Suppr超能文献

乳酸杆菌和酿酒酵母发酵产物对接种产肠毒素大肠杆菌的断奶仔猪的生产性能和粪便微生物群有影响。

Lactobacillus and Saccharomyces fermentation products impact performance and the fecal microbiome in weanling pigs inoculated with enterotoxigenic Escherichia coli.

作者信息

Cherrington Tanya, Jordan David, Pluske John, Mansfield Josie, Lugsomya Kittitat, Wilkinson Stuart, Cadogan David, Abraham Sam, O'Dea Mark

机构信息

Antimicrobial Resistance and Infectious Diseases Laboratory, Harry Butler Institute, Murdoch University, Murdoch, Western Australia, Australia.

Faculty of Science, The University of Melbourne, Parkville, Victoria, Australia.

出版信息

J Anim Sci. 2025 Jan 4;103. doi: 10.1093/jas/skae394.

Abstract

BACKGROUND

Enterotoxigenic F4 Escherichia coli (F4-ETEC) pose an economic threat to the swine industry through reduced growth, increased mortality and morbidity, and increased costs associated with treatment. Prevention and treatment of F4-ETEC often rely on antimicrobials; however, due to the threat of antimicrobial resistance, antimicrobial use is being minimized, and hence alternative control methods are needed. This study investigated the effects of postbiotics in the form of Lactobacillus acidophilus fermentation products (LFP) and Saccharomyces cerevisiae fermentation products (SFP), on pigs challenged with an F4 ETEC strain. Eighty pigs were selected based on a prescreening F4-ETEC susceptibility test. The animals were divided into 5 treatments each with 4 replicate pens. Pigs were assigned to 5 different diets: a control diet (CON); CON diet with 3,000 ppm ZnO (ZnO); CON diet with 2,000 ppm LFP (LFP); CON diet with 2,000 ppm SFP (SFP); CON diet with both 2,000 ppm LFP and 2,000 ppm SFP (LAS). Pigs were inoculated per os with F4-ETEC twice, on day 0 and day 1 of the experiment.

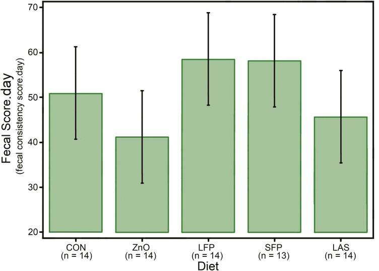
RESULTS

No significant differences in fecal consistency scores or fecal F4-ETEC concentration in pigs supplemented with LFP and/or SFP were detected. An increased diversity and abundance of Lactobacillaceae in the fecal microbiome of pigs supplemented with LFP were detected, as well as an increased final liveweight of pigs supplemented with LFP and/or SFP.

CONCLUSION

This study demonstrated that the fecal microbiome is modified in F4-ETEC-challenged pigs supplemented with the combination of LFP and SFP, with these modifications previously associated with increased growth performance and health status in young pigs. Pigs receiving this combination of postbiotics also demonstrated an increased final liveweight, indicating that management of ETEC-associated performance loss may not require the complete removal of ETEC from a production system.

摘要

背景

产肠毒素F4大肠杆菌(F4-ETEC)通过降低生长速度、增加死亡率和发病率以及增加治疗相关成本,对养猪业构成经济威胁。F4-ETEC的预防和治疗通常依赖于抗菌药物;然而,由于抗菌药物耐药性的威胁,抗菌药物的使用正在减少,因此需要替代控制方法。本研究调查了嗜酸乳杆菌发酵产物(LFP)和酿酒酵母发酵产物(SFP)形式的后生元对感染F4 ETEC菌株的猪的影响。基于F4-ETEC敏感性预筛选试验选择了80头猪。将动物分为5个处理组,每组有4个重复栏。猪被分配到5种不同的日粮中:对照日粮(CON);含3000 ppm氧化锌的CON日粮(ZnO);含2000 ppm LFP的CON日粮(LFP);含2000 ppm SFP的CON日粮(SFP);含2000 ppm LFP和2000 ppm SFP的CON日粮(LAS)。在实验的第0天和第1天,给猪经口接种F4-ETEC两次。

结果

在补充LFP和/或SFP的猪中,未检测到粪便稠度评分或粪便F4-ETEC浓度有显著差异。在补充LFP的猪的粪便微生物群中,检测到乳杆菌科的多样性和丰度增加,以及补充LFP和/或SFP的猪的最终活重增加。

结论

本研究表明,在感染F4-ETEC的猪中,补充LFP和SFP组合可改变粪便微生物群,这些改变先前与幼猪生长性能和健康状况的改善有关。接受这种后生元组合的猪也表现出最终活重增加,这表明管理与ETEC相关的性能损失可能不需要从生产系统中完全清除ETEC。

https://cdn.ncbi.nlm.nih.gov/pmc/blobs/abb3/11842899/ed2f825a744d/skae394_fig1.jpg

文献检索

告别复杂PubMed语法,用中文像聊天一样搜索,搜遍4000万医学文献。AI智能推荐,让科研检索更轻松。

立即免费搜索

文件翻译

保留排版,准确专业,支持PDF/Word/PPT等文件格式,支持 12+语言互译。

免费翻译文档

深度研究

AI帮你快速写综述,25分钟生成高质量综述,智能提取关键信息,辅助科研写作。

立即免费体验