• 文献检索
  • 文档翻译
  • 深度研究
  • 学术资讯
  • Suppr Zotero 插件Zotero 插件
  • 邀请有礼
  • 套餐&价格
  • 历史记录
应用&插件
Suppr Zotero 插件Zotero 插件浏览器插件Mac 客户端Windows 客户端微信小程序
定价
高级版会员购买积分包购买API积分包
服务
文献检索文档翻译深度研究API 文档MCP 服务
关于我们
关于 Suppr公司介绍联系我们用户协议隐私条款
关注我们

Suppr 超能文献

核心技术专利:CN118964589B侵权必究
粤ICP备2023148730 号-1Suppr @ 2026

文献检索

告别复杂PubMed语法,用中文像聊天一样搜索,搜遍4000万医学文献。AI智能推荐,让科研检索更轻松。

立即免费搜索

文件翻译

保留排版,准确专业,支持PDF/Word/PPT等文件格式,支持 12+语言互译。

免费翻译文档

深度研究

AI帮你快速写综述,25分钟生成高质量综述,智能提取关键信息,辅助科研写作。

立即免费体验

孕妇个体尿碘浓度与母婴结局之间的关联。

Association between individual urinary iodine concentrations in pregnant women and maternal/newborn outcomes.

作者信息

Bolfi Fernanda, Marum Maryan Borcsik, Fonseca Samantha Ellen da Silva, Mazeto Glaucia M F S, Nogueira Celia Regina, Nunes-Nogueira Vania Dos Santos

出版信息

Endocr Connect. 2025 Jan 29;14(3). doi: 10.1530/EC-24-0621. Print 2025 Mar 1.

DOI:10.1530/EC-24-0621
PMID:39804211
原文链接:https://pmc.ncbi.nlm.nih.gov/articles/PMC11799753/
Abstract

OBJECTIVE

To assess whether individual diagnosis of low urinary iodine concentration (UIC) in pregnant women is associated with adverse maternal and neonatal outcomes.

METHODS

Studies that compared pregnant women with UIC <150 μg/L and those with UIC 150-249 μg/L were systematically reviewed. MEDLINE, Embase, LILACS and CENTRAL were our source databases. Selection of studies, risk-of-bias assessment and data extraction were performed in pairs and independently. Relative risk (RR) with 95% confidence interval (CI) was calculated as an estimate of the effect of iodine <150 μg/L. Stata software was used to perform meta-analyses. The quality of evidence was determined according to the Grading of Recommendations Assessment, Development and Evaluation.

RESULTS

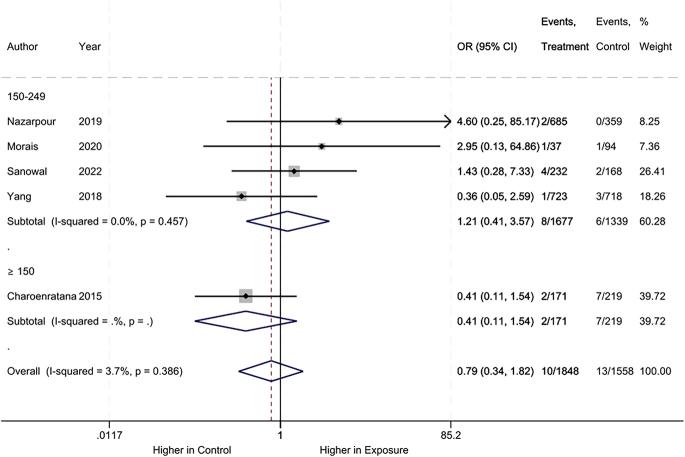
In total, 7000 studies were identified, of which 63 were included. With low or very low certainty of the evidence, no difference in the incidence of miscarriage (RR: 0.87, 95% CI: 0.64-1.18, 6 studies, 4855 participants), maternal hypothyroidism (RR: 1.05, 95% CI: 0.68-1.60, 10 studies, 11,773 participants), preterm birth (RR: 1.20, 95% CI: 0.97-1.48, 13 studies, 15,644 participants), stillbirths (RR: 0.79, 95% CI: 0.34-1.82, 6 studies, 3406 participants), low birth weight (RR: 1.25, 95% CI: 0.88-1.78, 10 studies, 10,775 participants) and small for gestational age (RR: 1.11, 95% CI: 0.90-1.37, 5 studies, 4266 participants) was observed between the two groups.

CONCLUSION

In pregnant women, individual diagnosis of UIC <150 μg/L was not associated with adverse maternal and neonatal outcomes, emphasizing UIC as a limited method to assess individual iodine status during pregnancy.

摘要

目的

评估孕妇个体尿碘浓度(UIC)低是否与不良母婴结局相关。

方法

系统回顾比较UIC<150μg/L的孕妇与UIC为150 - 249μg/L的孕妇的研究。MEDLINE、Embase、LILACS和CENTRAL是我们的源数据库。研究的选择、偏倚风险评估和数据提取由两人独立进行。计算95%置信区间(CI)的相对风险(RR),作为碘<150μg/L影响的估计值。使用Stata软件进行荟萃分析。根据推荐评估、制定和评价分级确定证据质量。

结果

共识别出7000项研究,其中63项被纳入。证据确定性低或非常低,两组间流产发生率(RR:0.87,95%CI:0.64 - 1.18,6项研究,4855名参与者)、母体甲状腺功能减退(RR:1.05,95%CI:0.68 - 1.60,10项研究,11773名参与者)、早产(RR:1.20,95%CI:0.97 - 1.48,13项研究,15644名参与者)、死产(RR:0.79,95%CI:0.34 - 1.82,6项研究,3406名参与者)、低出生体重(RR:1.25,95%CI:0.88 - 1.78,10项研究,10775名参与者)和小于胎龄儿(RR:1.11,95%CI:0.90 - 1.37,5项研究,4266名参与者)无差异。

结论

在孕妇中,个体诊断UIC<150μg/L与不良母婴结局无关,强调UIC作为评估孕期个体碘状态的有限方法。

https://cdn.ncbi.nlm.nih.gov/pmc/blobs/1d7a/11799753/69639686d823/EC-24-0621fig10.jpg
https://cdn.ncbi.nlm.nih.gov/pmc/blobs/1d7a/11799753/cb8728334614/EC-24-0621fig1.jpg
https://cdn.ncbi.nlm.nih.gov/pmc/blobs/1d7a/11799753/72f7b26b8e69/EC-24-0621fig2.jpg
https://cdn.ncbi.nlm.nih.gov/pmc/blobs/1d7a/11799753/7660b9785690/EC-24-0621fig3.jpg
https://cdn.ncbi.nlm.nih.gov/pmc/blobs/1d7a/11799753/3b71e162fcfe/EC-24-0621fig4.jpg
https://cdn.ncbi.nlm.nih.gov/pmc/blobs/1d7a/11799753/61783a04d47e/EC-24-0621fig5.jpg
https://cdn.ncbi.nlm.nih.gov/pmc/blobs/1d7a/11799753/460da73f006e/EC-24-0621fig6.jpg
https://cdn.ncbi.nlm.nih.gov/pmc/blobs/1d7a/11799753/6a58a54471a3/EC-24-0621fig7.jpg
https://cdn.ncbi.nlm.nih.gov/pmc/blobs/1d7a/11799753/4150028712bc/EC-24-0621fig8.jpg
https://cdn.ncbi.nlm.nih.gov/pmc/blobs/1d7a/11799753/1b7b04319e1f/EC-24-0621fig9.jpg
https://cdn.ncbi.nlm.nih.gov/pmc/blobs/1d7a/11799753/69639686d823/EC-24-0621fig10.jpg
https://cdn.ncbi.nlm.nih.gov/pmc/blobs/1d7a/11799753/cb8728334614/EC-24-0621fig1.jpg
https://cdn.ncbi.nlm.nih.gov/pmc/blobs/1d7a/11799753/72f7b26b8e69/EC-24-0621fig2.jpg
https://cdn.ncbi.nlm.nih.gov/pmc/blobs/1d7a/11799753/7660b9785690/EC-24-0621fig3.jpg
https://cdn.ncbi.nlm.nih.gov/pmc/blobs/1d7a/11799753/3b71e162fcfe/EC-24-0621fig4.jpg
https://cdn.ncbi.nlm.nih.gov/pmc/blobs/1d7a/11799753/61783a04d47e/EC-24-0621fig5.jpg
https://cdn.ncbi.nlm.nih.gov/pmc/blobs/1d7a/11799753/460da73f006e/EC-24-0621fig6.jpg
https://cdn.ncbi.nlm.nih.gov/pmc/blobs/1d7a/11799753/6a58a54471a3/EC-24-0621fig7.jpg
https://cdn.ncbi.nlm.nih.gov/pmc/blobs/1d7a/11799753/4150028712bc/EC-24-0621fig8.jpg
https://cdn.ncbi.nlm.nih.gov/pmc/blobs/1d7a/11799753/1b7b04319e1f/EC-24-0621fig9.jpg
https://cdn.ncbi.nlm.nih.gov/pmc/blobs/1d7a/11799753/69639686d823/EC-24-0621fig10.jpg

相似文献

1
Association between individual urinary iodine concentrations in pregnant women and maternal/newborn outcomes.孕妇个体尿碘浓度与母婴结局之间的关联。
Endocr Connect. 2025 Jan 29;14(3). doi: 10.1530/EC-24-0621. Print 2025 Mar 1.
2
Folic acid supplementation and malaria susceptibility and severity among people taking antifolate antimalarial drugs in endemic areas.在流行地区,服用抗叶酸抗疟药物的人群中,叶酸补充剂与疟疾易感性和严重程度的关系。
Cochrane Database Syst Rev. 2022 Feb 1;2(2022):CD014217. doi: 10.1002/14651858.CD014217.
3
Maternal Urinary Iodine Concentration and Pregnancy Outcomes in Euthyroid Pregnant Women: a Systematic Review and Meta-analysis.母体尿碘浓度与甲状腺功能正常孕妇妊娠结局的关系:系统评价和荟萃分析。
Biol Trace Elem Res. 2020 Oct;197(2):411-420. doi: 10.1007/s12011-019-02020-x. Epub 2019 Dec 24.
4
Consequences of Iodine Deficiency and Excess in Pregnancy and Neonatal Outcomes: A Prospective Cohort Study in Rio de Janeiro, Brazil.妊娠碘缺乏和碘过量的后果:巴西里约热内卢的一项前瞻性队列研究。
Thyroid. 2020 Dec;30(12):1792-1801. doi: 10.1089/thy.2019.0462. Epub 2020 Jul 1.
5
Thyroglobulin Concentration and Maternal Iodine Status During Pregnancy: A Systematic Review and Meta-Analysis.甲状腺球蛋白浓度与妊娠期间母体碘营养状况:系统评价和荟萃分析。
Thyroid. 2020 May;30(5):767-779. doi: 10.1089/thy.2019.0712. Epub 2020 Feb 7.
6
Iodine Status, Thyroid Disorder and Feto-Maternal Outcome among the Tribal Pregnant Women of Eastern Himalayas.东喜马拉雅地区部落孕妇的碘营养状况、甲状腺疾病及母婴结局
Indian J Endocrinol Metab. 2023 Jan-Feb;27(1):66-72. doi: 10.4103/ijem.ijem_367_22. Epub 2023 Mar 3.
7
Iodine supplementation for women during the preconception, pregnancy and postpartum period.孕前、孕期及产后女性的碘补充
Cochrane Database Syst Rev. 2017 Mar 5;3(3):CD011761. doi: 10.1002/14651858.CD011761.pub2.
8
Treating periodontal disease for preventing adverse birth outcomes in pregnant women.治疗牙周疾病以预防孕妇不良分娩结局。
Cochrane Database Syst Rev. 2017 Jun 12;6(6):CD005297. doi: 10.1002/14651858.CD005297.pub3.
9
Mefloquine for preventing malaria in pregnant women.甲氟喹预防孕妇疟疾
Cochrane Database Syst Rev. 2018 Mar 21;3(3):CD011444. doi: 10.1002/14651858.CD011444.pub2.
10
Mefloquine for preventing malaria in pregnant women.甲氟喹用于预防孕妇疟疾。
Cochrane Database Syst Rev. 2018 Nov 14;11(11):CD011444. doi: 10.1002/14651858.CD011444.pub3.

本文引用的文献

1
Maternal Urinary Iodine Concentration during Pregnancy and Its Impact on Child Growth and Neurodevelopment: An 11-Year Follow-Up Study.孕妇尿液碘浓度及其对儿童生长和神经发育的影响:一项 11 年随访研究。
Nutrients. 2023 Oct 20;15(20):4447. doi: 10.3390/nu15204447.
2
Urinary iodine concentration and its associations with thyroid function in pregnant women of Shanghai.上海孕妇尿碘浓度及其与甲状腺功能的关系。
Front Endocrinol (Lausanne). 2023 Jul 4;14:1184747. doi: 10.3389/fendo.2023.1184747. eCollection 2023.
3
Iodine Status, Thyroid Disorder and Feto-Maternal Outcome among the Tribal Pregnant Women of Eastern Himalayas.
东喜马拉雅地区部落孕妇的碘营养状况、甲状腺疾病及母婴结局
Indian J Endocrinol Metab. 2023 Jan-Feb;27(1):66-72. doi: 10.4103/ijem.ijem_367_22. Epub 2023 Mar 3.
4
The Relationship Between Iodine Excess and Thyroid Function During Pregnancy and Infantile Neurodevelopment at 18-24 Months.碘过量与妊娠期间甲状腺功能及婴儿 18-24 月龄神经发育的关系。
J Nutr. 2023 Aug;153(8):2320-2327. doi: 10.1016/j.tjnut.2023.05.012. Epub 2023 May 12.
5
Effect of Iodine Nutrition Status on Thyroid Function and Pregnancy Outcomes.碘营养状况对甲状腺功能和妊娠结局的影响。
Biol Trace Elem Res. 2023 Nov;201(11):5143-5151. doi: 10.1007/s12011-023-03600-8. Epub 2023 Feb 10.
6
Maternal Iodine Status and Birth Outcomes: A Systematic Literature Review and Meta-Analysis.母体碘营养状况与出生结局:系统文献回顾和荟萃分析。
Nutrients. 2023 Jan 12;15(2):387. doi: 10.3390/nu15020387.
7
Iodine nutrition level and thyroid function in pregnant women in the Yongchuan district of Chongqing.重庆永川区孕妇的碘营养水平与甲状腺功能
J Clin Transl Res. 2022 Nov 10;8(6):516-522. eCollection 2022 Dec 29.
8
Gestational and childhood urinary iodine concentrations and children's cognitive function in a longitudinal mother-child cohort in rural Bangladesh.孟加拉国农村纵向母婴队列中妊娠和儿童期尿碘浓度与儿童认知功能的关系。
Int J Epidemiol. 2023 Feb 8;52(1):144-155. doi: 10.1093/ije/dyac110.
9
Effect of Moderate-to-Severe Iodine Deficiency in Early Pregnancy on Subclinical Hypothyroidism: A Longitudinal Study in an Iodine-Sufficient Region in China.孕早期中重度碘缺乏对亚临床甲状腺功能减退的影响:中国一个碘充足地区的纵向研究
Front Nutr. 2022 Apr 1;9:839651. doi: 10.3389/fnut.2022.839651. eCollection 2022.
10
No Association Was Found Between Mild Iodine Deficiency During Pregnancy and Pregnancy Outcomes: a Follow-up Study Based on a Birth Registry.未发现妊娠期间轻度碘缺乏与妊娠结局之间存在关联:一项基于出生登记的随访研究。
Biol Trace Elem Res. 2022 Oct;200(10):4267-4277. doi: 10.1007/s12011-021-03028-y. Epub 2022 Jan 5.