• 文献检索
  • 文档翻译
  • 深度研究
  • 学术资讯
  • Suppr Zotero 插件Zotero 插件
  • 邀请有礼
  • 套餐&价格
  • 历史记录
应用&插件
Suppr Zotero 插件Zotero 插件浏览器插件Mac 客户端Windows 客户端微信小程序
定价
高级版会员购买积分包购买API积分包
服务
文献检索文档翻译深度研究API 文档MCP 服务
关于我们
关于 Suppr公司介绍联系我们用户协议隐私条款
关注我们

Suppr 超能文献

核心技术专利:CN118964589B侵权必究
粤ICP备2023148730 号-1Suppr @ 2026

文献检索

告别复杂PubMed语法,用中文像聊天一样搜索,搜遍4000万医学文献。AI智能推荐,让科研检索更轻松。

立即免费搜索

文件翻译

保留排版,准确专业,支持PDF/Word/PPT等文件格式,支持 12+语言互译。

免费翻译文档

深度研究

AI帮你快速写综述,25分钟生成高质量综述,智能提取关键信息,辅助科研写作。

立即免费体验

亚热带常绿阔叶林内是否存在整个植物保护梯度?

Does a whole plant conservation gradient exist within a subtropical broadleaved evergreen forest?

作者信息

Fan Ailian, Wang Xue, Yan Xiaojun, Chen Tingting, Jiang Qi, Jia Linqiao, Wang Weiwei, Xiong Decheng, Huang Jinxue, Chen Guangshui

机构信息

Key Laboratory of Humid Subtropical Eco-geographical Process of Ministry of Education, School of Geographical Sciences, Fujian Normal University, Fuzhou, China.

Fujian Sanming Forest Ecosystem National Observation and Research Station, Fujian Normal University, Fuzhou, China.

出版信息

Front Plant Sci. 2024 Dec 11;15:1481323. doi: 10.3389/fpls.2024.1481323. eCollection 2024.

DOI:10.3389/fpls.2024.1481323
PMID:39722876
原文链接:https://pmc.ncbi.nlm.nih.gov/articles/PMC11668598/
Abstract

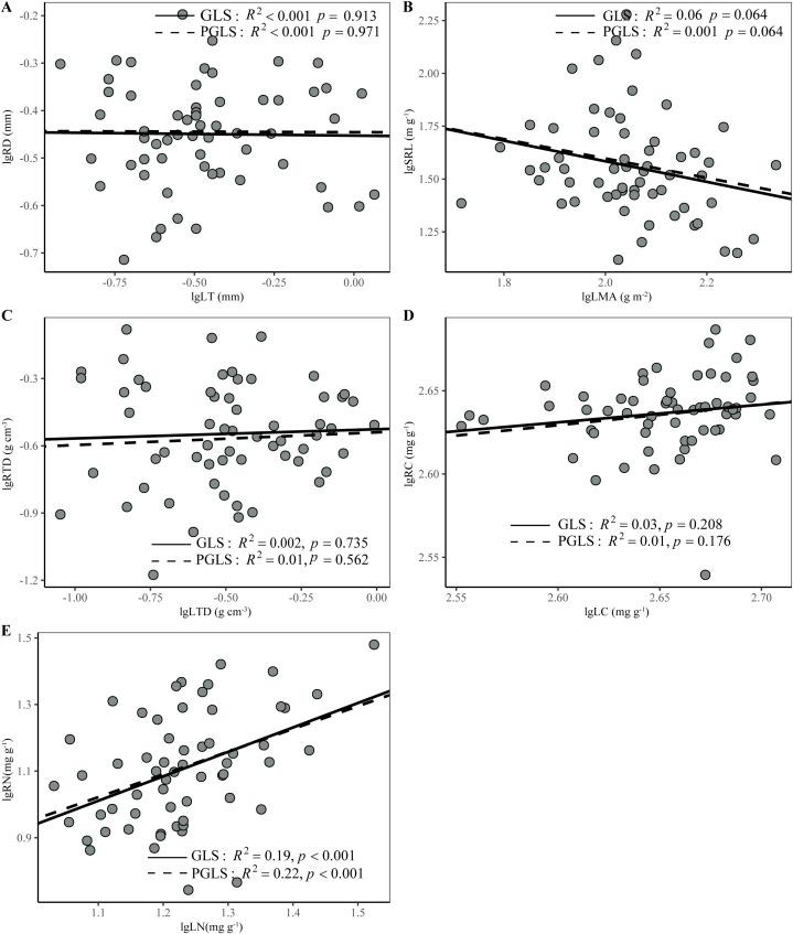
The coordination between leaf and root traits is crucial for plants to synchronize their strategies for acquiring and utilizing above- and belowground resources. Nevertheless, the generality of a whole plant conservation gradient is still controversial. Such testing has been conducted mainly among communities at large spatial scales, and thus evidence is lacking within communities. This is noteworthy because factors that influence leaf and root trait variation differ across scales. Here, we measured pairs of analogous leaf and first-order root traits, including morphological (leaf thickness (LT) and root diameter (RD), leaf mass per unit area (LMA) and specific root length (SRL), and leaf and root tissue density (LTD and RTD)) and chemical traits (carbon (C) and nitrogen (N) concentrations in leaf and root tissues), on the same plants from 60 woody species within a subtropical broad-leaved evergreen forest. The trade-off patterns in and correlations between leaf and root traits were examined using (phylogenetic) principal component analysis and correlation analysis. Our results revealed two dominant dimensions of leaf trait variation, the leaf economics spectrum (LES) and the LT-LTD trade-off axis. Variations in root traits were mainly accounted for by a two-dimensional root economics space (RES) (i.e., root conservation gradient (RTD-RN) and root collaboration gradient (RD-SRL)). The LES and root conservation gradient were correlated and could be integrated into one whole plant conservation gradient, independent of the root collaboration gradient and the leaf LT-LTD trade-off dimension. Leaf and root N concentrations correlated positively, independent of phylogeny, whereas analogous leaf and root morphological traits varied independently of each other. These results support the existence of a whole plant conservation gradient, but also highlight a complex integration of multiple above- and belowground adaptive strategies of plants within a forest community, which offer new insight into ecological trade-offs, species coexistence and community assembly in the forest ecosystem.

摘要

叶片和根系性状之间的协调对于植物同步获取和利用地上与地下资源的策略至关重要。然而,整个植株保守性梯度的普遍性仍存在争议。此类测试主要在大空间尺度的群落间进行,因此群落内部缺乏相关证据。这一点值得注意,因为影响叶片和根系性状变异的因素在不同尺度上存在差异。在此,我们对亚热带常绿阔叶林内60种木本植物的同一植株测量了成对的类似叶片和一级根系性状,包括形态学性状(叶片厚度(LT)和根直径(RD)、单位面积叶质量(LMA)和比根长(SRL),以及叶片和根系组织密度(LTD和RTD))和化学性状(叶片和根系组织中的碳(C)和氮(N)浓度)。使用(系统发育)主成分分析和相关分析研究了叶片和根系性状之间的权衡模式及相关性。我们的结果揭示了叶片性状变异的两个主要维度,即叶片经济谱(LES)和LT-LTD权衡轴。根系性状的变异主要由二维根系经济空间(RES)(即根系保守性梯度(RTD-RN)和根系协作梯度(RD-SRL))解释。LES与根系保守性梯度相关,并且可以整合为一个整个植株保守性梯度,独立于根系协作梯度和叶片LT-LTD权衡维度。叶片和根系的N浓度呈正相关,与系统发育无关,而类似的叶片和根系形态学性状彼此独立变化。这些结果支持了整个植株保守性梯度的存在,但也突出了森林群落中植物地上和地下多种适应策略的复杂整合,这为森林生态系统中的生态权衡、物种共存和群落组装提供了新的见解。

https://cdn.ncbi.nlm.nih.gov/pmc/blobs/c5ee/11668598/19b60a97c9a5/fpls-15-1481323-g005.jpg
https://cdn.ncbi.nlm.nih.gov/pmc/blobs/c5ee/11668598/91c9d2c77e3c/fpls-15-1481323-g001.jpg
https://cdn.ncbi.nlm.nih.gov/pmc/blobs/c5ee/11668598/ffd7a582ee00/fpls-15-1481323-g002.jpg
https://cdn.ncbi.nlm.nih.gov/pmc/blobs/c5ee/11668598/94bf95e0b7b4/fpls-15-1481323-g003.jpg
https://cdn.ncbi.nlm.nih.gov/pmc/blobs/c5ee/11668598/7b5e72975c68/fpls-15-1481323-g004.jpg
https://cdn.ncbi.nlm.nih.gov/pmc/blobs/c5ee/11668598/19b60a97c9a5/fpls-15-1481323-g005.jpg
https://cdn.ncbi.nlm.nih.gov/pmc/blobs/c5ee/11668598/91c9d2c77e3c/fpls-15-1481323-g001.jpg
https://cdn.ncbi.nlm.nih.gov/pmc/blobs/c5ee/11668598/ffd7a582ee00/fpls-15-1481323-g002.jpg
https://cdn.ncbi.nlm.nih.gov/pmc/blobs/c5ee/11668598/94bf95e0b7b4/fpls-15-1481323-g003.jpg
https://cdn.ncbi.nlm.nih.gov/pmc/blobs/c5ee/11668598/7b5e72975c68/fpls-15-1481323-g004.jpg
https://cdn.ncbi.nlm.nih.gov/pmc/blobs/c5ee/11668598/19b60a97c9a5/fpls-15-1481323-g005.jpg

相似文献

1
Does a whole plant conservation gradient exist within a subtropical broadleaved evergreen forest?亚热带常绿阔叶林内是否存在整个植物保护梯度?
Front Plant Sci. 2024 Dec 11;15:1481323. doi: 10.3389/fpls.2024.1481323. eCollection 2024.
2
Trait divergence and opposite above- and below-ground strategies facilitate moso bamboo invasion into subtropical evergreen broadleaf forest.性状分化以及地上与地下相反的策略促进了毛竹侵入亚热带常绿阔叶林。
Front Plant Sci. 2024 Jul 19;15:1410372. doi: 10.3389/fpls.2024.1410372. eCollection 2024.
3
Fine Root Traits across Different Root Orders and Their Associations with Leaf Traits in 15 Co-Occurring Plant Species from the Desert-Oasis Transition Zone in the Hexi Corridor, Gansu Province, China.甘肃省河西走廊沙漠-绿洲过渡带15种共生植物不同根序的细根性状及其与叶性状的关系
Plants (Basel). 2024 Sep 4;13(17):2472. doi: 10.3390/plants13172472.
4
Decoupled leaf and root carbon economics is a key component in the ecological diversity and evolutionary divergence of deciduous and evergreen lineages of genus .叶片与根系碳经济的解耦是该属落叶和常绿谱系生态多样性与进化分化的关键组成部分。
Am J Bot. 2017 Jun;104(6):803-816. doi: 10.3732/ajb.1700051. Epub 2017 Jun 13.
5
Differing Trade-Off Patterns of Tree Vegetative Organs in a Tropical Cloud Forest.热带云雾林中树木营养器官的不同权衡模式
Front Plant Sci. 2021 Jul 21;12:680379. doi: 10.3389/fpls.2021.680379. eCollection 2021.
6
Soil nutrients determine multidimensional absorptive root traits of Cryptomeria japonica var. sinensis plantations along a chronosequence in subtropical forest.土壤养分决定了亚热带森林中柳杉人工林沿时间序列的多维吸收根性状。
J Environ Manage. 2025 May;381:125220. doi: 10.1016/j.jenvman.2025.125220. Epub 2025 Apr 5.
7
Variation of root resource acquisition and conservation strategies in a temperate forest is linked with plant growth forms.温带森林中根系资源获取与保护策略的变化与植物生长形式相关联。
Tree Physiol. 2025 Mar 28;45(4). doi: 10.1093/treephys/tpaf027.
8
An integrated framework of plant form and function: the belowground perspective.植物形态与功能的综合框架:地下视角。
New Phytol. 2021 Oct;232(1):42-59. doi: 10.1111/nph.17590. Epub 2021 Jul 30.
9
Decomposing functional trait associations in a Chinese subtropical forest.解析中国亚热带森林中的功能性状关联
PLoS One. 2017 Apr 18;12(4):e0175727. doi: 10.1371/journal.pone.0175727. eCollection 2017.
10
Leaf economics of evergreen and deciduous tree species along an elevational gradient in a subtropical mountain.亚热带山区沿海拔梯度的常绿和落叶树种叶片经济学特征
AoB Plants. 2015 Jun 8;7:plv064. doi: 10.1093/aobpla/plv064.

本文引用的文献

1
Vertical variation in leaf functional traits of with different canopy layers.不同冠层的叶片功能性状的垂直变化。
Front Plant Sci. 2024 Jan 29;15:1335524. doi: 10.3389/fpls.2024.1335524. eCollection 2024.
2
Mycorrhizal mycelium as a global carbon pool.菌根菌丝体作为全球碳库。
Curr Biol. 2023 Jun 5;33(11):R560-R573. doi: 10.1016/j.cub.2023.02.027.
3
Incorporating pressure-volume traits into the leaf economics spectrum.将压力-容积特性纳入叶片经济谱。
Ecol Lett. 2023 Apr;26(4):549-562. doi: 10.1111/ele.14176. Epub 2023 Feb 7.
4
V.PhyloMaker2: An updated and enlarged R package that can generate very large phylogenies for vascular plants.V.PhyloMaker2:一个经过更新和扩充的R软件包,可生成用于维管植物的非常大型的系统发育树。
Plant Divers. 2022 May 27;44(4):335-339. doi: 10.1016/j.pld.2022.05.005. eCollection 2022 Jul.
5
Global relationships in tree functional traits.树木功能性状的全球关系。
Nat Commun. 2022 Jun 8;13(1):3185. doi: 10.1038/s41467-022-30888-2.
6
Environmental variation drives the decoupling of leaf and root traits within species along an elevation gradient.环境变化沿海拔梯度驱动物种内叶片和根系性状的解耦。
Ann Bot. 2022 Sep 19;130(3):419-430. doi: 10.1093/aob/mcac052.
7
Climatic and soil factors explain the two-dimensional spectrum of global plant trait variation.气候和土壤因素解释了全球植物性状变化的二维谱。
Nat Ecol Evol. 2022 Jan;6(1):36-50. doi: 10.1038/s41559-021-01616-8. Epub 2021 Dec 23.
8
The Economics Spectrum Drives Root Trait Strategies in Mediterranean Vegetation.经济谱驱动地中海植被的根系性状策略。
Front Plant Sci. 2021 Nov 23;12:773118. doi: 10.3389/fpls.2021.773118. eCollection 2021.
9
Root phosphatase activity aligns with the collaboration gradient of the root economics space.根磷酸酶活性与根经济空间的协作梯度一致。
New Phytol. 2022 May;234(3):837-849. doi: 10.1111/nph.17906. Epub 2021 Dec 22.
10
Fine-root traits in the global spectrum of plant form and function.植物形态和功能全球谱中的细根特性。
Nature. 2021 Sep;597(7878):683-687. doi: 10.1038/s41586-021-03871-y. Epub 2021 Sep 29.