Suppr超能文献

肾移植患儿的肌酐缓慢上升:区分小儿肾移植受者的移植肾功能进行性损害与正常生长发育。

The Creeping Creatinine in a Growing Child With a Kidney Transplant: Distinguishing Progressive Graft Dysfunction From Normal Growth in Pediatric Kidney Transplant Recipients.

作者信息

Dandamudi Raja S, Vyas Neil, Hmiel Stanley P, Dharnidharka Vikas R

机构信息

Division of Pediatric Nephrology, Hypertension and Apheresis, Washington University School of Medicine & St. Louis Children's Hospital, St. Louis, Missouri, USA.

出版信息

Pediatr Transplant. 2025 Feb;29(1):e14883. doi: 10.1111/petr.14883.

Abstract

BACKGROUND

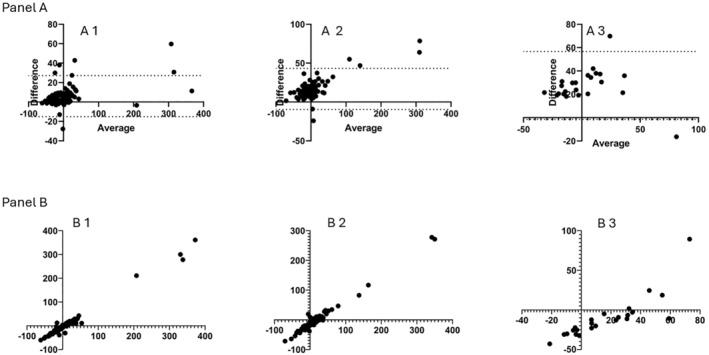
Pediatric kidney transplant recipients experience creeping creatinine, which is a slow increase in serum creatinine over time. Distinguishing between normal growth-related changes and possible allograft dysfunction becomes challenging when interpreting the increase in serum creatinine. We hypothesized that changes in BSA-indexed measured glomerular filtration rate (mGFR) or creatinine-estimated GFR (eGFR) might not be a true reflection of the renal function post-transplant and that for longitudinal follow-up a stable absolute mGFR is better.

METHODS

In total, 115 pediatric kidney transplant recipients transplanted between 2000 and 2021, with 319 measured GFR values (each subject had at least 2 values) were enrolled in this retrospective study. We analyzed after stratifying based on the height and BSA changes (< 5% change, 5%-14.9% change, and > 15% change in height and BSA) between measured GFR tests. The agreement between absolute mGFR and both BSA-indexed mGFR or eGFR was analyzed by Bland and Altman analysis and nonparametric Spearman's rank order correlation analysis.

RESULTS

The bias between absolute mGFR and either BSA-indexed mGFR or eGFR increased as the % change in height and the BSA increased. Spearman's rank order correlation showed a strong correlation when the BSA and height changes were < 5% and the correlation weakened as the % changes increased.

CONCLUSIONS

In children who grew more, the BSA-indexed mGFR dropped more than the absolute mGFR. We propose that a stable absolute mGFR can be used to infer stable allograft function in the presence of height growth.

摘要

背景

小儿肾移植受者会出现肌酐缓慢上升的情况,即血清肌酐随时间缓慢增加。在解释血清肌酐升高时,区分正常的生长相关变化和可能的移植肾功能障碍具有挑战性。我们假设,以体表面积(BSA)校正的测量肾小球滤过率(mGFR)或肌酐估算肾小球滤过率(eGFR)的变化可能无法真实反映移植后的肾功能,并且对于纵向随访而言,稳定的绝对mGFR更好。

方法

本回顾性研究共纳入了2000年至2021年间接受肾移植的115名小儿肾移植受者,共有319个测量的GFR值(每个受试者至少有2个值)。我们根据两次测量GFR之间身高和BSA的变化(身高和BSA变化<5%、5%-14.9%、>15%)进行分层分析。通过Bland和Altman分析以及非参数Spearman等级相关分析,分析绝对mGFR与以BSA校正的mGFR或eGFR之间的一致性。

结果

随着身高和BSA变化百分比的增加,绝对mGFR与以BSA校正的mGFR或eGFR之间的偏差增大。当BSA和身高变化<5%时,Spearman等级相关显示出强相关性,且随着变化百分比的增加相关性减弱。

结论

在生长较多的儿童中,以BSA校正的mGFR下降幅度大于绝对mGFR。我们建议,在存在身高增长的情况下,稳定的绝对mGFR可用于推断移植肾功能稳定。

https://cdn.ncbi.nlm.nih.gov/pmc/blobs/20f4/11671341/754a4c7f28bc/PETR-29-e14883-g001.jpg

文献检索

告别复杂PubMed语法,用中文像聊天一样搜索,搜遍4000万医学文献。AI智能推荐,让科研检索更轻松。

立即免费搜索

文件翻译

保留排版,准确专业,支持PDF/Word/PPT等文件格式,支持 12+语言互译。

免费翻译文档

深度研究

AI帮你快速写综述,25分钟生成高质量综述,智能提取关键信息,辅助科研写作。

立即免费体验