• 文献检索
  • 文档翻译
  • 深度研究
  • 学术资讯
  • Suppr Zotero 插件Zotero 插件
  • 邀请有礼
  • 套餐&价格
  • 历史记录
应用&插件
Suppr Zotero 插件Zotero 插件浏览器插件Mac 客户端Windows 客户端微信小程序
定价
高级版会员购买积分包购买API积分包
服务
文献检索文档翻译深度研究API 文档MCP 服务
关于我们
关于 Suppr公司介绍联系我们用户协议隐私条款
关注我们

Suppr 超能文献

核心技术专利:CN118964589B侵权必究
粤ICP备2023148730 号-1Suppr @ 2026

文献检索

告别复杂PubMed语法,用中文像聊天一样搜索,搜遍4000万医学文献。AI智能推荐,让科研检索更轻松。

立即免费搜索

文件翻译

保留排版,准确专业,支持PDF/Word/PPT等文件格式,支持 12+语言互译。

免费翻译文档

深度研究

AI帮你快速写综述,25分钟生成高质量综述,智能提取关键信息,辅助科研写作。

立即免费体验

土壤与肠道微生物群之间的关系影响柴达木盆地鹅喉羚的适应策略。

The Relationship Between Soil and Gut Microbiota Influences the Adaptive Strategies of Goitered Gazelles in the Qaidam Basin.

作者信息

Wang Yiran, Li Bin, Xu Bo, Qin Wen

机构信息

State Key Laboratory of Plateau Ecology and Agriculture, Qinghai University, Xining 810016, China.

School of Ecological and Environmental Engineering, Qinghai University, Xining 810016, China.

出版信息

Animals (Basel). 2024 Dec 15;14(24):3621. doi: 10.3390/ani14243621.

DOI:10.3390/ani14243621
PMID:39765525
原文链接:https://pmc.ncbi.nlm.nih.gov/articles/PMC11672517/
Abstract

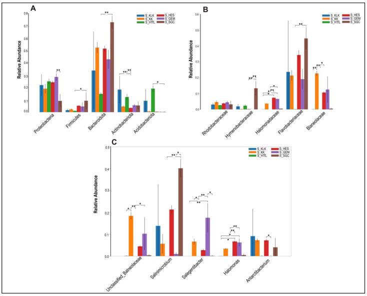
The gut microbiota is integral to the health and adaptability of wild herbivores. Interactions with soil microbiota can shape the composition and function of the gut microbiota, thereby influencing the hosts' adaptive strategies. As a result, soil microbiota plays a pivotal role in enabling wild herbivores to thrive in extreme environments. However, the influence of soil microbiota from distinct regions on host's gut microbiota has often been overlooked. We conducted the first comprehensive analysis of the composition and diversity of gut and soil microbiota in goitered gazelles across six regions in the Qaidam Basin, utilizing source tracking and ecological assembly process analyses. Significant differences were observed in the composition and diversity of soil and gut microbiota among the six groups. Source tracking analysis revealed that soil microbiota in the GangciGC (GC) group contributed the highest proportion to fecal microbiota (8.94%), while the Huaitoutala (HTTL) group contributed the lowest proportion (1.80%). The GC group also exhibited the lowest α-diversity in gut microbiota. The observed differences in gut microbial composition and diversity among goitered gazelles from six regions in the Qaidam Basin were closely tied to their adaptive strategies. Ecological assembly process analysis indicated that the gut microbiota were primarily influenced by stochastic processes, whereas deterministic processes dominated most soil microbial groups. Both the differences and commonalities in gut and soil microbiota play essential roles in enabling these gazelles to adapt to diverse environments. Notably, the utilization pattern of soil microbiota by gut microbiota did not align with regional trends in gut microbial α-diversity. This discrepancy may be attributed to variations in environmental pressures and the gut's filtering capacity, allowing gazelles to selectively acquire microbiota from soil to maintain homeostasis. This study highlights the significant regional variation in gut and soil microbiota diversity among goitered gazelle populations in the Qaidam Basin and underscores the critical role of soil-derived microbiota in their environmental adaptation.

摘要

肠道微生物群对于野生食草动物的健康和适应能力至关重要。与土壤微生物群的相互作用可以塑造肠道微生物群的组成和功能,从而影响宿主的适应策略。因此,土壤微生物群在使野生食草动物在极端环境中茁壮成长方面发挥着关键作用。然而,不同地区的土壤微生物群对宿主肠道微生物群的影响常常被忽视。我们首次对柴达木盆地六个地区的鹅喉羚肠道和土壤微生物群的组成和多样性进行了全面分析,采用了溯源分析和生态组装过程分析。六个组的土壤和肠道微生物群在组成和多样性上存在显著差异。溯源分析表明,尕斯库勒(GC)组的土壤微生物群对粪便微生物群的贡献比例最高(8.94%),而怀头他拉(HTTL)组的贡献比例最低(1.80%)。GC组的肠道微生物群α多样性也最低。柴达木盆地六个地区的鹅喉羚肠道微生物组成和多样性的差异与它们的适应策略密切相关。生态组装过程分析表明,肠道微生物群主要受随机过程影响,而确定性过程在大多数土壤微生物类群中占主导地位。肠道和土壤微生物群的差异和共性在使这些羚羊适应不同环境方面都起着重要作用。值得注意的是,肠道微生物群对土壤微生物群的利用模式与肠道微生物α多样性的区域趋势不一致。这种差异可能归因于环境压力和肠道过滤能力的变化,使鹅喉羚能够选择性地从土壤中获取微生物群以维持体内平衡。这项研究突出了柴达木盆地鹅喉羚种群肠道和土壤微生物群多样性的显著区域差异,并强调了土壤来源的微生物群在它们环境适应中的关键作用。

https://cdn.ncbi.nlm.nih.gov/pmc/blobs/d399/11672517/967c64a23b70/animals-14-03621-g010.jpg
https://cdn.ncbi.nlm.nih.gov/pmc/blobs/d399/11672517/d55ba51df841/animals-14-03621-g001.jpg
https://cdn.ncbi.nlm.nih.gov/pmc/blobs/d399/11672517/6fea4ac72524/animals-14-03621-g002.jpg
https://cdn.ncbi.nlm.nih.gov/pmc/blobs/d399/11672517/8027faa5deaa/animals-14-03621-g003.jpg
https://cdn.ncbi.nlm.nih.gov/pmc/blobs/d399/11672517/0279dd927f2f/animals-14-03621-g004.jpg
https://cdn.ncbi.nlm.nih.gov/pmc/blobs/d399/11672517/be3c7b30362d/animals-14-03621-g005.jpg
https://cdn.ncbi.nlm.nih.gov/pmc/blobs/d399/11672517/25e9dccc4992/animals-14-03621-g006.jpg
https://cdn.ncbi.nlm.nih.gov/pmc/blobs/d399/11672517/1828dd674d97/animals-14-03621-g007.jpg
https://cdn.ncbi.nlm.nih.gov/pmc/blobs/d399/11672517/46d20543c8e1/animals-14-03621-g008.jpg
https://cdn.ncbi.nlm.nih.gov/pmc/blobs/d399/11672517/33d144c57952/animals-14-03621-g009.jpg
https://cdn.ncbi.nlm.nih.gov/pmc/blobs/d399/11672517/967c64a23b70/animals-14-03621-g010.jpg
https://cdn.ncbi.nlm.nih.gov/pmc/blobs/d399/11672517/d55ba51df841/animals-14-03621-g001.jpg
https://cdn.ncbi.nlm.nih.gov/pmc/blobs/d399/11672517/6fea4ac72524/animals-14-03621-g002.jpg
https://cdn.ncbi.nlm.nih.gov/pmc/blobs/d399/11672517/8027faa5deaa/animals-14-03621-g003.jpg
https://cdn.ncbi.nlm.nih.gov/pmc/blobs/d399/11672517/0279dd927f2f/animals-14-03621-g004.jpg
https://cdn.ncbi.nlm.nih.gov/pmc/blobs/d399/11672517/be3c7b30362d/animals-14-03621-g005.jpg
https://cdn.ncbi.nlm.nih.gov/pmc/blobs/d399/11672517/25e9dccc4992/animals-14-03621-g006.jpg
https://cdn.ncbi.nlm.nih.gov/pmc/blobs/d399/11672517/1828dd674d97/animals-14-03621-g007.jpg
https://cdn.ncbi.nlm.nih.gov/pmc/blobs/d399/11672517/46d20543c8e1/animals-14-03621-g008.jpg
https://cdn.ncbi.nlm.nih.gov/pmc/blobs/d399/11672517/33d144c57952/animals-14-03621-g009.jpg
https://cdn.ncbi.nlm.nih.gov/pmc/blobs/d399/11672517/967c64a23b70/animals-14-03621-g010.jpg

相似文献

1
The Relationship Between Soil and Gut Microbiota Influences the Adaptive Strategies of Goitered Gazelles in the Qaidam Basin.土壤与肠道微生物群之间的关系影响柴达木盆地鹅喉羚的适应策略。
Animals (Basel). 2024 Dec 15;14(24):3621. doi: 10.3390/ani14243621.
2
Seasonal and Soil Microbiota Effects on the Adaptive Strategies of Wild Goitered Gazelles Based on the Gut Microbiota.基于肠道微生物群的季节性和土壤微生物群对野生鹅喉羚适应策略的影响
Front Microbiol. 2022 Jul 4;13:918090. doi: 10.3389/fmicb.2022.918090. eCollection 2022.
3
Gut Microbiota Plasticity Influences the Adaptability of Wild and Domestic Animals in Co-inhabited Areas.肠道微生物群的可塑性影响野生和家养动物在共同栖息区域的适应性。
Front Microbiol. 2020 Feb 7;11:125. doi: 10.3389/fmicb.2020.00125. eCollection 2020.
4
Seasonal Diet Composition of Goitered Gazelle () in an Arid and Semi-Arid Region of Western China.中国西部干旱半干旱地区鹅喉羚的季节性饮食组成
Animals (Basel). 2024 Feb 20;14(5):663. doi: 10.3390/ani14050663.
5
Morphological diversity and ecological niche divergence in goitered and sand gazelles.鹅喉羚和沙羚的形态多样性与生态位分化
Ecol Evol. 2020 Sep 19;10(20):11535-11548. doi: 10.1002/ece3.6789. eCollection 2020 Oct.
6
Variations in soil microbial communities in different saline soils under typical Populus spp. vegetation in alpine region of the Qaidam Basin, NW China.中国柴达木盆地高寒地区典型胡杨属植被下不同盐渍土壤中土壤微生物群落的变化。
Ecotoxicol Environ Saf. 2024 Sep 1;282:116747. doi: 10.1016/j.ecoenv.2024.116747. Epub 2024 Jul 17.
7
Gut microbiota non-convergence and adaptations in sympatric Tibetan and Przewalski's gazelles.同域分布的藏羚羊和普氏原羚肠道微生物群的非趋同与适应性
iScience. 2024 Feb 6;27(3):109117. doi: 10.1016/j.isci.2024.109117. eCollection 2024 Mar 15.
8
Gut microbiota of ring-tailed lemurs (Lemur catta) vary across natural and captive populations and correlate with environmental microbiota.环尾狐猴(Lemur catta)的肠道微生物群在自然种群和圈养种群中存在差异,并与环境微生物群相关。
Anim Microbiome. 2022 Apr 28;4(1):29. doi: 10.1186/s42523-022-00176-x.
9
Escaping behavior in goitered gazelle.鹅喉羚的逃避行为。
Behav Processes. 2018 Feb;147:38-47. doi: 10.1016/j.beproc.2017.12.021. Epub 2017 Dec 21.
10
Activity behavior of goitered gazelles in an arid environment.干旱环境中羚羊的活动行为。
Behav Processes. 2023 Jan;204:104804. doi: 10.1016/j.beproc.2022.104804. Epub 2022 Dec 21.

引用本文的文献

1
The Gut Microbial Adaptation of Wild Goitered Gazelles Under Antibiotic Pressure in the Qaidam Basin.柴达木盆地野生鹅喉羚在抗生素压力下的肠道微生物适应性
Microorganisms. 2025 Aug 7;13(8):1842. doi: 10.3390/microorganisms13081842.

本文引用的文献

1
Gut microbiota non-convergence and adaptations in sympatric Tibetan and Przewalski's gazelles.同域分布的藏羚羊和普氏原羚肠道微生物群的非趋同与适应性
iScience. 2024 Feb 6;27(3):109117. doi: 10.1016/j.isci.2024.109117. eCollection 2024 Mar 15.
2
Global assembly of microbial communities.微生物群落的全球组装。
mSystems. 2023 Jun 29;8(3):e0128922. doi: 10.1128/msystems.01289-22. Epub 2023 May 17.
3
Seasonal and Soil Microbiota Effects on the Adaptive Strategies of Wild Goitered Gazelles Based on the Gut Microbiota.基于肠道微生物群的季节性和土壤微生物群对野生鹅喉羚适应策略的影响
Front Microbiol. 2022 Jul 4;13:918090. doi: 10.3389/fmicb.2022.918090. eCollection 2022.
4
Comparative Analysis of Gut Microbial Composition and Functions in Przewalski's Gazelle () From Various Habitats.不同栖息地普氏原羚肠道微生物组成与功能的比较分析
Front Microbiol. 2022 Jun 8;13:913358. doi: 10.3389/fmicb.2022.913358. eCollection 2022.
5
Comparative Analysis of the Gut Microbiota of Mongolian Gazelle () Under Fragmented Habitats.破碎化栖息地条件下鹅喉羚肠道微生物群的比较分析
Front Microbiol. 2022 Mar 9;13:830321. doi: 10.3389/fmicb.2022.830321. eCollection 2022.
6
Captivity Shifts Gut Microbiota Communities in White-Lipped Deer ().圈养改变白唇鹿的肠道微生物群落()。 (括号部分原文缺失具体内容)
Animals (Basel). 2022 Feb 11;12(4):431. doi: 10.3390/ani12040431.
7
Seasonal variations in the composition and functional profiles of gut microbiota reflect dietary changes in plateau pikas.高原鼠兔肠道微生物群落组成和功能多样性的季节性变化反映了其饮食的变化。
Integr Zool. 2022 May;17(3):379-395. doi: 10.1111/1749-4877.12630. Epub 2022 Feb 17.
8
Microbial Biogeography along the Gastrointestinal Tract Segments of Sympatric Subterranean Rodents ( and ).同域地下啮齿动物胃肠道各段的微生物生物地理学(以及) 。 你提供的原文括号里内容不完整,这可能会影响对整体准确意思的理解。
Animals (Basel). 2021 Nov 18;11(11):3297. doi: 10.3390/ani11113297.
9
RESCRIPt: Reproducible sequence taxonomy reference database management.RESCIPT:可重复序列分类法参考数据库管理。
PLoS Comput Biol. 2021 Nov 8;17(11):e1009581. doi: 10.1371/journal.pcbi.1009581. eCollection 2021 Nov.
10
Plant-microbiome interactions: from community assembly to plant health.植物-微生物组相互作用:从群落组装到植物健康。
Nat Rev Microbiol. 2020 Nov;18(11):607-621. doi: 10.1038/s41579-020-0412-1. Epub 2020 Aug 12.