Suppr超能文献

电热水器水箱中水体微生物群落的垂直分层:对住宅管道机会致病菌的影响

Vertical stratification of the water microbiome in an electric water heater tank: implications for premise plumbing opportunistic pathogens.

作者信息

Gomez-Alvarez Vicente, Ryu Hodon, McNeely Morgan, Muhlen Christy, Williams Daniel, Lytle Darren, Boczek Laura

机构信息

US Environmental Protection Agency, Office of Research and Development, Cincinnati, OH 45268, USA E-mail:

US Environmental Protection Agency, Office of Research and Development, Cincinnati, OH 45268, USA.

出版信息

J Water Health. 2024 Dec;22(12):2346-2357. doi: 10.2166/wh.2024.265. Epub 2024 Nov 21.

Abstract

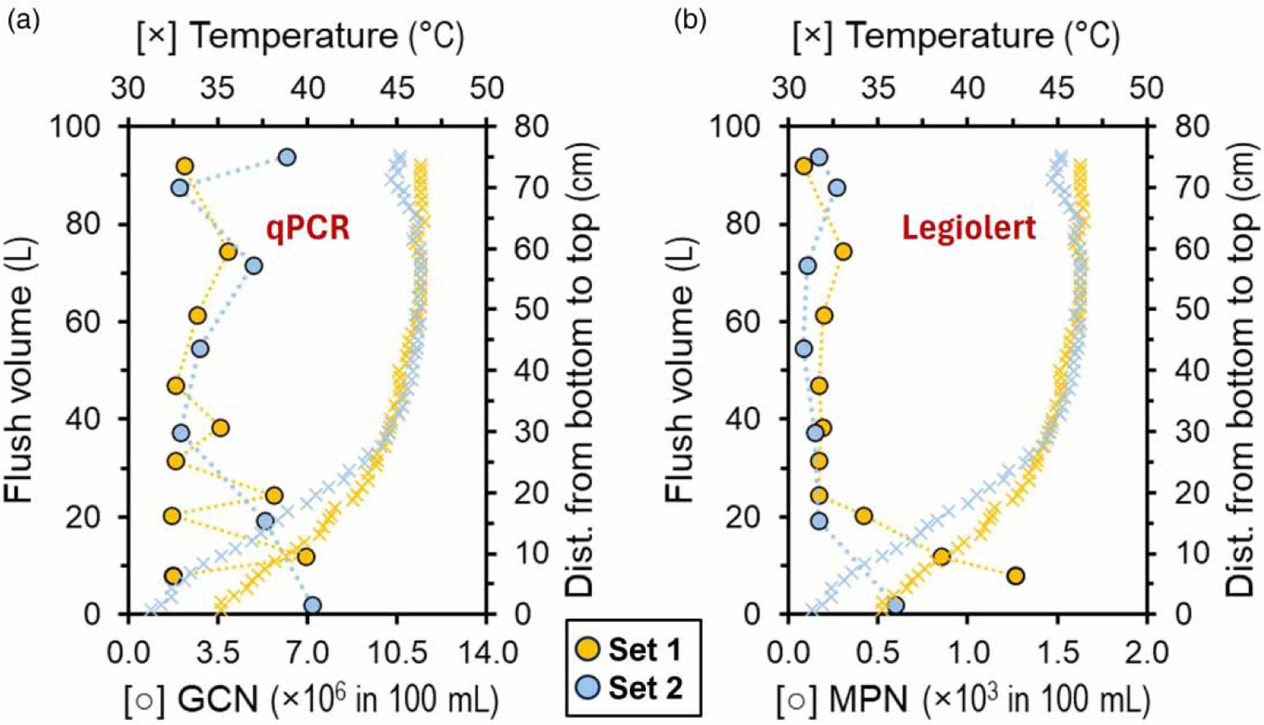
Hot water systems are the most frequent environment associated with the prevalence and growth of opportunistic premise plumbing pathogens (OPPPs). Previous studies identified water heaters as a source of waterborne diseases and concluded that design variables may contribute to their prevalence. A multifaceted approach was used to investigate the vertical stratification of the microbiome and selected OPPPs in an electric water heater tank connected to a home plumbing system simulator. Results show that the microbiome is highly diverse with evidence of temperature stratification and temporal structuring influenced by the partial drainage of the tank. Representatives of the spp. were the most prevalent taxa, followed by spp., and a relatively low prevalence of . Higher concentrations of at the bottom of the tank indicated the potential growth and protection of this opportunistic pathogen at this location. Overall, partial drainage of the water tank (60% of the tank capacity) did not significantly mitigate the microbiome and selected OPPPs. The outcome of this study sheds light on the role of vertical stratification on water quality and demonstrates the resilience of the microbial community residing in an electric water heater tank and the implications for public health.

摘要

热水系统是与机会性建筑管道病原体(OPPPs)的流行和生长相关的最常见环境。先前的研究将热水器确定为水源性疾病的一个来源,并得出结论,设计变量可能导致其流行。采用多方面的方法来研究连接到家庭管道系统模拟器的电热水器水箱中微生物群落和选定的OPPPs的垂直分层情况。结果表明,微生物群落高度多样化,有温度分层的证据,并且受水箱部分排水影响存在时间结构。 属的代表是最普遍的分类群,其次是 属,而 属的流行率相对较低。水箱底部较高浓度的 表明这种机会性病原体在该位置有潜在的生长和保护。总体而言,水箱的部分排水(水箱容量的60%)并没有显著减轻微生物群落和选定的OPPPs。这项研究的结果揭示了垂直分层对水质的作用,并证明了电热水器水箱中微生物群落的恢复力及其对公共卫生的影响。

https://cdn.ncbi.nlm.nih.gov/pmc/blobs/4be4/11880899/08deab54d93b/nihms-2054967-f0002.jpg

文献检索

告别复杂PubMed语法,用中文像聊天一样搜索,搜遍4000万医学文献。AI智能推荐,让科研检索更轻松。

立即免费搜索

文件翻译

保留排版,准确专业,支持PDF/Word/PPT等文件格式,支持 12+语言互译。

免费翻译文档

深度研究

AI帮你快速写综述,25分钟生成高质量综述,智能提取关键信息,辅助科研写作。

立即免费体验