• 文献检索
  • 文档翻译
  • 深度研究
  • 学术资讯
  • Suppr Zotero 插件Zotero 插件
  • 邀请有礼
  • 套餐&价格
  • 历史记录
应用&插件
Suppr Zotero 插件Zotero 插件浏览器插件Mac 客户端Windows 客户端微信小程序
定价
高级版会员购买积分包购买API积分包
服务
文献检索文档翻译深度研究API 文档MCP 服务
关于我们
关于 Suppr公司介绍联系我们用户协议隐私条款
关注我们

Suppr 超能文献

核心技术专利:CN118964589B侵权必究
粤ICP备2023148730 号-1Suppr @ 2026

文献检索

告别复杂PubMed语法,用中文像聊天一样搜索,搜遍4000万医学文献。AI智能推荐,让科研检索更轻松。

立即免费搜索

文件翻译

保留排版,准确专业,支持PDF/Word/PPT等文件格式,支持 12+语言互译。

免费翻译文档

深度研究

AI帮你快速写综述,25分钟生成高质量综述,智能提取关键信息,辅助科研写作。

立即免费体验

基于Casson模型的纳米流体在带有波纹圆柱的半抛物形封闭腔内的自然对流研究

Free convection investigation for a Casson-based - nanofluid in semi parabolic enclosure with corrugated cylinder.

作者信息

Hameed Rafel H, Hussein Rana Ali, Al-Salami Qusay H, Alomari Mohammed Azeez, Hassan Ahmed M, Alyousuf Farah Q A, Alqurashi Faris, Flayyih Mujtaba A

机构信息

University of Babylon, College of Engineering, Mechanical Engineering Department, Iraq.

Power Mechanics Engineering Department, Al-Musaib Technical College, Al-Furat Al-Awsat Technical, Hillah, Babylon, Iraq.

出版信息

Heliyon. 2024 Dec 13;11(1):e40960. doi: 10.1016/j.heliyon.2024.e40960. eCollection 2025 Jan 15.

DOI:10.1016/j.heliyon.2024.e40960
PMID:39802003
原文链接:https://pmc.ncbi.nlm.nih.gov/articles/PMC11719392/
Abstract

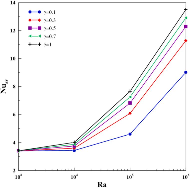
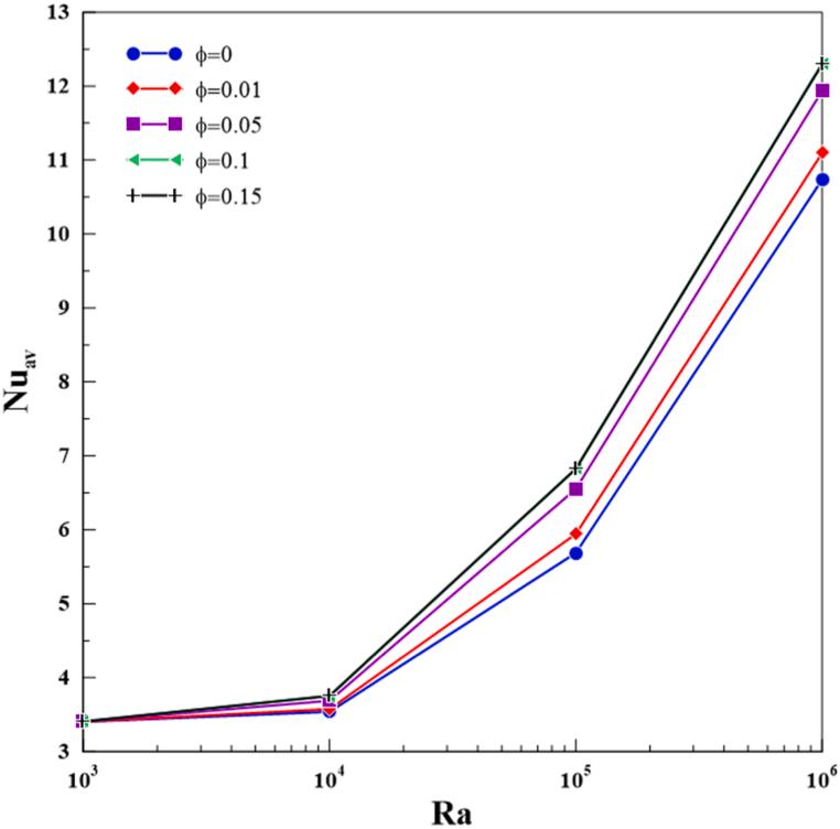
The optimization of heat transfer in various engineering applications, such as thermal management systems and energy storage devices, remains a crucial challenge. This study aims to investigate the potential of Casson-based Cu-HO nanofluids in enhancing free convection heat transfer within complex geometries. The research examines the free convection heat transfer and fluid flow characteristics of a Casson-based Cu-HO nanofluid within a semi-parabolic enclosure that includes a wavy corrugated cylinder. Utilizing numerical simulations based on the Galerkin Finite Element Method, the study investigates the impact of different factors, including the Rayleigh number (10 ≤ Ra ≤ 10), Casson fluid parameter (0.1 ≤ γ ≤ 1), corrugation number (3 ≤ N ≤ 10), nanoparticle volume fraction (0 ≤  ≤ 0.15), and enclosure inclination angle (0° ≤ ζ ≤ 60°), on both heat transfer efficiency and flow patterns. The results reveal that increasing the Rayleigh number and Casson fluid parameter enhances heat transfer performance, with the average Nusselt number increasing by up to 165 % as Ra increases from 10 to 10. An optimal range of corrugation numbers is identified for maximizing heat transfer at higher Rayleigh numbers. The addition of nanoparticles significantly improves heat transfer, with a 20 % increase in the average Nusselt number observed at Ra = 10 when the nanoparticle volume fraction increases from 0 to 0.15. These findings provide valuable insights for designing more efficient thermal management systems in applications such as electronics cooling, solar thermal collectors, and heat exchangers, potentially leading to improved energy efficiency and performance in various industrial and technological sectors.

摘要

在各种工程应用中,如热管理系统和能量存储设备,优化传热仍然是一项关键挑战。本研究旨在探究基于卡森模型的铜-水纳米流体在增强复杂几何形状内自然对流换热方面的潜力。该研究考察了基于卡森模型的铜-水纳米流体在包含波浪形波纹圆柱的半抛物形封闭腔内的自然对流换热和流体流动特性。利用基于伽辽金有限元法的数值模拟,该研究调查了不同因素的影响,包括瑞利数(10≤Ra≤10)、卡森流体参数(0.1≤γ≤1)、波纹数(3≤N≤10)、纳米颗粒体积分数(0≤≤0.15)和封闭腔倾斜角(0°≤ζ≤60°)对传热效率和流动模式的影响。结果表明,增加瑞利数和卡森流体参数可提高传热性能,当瑞利数从10增加到10时,平均努塞尔数增加高达165%。确定了一个最佳波纹数范围,以在较高瑞利数下实现最大传热。添加纳米颗粒显著改善了传热,当纳米颗粒体积分数从0增加到0.15时,在瑞利数为10时观察到平均努塞尔数增加了20%。这些发现为设计更高效的热管理系统提供了有价值的见解,可应用于电子冷却、太阳能集热器和热交换器等领域,有望提高各工业和技术领域的能源效率和性能。

https://cdn.ncbi.nlm.nih.gov/pmc/blobs/f12a/11719392/900fcb55271f/gr17.jpg
https://cdn.ncbi.nlm.nih.gov/pmc/blobs/f12a/11719392/459ae97cdbd5/gr1.jpg
https://cdn.ncbi.nlm.nih.gov/pmc/blobs/f12a/11719392/1285577541b9/gr2.jpg
https://cdn.ncbi.nlm.nih.gov/pmc/blobs/f12a/11719392/3f00d12fcae0/gr3.jpg
https://cdn.ncbi.nlm.nih.gov/pmc/blobs/f12a/11719392/98416ca43f59/gr4.jpg
https://cdn.ncbi.nlm.nih.gov/pmc/blobs/f12a/11719392/7f3c894ee03e/gr5.jpg
https://cdn.ncbi.nlm.nih.gov/pmc/blobs/f12a/11719392/e8b972a6079a/gr6.jpg
https://cdn.ncbi.nlm.nih.gov/pmc/blobs/f12a/11719392/5273a6dd1445/gr7.jpg
https://cdn.ncbi.nlm.nih.gov/pmc/blobs/f12a/11719392/c448ba29a7c2/gr8.jpg
https://cdn.ncbi.nlm.nih.gov/pmc/blobs/f12a/11719392/b71f211f42af/gr9.jpg
https://cdn.ncbi.nlm.nih.gov/pmc/blobs/f12a/11719392/423b494fd875/gr10.jpg
https://cdn.ncbi.nlm.nih.gov/pmc/blobs/f12a/11719392/487337f7f2f0/gr11.jpg
https://cdn.ncbi.nlm.nih.gov/pmc/blobs/f12a/11719392/90f7327cc8f6/gr12.jpg
https://cdn.ncbi.nlm.nih.gov/pmc/blobs/f12a/11719392/0fbe8168647c/gr13.jpg
https://cdn.ncbi.nlm.nih.gov/pmc/blobs/f12a/11719392/81511620aaf2/gr14.jpg
https://cdn.ncbi.nlm.nih.gov/pmc/blobs/f12a/11719392/80ce25e90482/gr15.jpg
https://cdn.ncbi.nlm.nih.gov/pmc/blobs/f12a/11719392/61a918522a02/gr16.jpg
https://cdn.ncbi.nlm.nih.gov/pmc/blobs/f12a/11719392/900fcb55271f/gr17.jpg
https://cdn.ncbi.nlm.nih.gov/pmc/blobs/f12a/11719392/459ae97cdbd5/gr1.jpg
https://cdn.ncbi.nlm.nih.gov/pmc/blobs/f12a/11719392/1285577541b9/gr2.jpg
https://cdn.ncbi.nlm.nih.gov/pmc/blobs/f12a/11719392/3f00d12fcae0/gr3.jpg
https://cdn.ncbi.nlm.nih.gov/pmc/blobs/f12a/11719392/98416ca43f59/gr4.jpg
https://cdn.ncbi.nlm.nih.gov/pmc/blobs/f12a/11719392/7f3c894ee03e/gr5.jpg
https://cdn.ncbi.nlm.nih.gov/pmc/blobs/f12a/11719392/e8b972a6079a/gr6.jpg
https://cdn.ncbi.nlm.nih.gov/pmc/blobs/f12a/11719392/5273a6dd1445/gr7.jpg
https://cdn.ncbi.nlm.nih.gov/pmc/blobs/f12a/11719392/c448ba29a7c2/gr8.jpg
https://cdn.ncbi.nlm.nih.gov/pmc/blobs/f12a/11719392/b71f211f42af/gr9.jpg
https://cdn.ncbi.nlm.nih.gov/pmc/blobs/f12a/11719392/423b494fd875/gr10.jpg
https://cdn.ncbi.nlm.nih.gov/pmc/blobs/f12a/11719392/487337f7f2f0/gr11.jpg
https://cdn.ncbi.nlm.nih.gov/pmc/blobs/f12a/11719392/90f7327cc8f6/gr12.jpg
https://cdn.ncbi.nlm.nih.gov/pmc/blobs/f12a/11719392/0fbe8168647c/gr13.jpg
https://cdn.ncbi.nlm.nih.gov/pmc/blobs/f12a/11719392/81511620aaf2/gr14.jpg
https://cdn.ncbi.nlm.nih.gov/pmc/blobs/f12a/11719392/80ce25e90482/gr15.jpg
https://cdn.ncbi.nlm.nih.gov/pmc/blobs/f12a/11719392/61a918522a02/gr16.jpg
https://cdn.ncbi.nlm.nih.gov/pmc/blobs/f12a/11719392/900fcb55271f/gr17.jpg

相似文献

1
Free convection investigation for a Casson-based - nanofluid in semi parabolic enclosure with corrugated cylinder.基于Casson模型的纳米流体在带有波纹圆柱的半抛物形封闭腔内的自然对流研究
Heliyon. 2024 Dec 13;11(1):e40960. doi: 10.1016/j.heliyon.2024.e40960. eCollection 2025 Jan 15.
2
Analysis of natural convection for a Casson-based multiwall carbon nanotube nanofluid in a partially heated wavy enclosure with a circular obstacle in the presence of thermal radiation.在存在热辐射的情况下,对具有圆形障碍物的部分加热波浪形封闭腔内基于 Casson 的多壁碳纳米管纳米流体的自然对流进行分析。
J Adv Res. 2022 Jul;39:167-185. doi: 10.1016/j.jare.2021.10.006. Epub 2021 Oct 23.
3
Natural convective non-Newtonian nanofluid flow in a wavy-shaped enclosure with a heated elliptic obstacle.具有加热椭圆障碍物的波浪形封闭腔内的自然对流非牛顿纳米流体流动。
Heliyon. 2023 Jun 1;9(6):e16579. doi: 10.1016/j.heliyon.2023.e16579. eCollection 2023 Jun.
4
Natural convection heat transfer in corrugated annuli with HO-AlO nanofluid.含HO-AlO纳米流体的波纹环形通道中的自然对流换热
Heliyon. 2020 Nov 25;6(11):e05568. doi: 10.1016/j.heliyon.2020.e05568. eCollection 2020 Nov.
5
Thermal Lattice Boltzmann Flux Solver for Natural Convection of Nanofluid in a Square Enclosure.用于方形封闭腔内纳米流体自然对流的热格子玻尔兹曼通量求解器
Entropy (Basel). 2022 Oct 11;24(10):1448. doi: 10.3390/e24101448.
6
Dynamics of flow in trapezoidal enclosure having a heated inner circular cylinder containing Casson nanofluid.具有包含Casson纳米流体的加热内圆柱的梯形封闭腔内的流动动力学。
Heliyon. 2021 Jul 30;7(7):e07683. doi: 10.1016/j.heliyon.2021.e07683. eCollection 2021 Jul.
7
Mixed convection of Casson fluid in a differentially heated bottom wavy wall.具有不同加热底部波浪壁面的Casson流体的混合对流
Heliyon. 2021 Jun 24;7(6):e07361. doi: 10.1016/j.heliyon.2021.e07361. eCollection 2021 Jun.
8
Numerical study of magneto convective ag (silver) graphene oxide (GO) hybrid nanofluid in a square enclosure with hot and cold slits and internal heat generation/absorption.具有热缝和冷缝以及内部热生成/吸收的方形封闭腔内磁对流银-氧化石墨烯混合纳米流体的数值研究。
Sci Rep. 2024 Oct 22;14(1):24868. doi: 10.1038/s41598-024-76233-z.
9
The Baffle Length Effects on the Natural Convection in Nanofluid-Filled Square Enclosure with Sinusoidal Temperature.带有正弦温度的填充有纳米流体的方形封闭腔内的挡板长度对自然对流的影响。
Molecules. 2022 Jul 12;27(14):4445. doi: 10.3390/molecules27144445.
10
Heat generation/absorption effect on natural convective heat transfer in a wavy triangular cavity filled with nanofluid.热生成/吸收对充满纳米流体的波浪形三角形腔内自然对流换热的影响。
Sci Rep. 2023 Dec 1;13(1):21171. doi: 10.1038/s41598-023-48704-2.

本文引用的文献

1
Dynamics of flow in trapezoidal enclosure having a heated inner circular cylinder containing Casson nanofluid.具有包含Casson纳米流体的加热内圆柱的梯形封闭腔内的流动动力学。
Heliyon. 2021 Jul 30;7(7):e07683. doi: 10.1016/j.heliyon.2021.e07683. eCollection 2021 Jul.
2
Natural convection heat transfer in corrugated annuli with HO-AlO nanofluid.含HO-AlO纳米流体的波纹环形通道中的自然对流换热
Heliyon. 2020 Nov 25;6(11):e05568. doi: 10.1016/j.heliyon.2020.e05568. eCollection 2020 Nov.