Suppr超能文献

从假环型到大环离子载体:环化莫能菌素衍生物的合成策略

From Pseudocyclic to Macrocyclic Ionophores: Strategies toward the Synthesis of Cyclic Monensin Derivatives.

作者信息

Sulik Michał, Graniczny Robert, Janczak Jan, Kłopotowska Dagmara, Wietrzyk Joanna, Huczyński Adam

机构信息

Department of Medical Chemistry, Faculty of Chemistry, Adam Mickiewicz University, Uniwersytetu Poznańskiego 8, 61-614 Poznań, Poland.

Institute of Low Temperature and Structure Research, Polish Academy of Sciences, Okólna 2, Wrocław 50-422, Poland.

出版信息

J Org Chem. 2025 Jan 24;90(3):1344-1353. doi: 10.1021/acs.joc.4c02715. Epub 2025 Jan 10.

Abstract

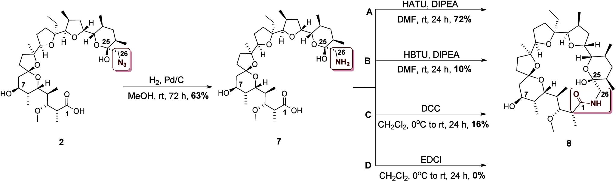
There has been a long search for a simple preparation of new cyclic analogues of ionophore antibiotics. We report a simple and general synthesis of three new cyclic derivatives of polyether ionophore, monensin A (MON). The application of the Huisgen 1,3-dipolar cycloaddition of azides and terminal alkynes to macrocyclization results in a concise, synthetic route to monensin lacton or lactam in only 4 steps. Additionally, macrolactamization by a simple amidation reaction using HATU, a commonly used conjugating agent, gives 72% yields and utilizes neither high dilution techniques nor template effects in the cyclization step. This in turn enables ready access to a range of unnatural MON analogues, showing the ability to form complexes with monovalent and divalent metal cations.

摘要

长期以来,人们一直在寻找一种简单的方法来制备离子载体抗生素的新型环状类似物。我们报道了一种简单通用的合成方法,用于合成聚醚离子载体莫能菌素A(MON)的三种新型环状衍生物。将叠氮化物和末端炔烃的惠斯根1,3-偶极环加成反应应用于大环化反应,可得到一条简洁的合成路线,仅需4步就能合成莫能菌素内酯或内酰胺。此外,使用常用的偶联剂HATU通过简单的酰胺化反应进行大环内酰胺化反应,产率为72%,并且在环化步骤中既不使用高稀释技术也不利用模板效应。这反过来又使得能够方便地获得一系列非天然的MON类似物,这些类似物显示出与单价和二价金属阳离子形成络合物的能力。

https://cdn.ncbi.nlm.nih.gov/pmc/blobs/6fb6/11773414/72408316c047/jo4c02715_0001.jpg

文献检索

告别复杂PubMed语法,用中文像聊天一样搜索,搜遍4000万医学文献。AI智能推荐,让科研检索更轻松。

立即免费搜索

文件翻译

保留排版,准确专业,支持PDF/Word/PPT等文件格式,支持 12+语言互译。

免费翻译文档

深度研究

AI帮你快速写综述,25分钟生成高质量综述,智能提取关键信息,辅助科研写作。

立即免费体验