Suppr超能文献

心率手表的准确性:对体重管理的影响。

Accuracy of Heart Rate Watches: Implications for Weight Management.

作者信息

Wallen Matthew P, Gomersall Sjaan R, Keating Shelley E, Wisløff Ulrik, Coombes Jeff S

机构信息

Centre for Research on Exercise, Physical Activity and Health (CRExPAH), School of Human Movement and Nutrition Sciences, The University of Queensland, Brisbane, Queensland, Australia.

K.G. Jebsen Center of Exercise in Medicine, Department of Circulation and Medical Imaging, Norwegian University of Science and Technology, Trondheim, Norway.

出版信息

PLoS One. 2016 May 27;11(5):e0154420. doi: 10.1371/journal.pone.0154420. eCollection 2016.

Abstract

BACKGROUND

Wrist-worn monitors claim to provide accurate measures of heart rate and energy expenditure. People wishing to lose weight use these devices to monitor energy balance, however the accuracy of these devices to measure such parameters has not been established.

AIM

To determine the accuracy of four wrist-worn devices (Apple Watch, Fitbit Charge HR, Samsung Gear S and Mio Alpha) to measure heart rate and energy expenditure at rest and during exercise.

METHODS

Twenty-two healthy volunteers (50% female; aged 24 ± 5.6 years) completed ~1-hr protocols involving supine and seated rest, walking and running on a treadmill and cycling on an ergometer. Data from the devices collected during the protocol were compared with reference methods: electrocardiography (heart rate) and indirect calorimetry (energy expenditure).

RESULTS

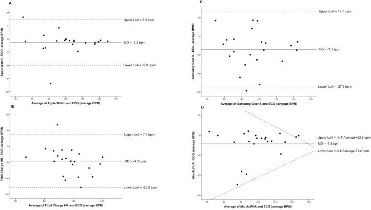
None of the devices performed significantly better overall, however heart rate was consistently more accurate than energy expenditure across all four devices. Correlations between the devices and reference methods were moderate to strong for heart rate (0.67-0.95 [0.35 to 0.98]) and weak to strong for energy expenditure (0.16-0.86 [-0.25 to 0.95]). All devices underestimated both outcomes compared to reference methods. The percentage error for heart rate was small across the devices (range: 1-9%) but greater for energy expenditure (9-43%). Similarly, limits of agreement were considerably narrower for heart rate (ranging from -27.3 to 13.1 bpm) than energy expenditure (ranging from -266.7 to 65.7 kcals) across devices.

CONCLUSION

These devices accurately measure heart rate. However, estimates of energy expenditure are poor and would have implications for people using these devices for weight loss.

摘要

背景

腕戴式监测器宣称能准确测量心率和能量消耗。希望减肥的人使用这些设备来监测能量平衡,然而这些设备测量此类参数的准确性尚未得到证实。

目的

确定四种腕戴式设备(苹果手表、Fitbit Charge HR、三星Gear S和Mio Alpha)在静息和运动期间测量心率和能量消耗的准确性。

方法

22名健康志愿者(50%为女性;年龄24±5.6岁)完成了约1小时的方案,包括仰卧和坐姿休息、在跑步机上行走和跑步以及在测力计上骑行。将方案期间从设备收集的数据与参考方法进行比较:心电图(心率)和间接量热法(能量消耗)。

结果

总体而言,没有一种设备表现得明显更好,然而在所有四种设备中,心率始终比能量消耗更准确。设备与参考方法之间的相关性对于心率为中度至强(0.67 - 0.95 [0.35至0.98]),对于能量消耗为弱至强(0.16 - 0.86 [-0.25至0.95])。与参考方法相比,所有设备都低估了这两个结果。心率的百分比误差在各设备中较小(范围:1 - 9%),但能量消耗的百分比误差更大(9 - 43%)。同样,各设备中心率的一致性界限(范围为 - 27.3至13.1次/分钟)比能量消耗的一致性界限(范围为 - 266.7至65.7千卡)窄得多。

结论

这些设备能准确测量心率。然而,能量消耗的估计值较差,这将对使用这些设备减肥的人产生影响。

https://cdn.ncbi.nlm.nih.gov/pmc/blobs/dc2b/4883747/b0226a1b1e19/pone.0154420.g001.jpg

文献AI研究员

20分钟写一篇综述,助力文献阅读效率提升50倍。

立即体验

用中文搜PubMed

大模型驱动的PubMed中文搜索引擎

马上搜索

文档翻译

学术文献翻译模型,支持多种主流文档格式。

立即体验