Suppr超能文献

通过生态创新实现可持续发展:聚焦哥伦比亚的中小企业。

Sustainable development through eco-innovation: A focus on small and medium enterprises in Colombia.

作者信息

Tegethoff Thomas, Santa Ricardo, Bucheli Juan Manuel, Cabrera Benjamin, Scavarda Annibal

机构信息

Colegio de Estudios Superiores de Administración-CESA, Bogotá, Colombia.

Institución Universitaria Escuela Nacional del Deporte, Cali, Colombia.

出版信息

PLoS One. 2025 Jan 16;20(1):e0316620. doi: 10.1371/journal.pone.0316620. eCollection 2025.

Abstract

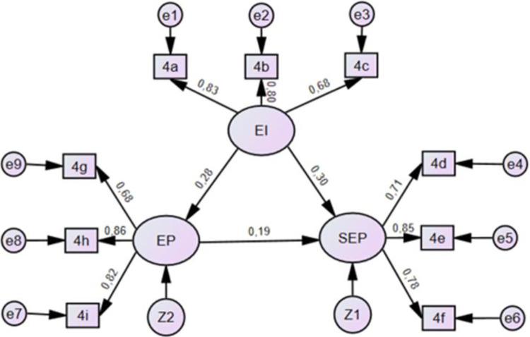
This study examines the impact of eco-innovation on the economic, social, and environmental performance of small and medium enterprises (SMEs) in Colombia. SMEs are pivotal to Colombia's economic landscape, contributing significantly to job creation, economic growth, and regional development. The research utilizes structural equation modeling (SEM) to analyze data collected from 568 SMEs through an electronic survey. The findings indicate that eco-innovation positively influences both environmental and economic-social performance. Enhanced environmental performance, driven by eco-innovation, is associated with improved resource efficiency, reduced emissions, and waste management. Moreover, economic and social performance, measured through profitability, product quality, and job satisfaction, also benefits from eco-innovative practices. These results underscore the importance of eco-innovation in promoting sustainable development within the SME sector. The study advocates for further large-scale investigations to validate these findings and to explore the broader implications of eco-innovation in diverse economic contexts.

摘要

本研究考察了生态创新对哥伦比亚中小企业经济、社会和环境绩效的影响。中小企业对哥伦比亚的经济格局至关重要,对创造就业、经济增长和区域发展做出了重大贡献。该研究利用结构方程模型(SEM)分析了通过电子调查从568家中小企业收集的数据。研究结果表明,生态创新对环境和经济社会绩效均有积极影响。由生态创新驱动的环境绩效提升与资源利用效率提高、排放减少和废物管理改善相关。此外,通过盈利能力、产品质量和工作满意度衡量的经济和社会绩效也受益于生态创新实践。这些结果强调了生态创新在促进中小企业部门可持续发展中的重要性。该研究主张进一步开展大规模调查,以验证这些发现,并探索生态创新在不同经济背景下的更广泛影响。

https://cdn.ncbi.nlm.nih.gov/pmc/blobs/a51b/11737738/e5dc80f55299/pone.0316620.g001.jpg

文献AI研究员

20分钟写一篇综述,助力文献阅读效率提升50倍。

立即体验

用中文搜PubMed

大模型驱动的PubMed中文搜索引擎

马上搜索

文档翻译

学术文献翻译模型,支持多种主流文档格式。

立即体验