Suppr超能文献

用于基态和激发态交叉点的广义耦合簇理论。

Generalized Coupled Cluster Theory for Ground and Excited State Intersections.

作者信息

Rossi Federico, Kjønstad Eirik F, Angelico Sara, Koch Henrik

机构信息

Department of Chemistry, Norwegian University of Science and Technology, NTNU, 7491 Trondheim, Norway.

出版信息

J Phys Chem Lett. 2025 Jan 16;16(2):568-578. doi: 10.1021/acs.jpclett.4c03276. Epub 2025 Jan 7.

Abstract

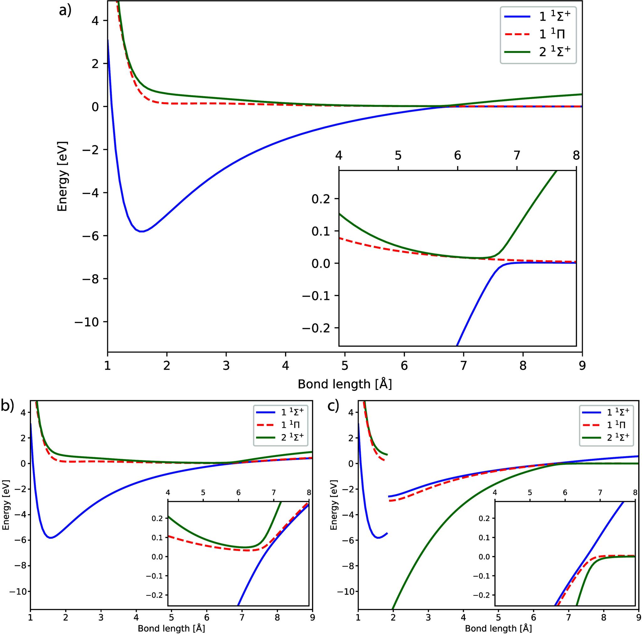
Coupled cluster theory in the standard formulation is unable to correctly describe conical intersections among states of the same symmetry. This limitation has restricted the practical application of an otherwise highly accurate electronic structure model, particularly in nonadiabatic dynamics. Recently, the intersection problem among the excited states was fully characterized and resolved. However, intersections with the ground state remain an open challenge, and addressing this problem is our objective here. We present a generalized coupled cluster framework that correctly accounts for the geometric phase effect and avoids bifurcations of the solutions to the ground state equations. Several applications are presented that demonstrate the correct description of ground state conical intersections. We also propose how the framework can be used for other electronic-structure methods.

摘要

标准形式的耦合簇理论无法正确描述相同对称性状态之间的锥形交叉。这一限制阻碍了这种原本高度精确的电子结构模型的实际应用,特别是在非绝热动力学方面。最近,激发态之间的交叉问题已得到充分表征和解决。然而,与基态的交叉仍然是一个悬而未决的挑战,解决这个问题是我们这里的目标。我们提出了一个广义耦合簇框架,该框架正确地考虑了几何相位效应,并避免了基态方程解的分岔。给出了几个应用实例,证明了对基态锥形交叉的正确描述。我们还提出了该框架如何用于其他电子结构方法。

https://cdn.ncbi.nlm.nih.gov/pmc/blobs/ecdd/11744793/4dca864aae8e/jz4c03276_0001.jpg

相似文献

1
Generalized Coupled Cluster Theory for Ground and Excited State Intersections.
J Phys Chem Lett. 2025 Jan 16;16(2):568-578. doi: 10.1021/acs.jpclett.4c03276. Epub 2025 Jan 7.
3
Up to a Sign. The Insidious Effects of Energetically Inaccessible Conical Intersections on Unimolecular Reactions.
Acc Chem Res. 2019 Feb 19;52(2):501-509. doi: 10.1021/acs.accounts.8b00571. Epub 2019 Feb 1.
6
Resolving the Notorious Case of Conical Intersections for Coupled Cluster Dynamics.
J Phys Chem Lett. 2017 Oct 5;8(19):4801-4807. doi: 10.1021/acs.jpclett.7b02118. Epub 2017 Sep 21.
7
On the Topological Phase around Conical Intersections with Tamm-Dancoff Linear-Response Time-Dependent Density Functional Theory.
J Phys Chem A. 2024 Jul 11;128(27):5314-5320. doi: 10.1021/acs.jpca.4c02503. Epub 2024 Jun 25.
8
Geometric phase in coupled cluster theory.
J Chem Phys. 2023 Jun 7;158(21). doi: 10.1063/5.0151856.
9
Conical Intersections from Particle-Particle Random Phase and Tamm-Dancoff Approximations.
J Phys Chem Lett. 2016 Jul 7;7(13):2407-11. doi: 10.1021/acs.jpclett.6b00936. Epub 2016 Jun 15.
10
Signatures of a Conical Intersection in Adiabatic Dissociation on the Ground Electronic State.
J Am Chem Soc. 2018 Feb 14;140(6):1986-1989. doi: 10.1021/jacs.7b11489. Epub 2018 Feb 5.

引用本文的文献

本文引用的文献

2
Photoinduced hydrogen dissociation in thymine predicted by coupled cluster theory.
Nat Commun. 2024 Nov 22;15(1):10128. doi: 10.1038/s41467-024-54436-2.
3
Exploring Ground and Excited States Via Single Reference Coupled-Cluster Theory and Algebraic Geometry.
J Chem Theory Comput. 2024 Oct 8;20(19):8517-8528. doi: 10.1021/acs.jctc.4c00644. Epub 2024 Sep 17.
5
On the Topological Phase around Conical Intersections with Tamm-Dancoff Linear-Response Time-Dependent Density Functional Theory.
J Phys Chem A. 2024 Jul 11;128(27):5314-5320. doi: 10.1021/acs.jpca.4c02503. Epub 2024 Jun 25.
7
Calculations of Excited Electronic States by Converging on Saddle Points Using Generalized Mode Following.
J Chem Theory Comput. 2023 Jun 27;19(12):3634-3651. doi: 10.1021/acs.jctc.3c00178. Epub 2023 Jun 7.
8
Geometric phase in coupled cluster theory.
J Chem Phys. 2023 Jun 7;158(21). doi: 10.1063/5.0151856.
10
Electronic Structure Methods for the Description of Nonadiabatic Effects and Conical Intersections.
Chem Rev. 2021 Aug 11;121(15):9407-9449. doi: 10.1021/acs.chemrev.1c00074. Epub 2021 Jun 22.

文献AI研究员

20分钟写一篇综述,助力文献阅读效率提升50倍。

立即体验

用中文搜PubMed

大模型驱动的PubMed中文搜索引擎

马上搜索

文档翻译

学术文献翻译模型,支持多种主流文档格式。

立即体验