Suppr超能文献

探索叶蒸馏废料在酸性环境中作为碳钢绿色缓蚀剂的作用:一项综合研究。

Exploring the role of leaves distillation waste as a green inhibitor for carbon steel in acidic environment: an integrated study.

作者信息

Kellal Rachid, Zertoubi Mustapha, Safi Zaki S, Wazzan Nuha A, Al-Qurashi Ohoud S, Benmessaoud Left Driss

机构信息

Laboratory Interface Materials Environment (LIME), Faculty of Sciences Ain Chock, Hassan II University of Casablanca B.P 5366 Morocco

Al Azhar University-Gaza, Chemistry Department, Faculty of Science P. O. Box 1277 Gaza Palestine.

出版信息

RSC Adv. 2024 Dec 23;14(54):40198-40221. doi: 10.1039/d4ra07430k. eCollection 2024 Dec 17.

Abstract

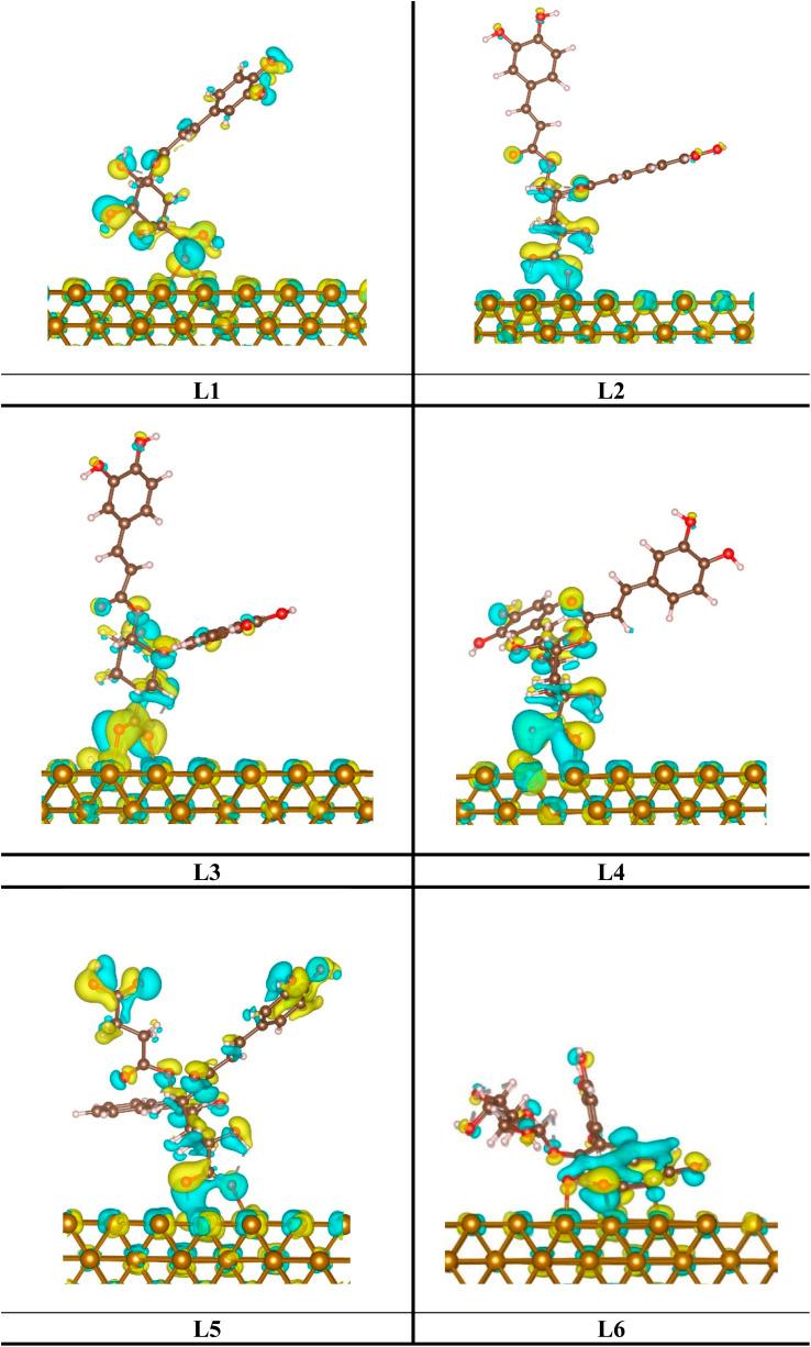
In this study, the assessment of the leaves' co-product resulting from the hydrodistillation process was conducted to evaluate its anticorrosive potential for carbon steel in the hydrochloric acid medium. Phytochemical analysis of this biomass revealed its abundance in terms of polyphenols and flavonoids; hence the determination of total polyphenol content recorded a value of 75.4 mg GAE per g extract. This was corroborated by FTIR spectroscopy, which revealed the presence of various functional groups, thereby providing positive indications regarding the anticorrosive properties of this plant material. Electrochemical impedance spectroscopy and Tafel extrapolation analysis of polarization curves indicated that the extract from leaves reduced the corrosion rate of steel in 1 M HCl medium, reaching 78% in corrosion inhibition efficiency while following an adsorption process governed by the Langmuir isotherm. Furthermore, temperature effect investigations at a range between 293-313 K on the corrosion rate of carbon steel in the acidic medium in the presence and absence of CCLE revealed that the latter undergoes chemisorption-type adsorption on the active metal surface, thereby minimizing its degradation rate at elevated temperatures. The synergistic effect between the leaf extract and potassium iodide was examined using both electrochemical techniques, thus reflecting the cooperative abilities of the two compounds in inhibiting carbon steel corrosion. Additionally, scanning electron microscopy images of the surface state confirmed these findings, thereby providing significant insight into the anticorrosive properties of this plant material in corrosive environments. Similarly, a theoretical study using DFT and MD for the major compounds of CCLE confirmed the obtained results, concluding that the plant material derived from the hydrodistillation process of leaves exhibits remarkable corrosion inhibition capacity for carbon steel in acidic environments.

摘要

在本研究中,对水蒸馏过程产生的树叶副产物进行了评估,以评价其在盐酸介质中对碳钢的防腐潜力。对该生物质进行的植物化学分析表明,其富含多酚和黄酮类化合物;因此,测得的总多酚含量为每克提取物75.4毫克没食子酸当量。傅里叶变换红外光谱法证实了这一点,该方法揭示了各种官能团的存在,从而为这种植物材料的防腐性能提供了积极的迹象。电化学阻抗谱和极化曲线的塔菲尔外推分析表明,树叶提取物降低了1 M HCl介质中钢的腐蚀速率,缓蚀效率达到78%,同时遵循朗缪尔等温线控制的吸附过程。此外,在293 - 313 K范围内对碳钢在酸性介质中有无CCLE时的腐蚀速率进行的温度效应研究表明,CCLE在活性金属表面发生化学吸附型吸附,从而在高温下降低其降解速率。使用两种电化学技术研究了树叶提取物与碘化钾之间的协同效应,从而反映了这两种化合物抑制碳钢腐蚀的协同能力。此外,表面状态的扫描电子显微镜图像证实了这些发现,从而为这种植物材料在腐蚀环境中的防腐性能提供了重要的见解。同样,使用密度泛函理论(DFT)和分子动力学(MD)对CCLE的主要化合物进行的理论研究证实了所得结果,得出结论:树叶水蒸馏过程得到的植物材料在酸性环境中对碳钢具有显著的缓蚀能力。

https://cdn.ncbi.nlm.nih.gov/pmc/blobs/2c19/11665801/3fbef40b87d2/d4ra07430k-f1.jpg

文献检索

告别复杂PubMed语法,用中文像聊天一样搜索,搜遍4000万医学文献。AI智能推荐,让科研检索更轻松。

立即免费搜索

文件翻译

保留排版,准确专业,支持PDF/Word/PPT等文件格式,支持 12+语言互译。

免费翻译文档

深度研究

AI帮你快速写综述,25分钟生成高质量综述,智能提取关键信息,辅助科研写作。

立即免费体验