Han Joseph K, Rosenthal Jon N, McDuffie Chad M, Yen David M, Bikhazi Nadim B, Kakarlapudi Venkata Vasu, Silvers Stacey L
Department of Otolaryngology-Head and Neck Surgery, Eastern Virginia Medical School, Norfolk, Virginia, USA.
ENT and Allergy Associates of Florida, Coral Springs, Florida, USA.
Otolaryngol Head Neck Surg. 2025 Apr;172(4):1214-1223. doi: 10.1002/ohn.1118. Epub 2025 Jan 17.
To evaluate the efficacy, safety, and durability of temperature-controlled radiofrequency (TCRF) treatment of the nasal valve in patients with severe or extreme nasal airway obstruction (NAO).
A long-term, prospective, multicenter, single-blind, randomized controlled trial.
Sixteen otolaryngologic clinics and academic centers.
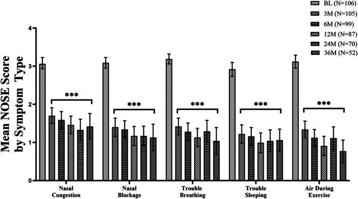
Patients received TCRF treatment on the lateral nasal valve. All patients were followed through 3 years. Outcome measures included the Nasal Obstruction Symptom Evaluation (NOSE) Scale, Epworth Sleepiness Scale (ESS), and adverse events (AEs). Treatment responders were defined as a ≥1 reduction in severity class or ≥20% reduction in NOSE score.
Out of 108 patients who received TCRF treatment, 54 reached the 3-year follow-up timepoint. The baseline mean NOSE score was 76.3 (95% confidence interval [CI], 73.6 to 79.1). The 3-year NOSE score treatment effect was -49.4 ([95% CI, -56.5 to -42.4]; P < .001) a 64.7% improvement from baseline; 88.7% of patients were responders. Most patients reported significant improvements in sleep post-treatment with a mean ESS score of 4.5 (95% CI, 3.4 to 5.7) at 3 years compared to 10.3 (95% CI, 9.2 to 11.4) at baseline.
Treatment with the TCRF device for nasal valve obstruction resulted in sustained improvements in nasal obstruction symptoms and sleep quality over a 3-year period without any serious AEs. These findings support the long-term benefits and sustained improvements in symptoms in patients with NAO.
评估温控射频(TCRF)治疗严重或极重度鼻气道阻塞(NAO)患者鼻瓣膜的疗效、安全性和持久性。
一项长期、前瞻性、多中心、单盲、随机对照试验。
16家耳鼻喉科诊所和学术中心。
患者接受鼻外侧瓣膜的TCRF治疗。所有患者随访3年。观察指标包括鼻阻塞症状评估(NOSE)量表、爱泼华嗜睡量表(ESS)和不良事件(AE)。治疗有反应者定义为严重程度等级降低≥1级或NOSE评分降低≥20%。
108例接受TCRF治疗的患者中,54例达到3年随访时间点。基线时平均NOSE评分为76.3(95%置信区间[CI],73.6至79.1)。3年时NOSE评分的治疗效果为-49.4([95%CI,-56.5至-42.4];P < .001),较基线改善64.7%;88.7%的患者有反应。大多数患者报告治疗后睡眠有显著改善,3年时平均ESS评分为4.5(95%CI,3.4至5.7),而基线时为10.3(95%CI,9.2至11.4)。
使用TCRF设备治疗鼻瓣膜阻塞在3年内可持续改善鼻阻塞症状和睡眠质量,且无任何严重不良事件。这些发现支持了NAO患者症状的长期益处和持续改善。