Suppr超能文献

苹果手表Series 9在测量静息及运动时能量消耗和心率方面的准确性:皮肤色素沉着的影响。

Accuracy of the Apple Watch Series 9 for Measures of Energy Expenditure and Heart Rate at Rest and During Exercise: Impact of Skin Pigmentation.

作者信息

Chase Sydney E, Liddell Rebecca G, McGonagle Chloe L, Ives Stephen J

机构信息

Health & Human Physiological Sciences, Skidmore College, Saratoga Springs, NY 12866, USA.

出版信息

J Funct Morphol Kinesiol. 2024 Dec 17;9(4):275. doi: 10.3390/jfmk9040275.

Abstract

BACKGROUND

The Apple Watch provides promising health data that could aid in increasing exercise adherence; regular exercise can help individuals manage and prevent diseases such as obesity and cardiovascular disease. However, the impact of skin pigmentation on the accuracy of the Apple Watch Series 9 for measures of energy expenditure (EE) and heart rate (HR) is unknown.

PURPOSE

The purpose of this study was to determine the accuracy of the Apple Watch Series 9 on various skin pigmentations for measures of EE and HR.

METHODS

Thirty young, healthy individuals were assigned to one of three groups based on their scores on the Fitzpatrick skin survey. Participants completed a 10 min treadmill protocol with varying speeds and inclines while wearing an Apple Watch Series 9, a two-way non-rebreathing mouthpiece connected to a Parvo Medics metabolic cart, and a Polar H7 chest strap to measure EE and HR.

RESULTS

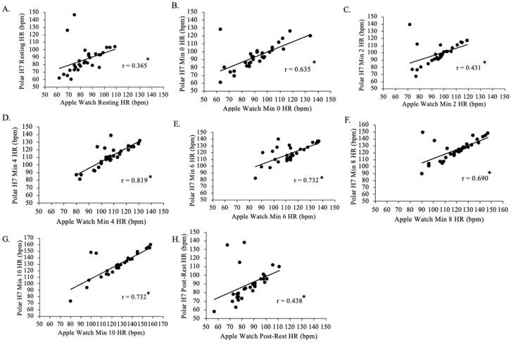
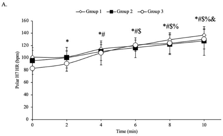
Overall, EE was found to be inconsistent for all skin pigmentation groups. However, for HR, the Apple Watch Series 9 was more variable (i.e., less accurate) for darker skin pigmentations compared to lighter skin pigmentations.

CONCLUSIONS

The Apple Watch Series 9 was found to vary in both EE and HR measures from criterion across intensity and skin pigmentation, with greater discrepancies for individuals in Group 3 for measures of HR. Further investigation might aim to study the impact of skin pigmentations and wrist subcutaneous fat on the accuracy of the latest Apple Watch Series 9 for measures of EE and HR.

摘要

背景

苹果手表能提供有前景的健康数据,有助于提高运动依从性;规律运动可帮助个体管理和预防肥胖及心血管疾病等疾病。然而,皮肤色素沉着对苹果手表Series 9测量能量消耗(EE)和心率(HR)准确性的影响尚不清楚。

目的

本研究旨在确定苹果手表Series 9在不同皮肤色素沉着情况下测量EE和HR的准确性。

方法

根据菲茨帕特里克皮肤调查得分,将30名年轻健康个体分为三组。参与者在佩戴苹果手表Series 9、连接到Parvo Medics代谢车的双向非重复呼吸口器以及用于测量EE和HR的Polar H7胸带的同时,完成了一项10分钟的跑步机测试,测试速度和坡度各不相同。

结果

总体而言,所有皮肤色素沉着组的EE测量结果都不一致。然而,对于HR,与较浅肤色相比,苹果手表Series 9在较深肤色个体中的测量结果变异性更大(即准确性更低)。

结论

研究发现,苹果手表Series 9在EE和HR测量方面,因强度和皮肤色素沉着不同而与标准存在差异,在第3组个体的HR测量中差异更大。进一步的研究可能旨在探讨皮肤色素沉着和手腕皮下脂肪对最新款苹果手表Series 9测量EE和HR准确性的影响。

https://cdn.ncbi.nlm.nih.gov/pmc/blobs/7ae1/11678767/ff0422686898/jfmk-09-00275-g001.jpg

文献AI研究员

20分钟写一篇综述,助力文献阅读效率提升50倍。

立即体验

用中文搜PubMed

大模型驱动的PubMed中文搜索引擎

马上搜索

文档翻译

学术文献翻译模型,支持多种主流文档格式。

立即体验