敏度为87.671%,特异度为80.296%。对于T1c组,数值分别为0.928(95%CI:0.893-0.963),截断值为7.1%,灵敏度为88.043%,特异度为81.176%。

结论

本研究表明,将CT阈值设定为-150 HU并使用基于人工智能的阈值分割法计算3D CTR可有效区分T1期肺腺癌是否具有侵袭性,最佳截断点为2.75%。在此阈值下,针对不同大小的结节,提出如下标准:对于≤10 mm的结节,3D CTR<2.75%;>10至20 mm的结节,3D CTR<5.4%;>至30 mm的结节,3D CTR<7.1%,这些部分实性结节可视为非IAC。

https://cdn.ncbi.nlm.nih.gov/pmc/blobs/07ae/11651987/6486c20fafe1/qims-14-12-8988-f1.jpg

文献检索

告别复杂PubMed语法,用中文像聊天一样搜索,搜遍4000万医学文献。AI智能推荐,让科研检索更轻松。

立即免费搜索

文件翻译

保留排版,准确专业,支持PDF/Word/PPT等文件格式,支持 12+语言互译。

免费翻译文档

深度研究

AI帮你快速写综述,25分钟生成高质量综述,智能提取关键信息,辅助科研写作。

立即免费体验