Suppr超能文献

具有核壳结构的铁非晶/铝-12硅活塞复合材料的腐蚀行为

Corrosion behavior of Fe amorphous/Al-12Si piston composites with core-shell structure.

作者信息

Wang Yingdong, Lin Zuxiang, Liu Chengzhou, Zhao Deyong, Li Chunqiong, Wang Yuan

机构信息

College of Mechanical and Transportation Engineering, Southwest Forestry University, Kunming, 650224, China.

出版信息

Sci Rep. 2025 Jan 22;15(1):2773. doi: 10.1038/s41598-025-87365-1.

Abstract

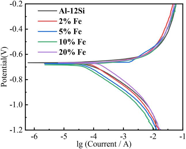
The current piston material, Al-12Si, lacks sufficient passivation in the acidic lubrication system of biodiesel engines, making it prone to corrosion in the presence of Cl. Fe amorphous particles exhibit good compatibility with Al-12Si, possessing strong corrosion resistance, excellent passivation ability, and good high-temperature stability. They are a potential reinforcement for enhancing the Al-12Si piston material. Fe amorphous/Al-12Si core-shell structural composites (FACS) were synthesized through ball milling and hot extrusion. The composites' composition, microstructure, and elemental distribution were characterized by X-ray diffraction, optical microscopy, and EDS spectroscopy. To accelerate the evaluation process, Potentiodynamic polarization and Electrochemical impedance spectroscopy were used to study the electrochemical corrosion behavior. By analyzing the self-corrosion current density (i), self-corrosion potential (E), polarization resistance, inductance, admittance absolute value (Y), and diffusion coefficient (n), the mechanism of Fe amorphous particle doping in enhancing the corrosion resistance of Al-12Si was discussed. The research results indicate that: The Fe amorphous particles, during ball milling and hot extrusion at 440 °C, do not recrystallize and maintain their good passivation ability. Spherical Fe amorphous particles act as "balls bearings" during hot extrusion, enhancing flowability and promoting the formation of a core-shell structure FACS with uniform composition distribution, high relative density, and low porosity when doping with 2-10% Fe amorphous particles. This prevents the formation of local potential differences, making the potential on the alloy surface more uniform, which helps reduce the risk of galvanic corrosion and improves corrosion resistance. However, when the doping content of Fe amorphous particles reaches 20%, excessive doping particles squeeze and rub against each other during hot extrusion, leading to amorphous agglomeration, low relative density, and high porosity defects in the resulting FACS, which causes uneven potential, increases local potential differences, and reduces corrosion resistance. Compared to Al-12Si, FACS doped with 2-10% Fe amorphous particles shows a decrease in i from 254.66 µA/cm to 114.98 µA/cm, and an increase in E from 766.89 mV to 794.78 mV, indicating a reduced corrosion rate with the doping of an appropriate amount of Fe amorphous particles. As the doping content of Fe amorphous particles increases from 2 to 10%, the polarization resistance increases, indicating improved corrosion resistance; the inductance increases, suggesting that corrosion primarily occurs at the surface; Y increases, and n decreases, indicating a reduction in the depth of the corrosion reaction, and the stability of the surface protective oxide film is improved. However, when the doping content of Fe amorphous particles reaches 20%, the opposite effect occurs, and the corrosion resistance of the FACS decreases. Notably, FACS with 10% Fe amorphous particles exhibited the strongest corrosion resistance, making it a potential candidate for biodiesel engine pistons.

摘要

目前的活塞材料Al-12Si在生物柴油发动机的酸性润滑系统中缺乏足够的钝化能力,使其在有Cl存在的情况下容易发生腐蚀。Fe非晶颗粒与Al-12Si具有良好的相容性,具有很强的耐腐蚀性、优异的钝化能力和良好的高温稳定性。它们是增强Al-12Si活塞材料的潜在增强剂。通过球磨和热挤压合成了Fe非晶/Al-12Si核壳结构复合材料(FACS)。通过X射线衍射、光学显微镜和能谱分析对复合材料的组成、微观结构和元素分布进行了表征。为了加速评估过程,采用动电位极化和电化学阻抗谱研究了电化学腐蚀行为。通过分析自腐蚀电流密度(i)、自腐蚀电位(E)、极化电阻、电感、导纳绝对值(Y)和扩散系数(n),探讨了Fe非晶颗粒掺杂增强Al-12Si耐腐蚀性的机理。研究结果表明:Fe非晶颗粒在球磨和440℃热挤压过程中不会再结晶,并保持其良好的钝化能力。球形Fe非晶颗粒在热挤压过程中起到“滚珠轴承”的作用,提高了流动性,并在掺杂2-10%的Fe非晶颗粒时促进形成具有均匀成分分布、高相对密度和低孔隙率的核壳结构FACS。这防止了局部电位差的形成,使合金表面的电位更加均匀,有助于降低电偶腐蚀的风险并提高耐腐蚀性。然而,当Fe非晶颗粒的掺杂量达到20%时,过多的掺杂颗粒在热挤压过程中相互挤压和摩擦,导致非晶团聚,所得FACS出现相对密度低和孔隙率高的缺陷,这导致电位不均匀,增加了局部电位差,并降低了耐腐蚀性。与Al-12Si相比,掺杂2-10%Fe非晶颗粒的FACS的i从254.66µA/cm降至114.98µA/cm,E从766.89mV升至794.78mV,表明适量掺杂Fe非晶颗粒可降低腐蚀速率。随着Fe非晶颗粒掺杂量从2%增加到10%,极化电阻增加,表明耐腐蚀性提高;电感增加,表明腐蚀主要发生在表面;Y增加,n减小,表明腐蚀反应深度减小,表面保护氧化膜的稳定性提高。然而,当Fe非晶颗粒的掺杂量达到20%时,会出现相反的效果,FACS的耐腐蚀性降低明显。值得注意的是,含有10%Fe非晶颗粒的FACS表现出最强的耐腐蚀性,使其成为生物柴油发动机活塞的潜在候选材料。

https://cdn.ncbi.nlm.nih.gov/pmc/blobs/4275/11754844/773422ac359e/41598_2025_87365_Fig1_HTML.jpg

文献检索

告别复杂PubMed语法,用中文像聊天一样搜索,搜遍4000万医学文献。AI智能推荐,让科研检索更轻松。

立即免费搜索

文件翻译

保留排版,准确专业,支持PDF/Word/PPT等文件格式,支持 12+语言互译。

免费翻译文档

深度研究

AI帮你快速写综述,25分钟生成高质量综述,智能提取关键信息,辅助科研写作。

立即免费体验