Suppr超能文献

喹啉基双腙衍生物的设计、合成、抗癌活性及分子对接

Design, synthesis, anticancer activity and molecular docking of quinoline-based dihydrazone derivatives.

作者信息

Lu Jia-Xing, Lan Hai-Rong, Zeng Dai, Song Jun-Ying, Hao Ya-Ting, Xing Ai-Ping, Shen Ao, Yuan Juan

机构信息

School of Pharmacy, Henan University of Chinese Medicine Zhengzhou 450046 China

Academy of Chinese Medical Sciences, Henan University of Chinese Medicine Zhengzhou 450046 China.

出版信息

RSC Adv. 2025 Jan 2;15(1):231-243. doi: 10.1039/d4ra06954d.

Abstract

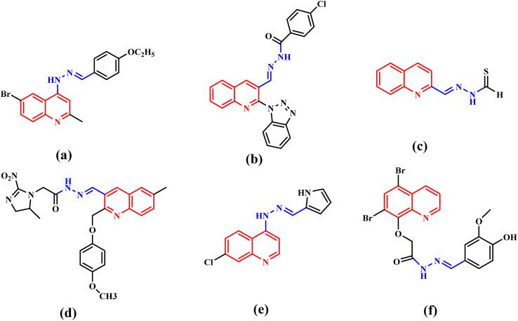
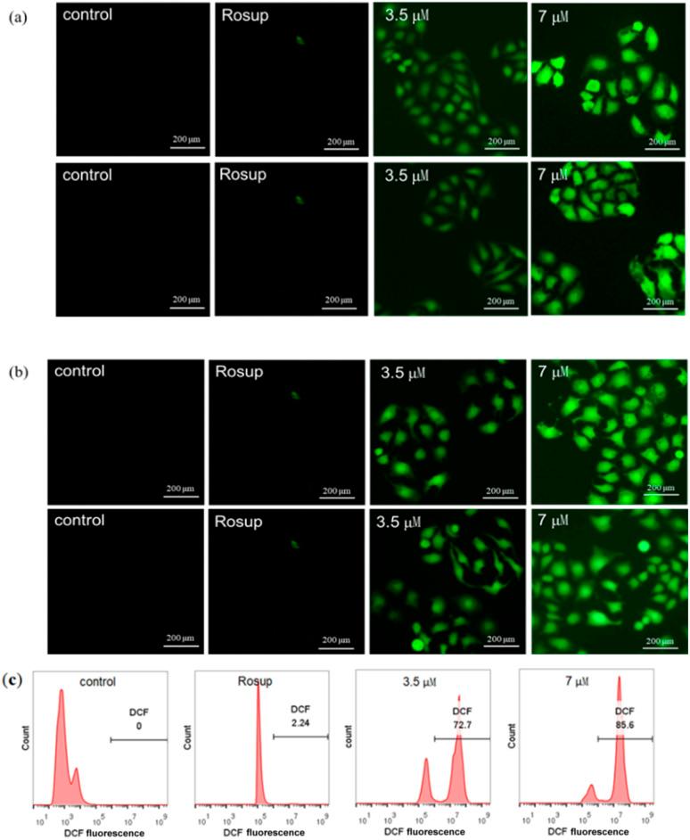
Based on the biologically active heterocycle quinoline, we successfully synthesized a series of quinoline-based dihydrazone derivatives (3a-3d). H NMR, C NMR, ESI-HRMS, IR, element analysis, UV/Vis spectroscopy and fluorescence spectroscopy were performed to comprehensively characterize their chemical structures, spectral properties and stability. Nitrosamine impurities were not detected in 3a-3d, and the systemic toxicological assessment indicated that the toxicity of 3a-3d was lower. Furthermore, their anticancer activity was evaluated by MTT, AO/EB double staining, apoptosis detection and ROS detection. The time-dependent UV/Vis spectra revealed that 3a-3d had good stability in solution. For all the newly synthesized compounds, cytotoxic activities were carried out against human gastric cancer cell line BGC-823, human hepatoma cell line BEL-7402, human breast cancer cell line MCF-7 and human lung adenocarcinoma cell line A549 as well as human normal liver cell line HL-7702. MTT assay indicated that all the tested compounds exhibited important antiproliferative activity against selected cancer cell lines with IC values ranging from 7.01 to 34.32 μM, while none of them had obvious cytotoxic activity to human normal liver cell line HL-7702. Further, the most potent compound 3c displayed stronger antiproliferative activity against all the selected cancer cell lines than the clinically used anticancer agent 5-FU. Especially, 3b and 3c displayed cytotoxic activity against MCF-7 cells with IC values of 7.016 μM and 7.05 μM, respectively. AO/EB double staining, flow cytometry and ROS detection suggested that 3b and 3c could induce MCF-7 cell apoptosis in a dose-dependent manner. Molecular docking suggests that 3b and 3c could bind with DNA partial insertion. Additionally, molecular docking also suggests that CDK2 may be one of the targets for 3b and 3c. In a word, 3b and 3c could be suitable candidates for further investigation as chemotherapeutic agents in cancer treatment.

摘要

基于具有生物活性的杂环喹啉,我们成功合成了一系列喹啉基双腙衍生物(3a - 3d)。进行了¹H NMR、¹³C NMR、电喷雾高分辨质谱(ESI - HRMS)、红外光谱(IR)、元素分析、紫外/可见光谱(UV/Vis)和荧光光谱分析,以全面表征其化学结构、光谱性质和稳定性。在3a - 3d中未检测到亚硝胺杂质,全身毒理学评估表明3a - 3d的毒性较低。此外,通过MTT法、AO/EB双染法、凋亡检测和活性氧(ROS)检测对其抗癌活性进行了评估。时间依赖性紫外/可见光谱表明3a - 3d在溶液中具有良好的稳定性。对于所有新合成的化合物,针对人胃癌细胞系BGC - 823、人肝癌细胞系BEL - 7402、人乳腺癌细胞系MCF - 7、人肺腺癌细胞系A549以及人正常肝细胞系HL - 7702进行了细胞毒性活性测试。MTT法表明,所有测试化合物对所选癌细胞系均表现出重要的抗增殖活性,IC值范围为7.01至34.32 μM,而它们对人正常肝细胞系HL - 7702均无明显细胞毒性活性。此外,最有效的化合物3c对所有所选癌细胞系显示出比临床使用的抗癌药物5 - 氟尿嘧啶更强的抗增殖活性。特别是,3b和3c对MCF - 7细胞表现出细胞毒性活性,IC值分别为7.016 μM和7.05 μM。AO/EB双染法、流式细胞术和ROS检测表明,3b和

https://cdn.ncbi.nlm.nih.gov/pmc/blobs/b63a/11694625/4d9d3f72977f/d4ra06954d-f1.jpg

文献检索

告别复杂PubMed语法,用中文像聊天一样搜索,搜遍4000万医学文献。AI智能推荐,让科研检索更轻松。

立即免费搜索

文件翻译

保留排版,准确专业,支持PDF/Word/PPT等文件格式,支持 12+语言互译。

免费翻译文档

深度研究

AI帮你快速写综述,25分钟生成高质量综述,智能提取关键信息,辅助科研写作。

立即免费体验