• 文献检索
  • 文档翻译
  • 深度研究
  • 学术资讯
  • Suppr Zotero 插件Zotero 插件
  • 邀请有礼
  • 套餐&价格
  • 历史记录
应用&插件
Suppr Zotero 插件Zotero 插件浏览器插件Mac 客户端Windows 客户端微信小程序
定价
高级版会员购买积分包购买API积分包
服务
文献检索文档翻译深度研究API 文档MCP 服务
关于我们
关于 Suppr公司介绍联系我们用户协议隐私条款
关注我们

Suppr 超能文献

核心技术专利:CN118964589B侵权必究
粤ICP备2023148730 号-1Suppr @ 2026

文献检索

告别复杂PubMed语法,用中文像聊天一样搜索,搜遍4000万医学文献。AI智能推荐,让科研检索更轻松。

立即免费搜索

文件翻译

保留排版,准确专业,支持PDF/Word/PPT等文件格式,支持 12+语言互译。

免费翻译文档

深度研究

AI帮你快速写综述,25分钟生成高质量综述,智能提取关键信息,辅助科研写作。

立即免费体验

研究石墨烯纳米片(GNPs)尺寸对聚氨酯气凝胶最终性能的影响:隔热与机械强度

Studying the Size-Dependence of Graphene Nanoplatelets (GNPs) in the Final Properties of Polyurethane Aerogels: Thermal Insulation and Mechanical Strength.

作者信息

Lledó Jaime, Martín-de León Judith, Gómez Álvarez-Arenas Tomás E, Rodríguez-Pérez Miguel Ángel, Merillas Beatriz

机构信息

Cellular Materials Laboratory (CellMat), Condensed Matter Physics Department, Faculty of Science, Campus Miguel Delibes, University of Valladolid, Paseo de Belén 7, 47011 Valladolid, Spain.

BioEcoUVA Research Institute on Bioeconomy, University of Valladolid, 47011 Valladolid, Spain.

出版信息

Gels. 2025 Jan 7;11(1):44. doi: 10.3390/gels11010044.

DOI:10.3390/gels11010044
PMID:39852015
原文链接:https://pmc.ncbi.nlm.nih.gov/articles/PMC11764653/
Abstract

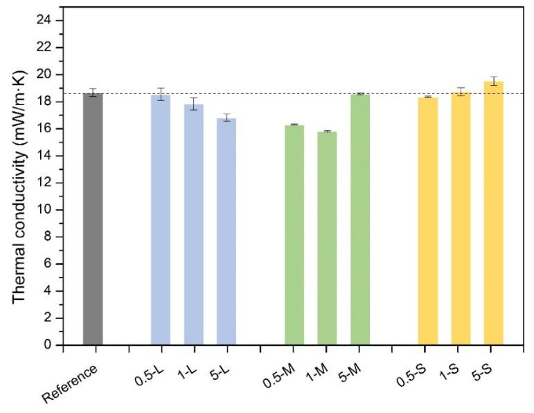
In the present work, the influence of the addition of graphene nanoplatelets presenting different dimensions on polyurethane-polyisocyanurate aerogel structure and properties has been studied. The obtained aerogels synthesized through a sol-gel method have been fully characterized in terms of density, porosity, specific surface area, mechanical stiffness, thermal conductivity, and speed of sound. Opacified aerogels showing high porosity (>92%) and low densities (78-98 kg/m) have been produced, and the effect of the size and content of graphene nanoplatelets has been studied. It has been observed that formulations with less than 5 wt.% of graphene nanoplatelets larger than 2 microns can effectively reduce the total thermal conductivity by absorption and scattering of the infrared radiation, reducing the heat transfer by this mechanism. The resulting opacified samples are highly insulating materials, with thermal conductivities less than 18 mW/m·K. Moreover, it has been observed that smaller particles with ca. 200 nm of average length can promote an increase in the elastic modulus, therefore obtaining stiffer aerogels, combined with thermal conductivities lower than 20 mW/m·K. Results have been studied in detail, providing a further understanding of the mechanisms for improving the final properties of these materials, making them more suitable for industrial applications.

摘要

在本研究中,已对添加具有不同尺寸的石墨烯纳米片对聚氨酯 - 聚异氰脲酸酯气凝胶结构和性能的影响进行了研究。通过溶胶 - 凝胶法合成的所得气凝胶已在密度、孔隙率、比表面积、机械刚度、热导率和声速方面进行了全面表征。已制备出具有高孔隙率(>92%)和低密度(78 - 98 kg/m³)的不透明气凝胶,并研究了石墨烯纳米片的尺寸和含量的影响。已观察到,石墨烯纳米片含量低于5 wt.%且尺寸大于2微米的配方可通过红外辐射的吸收和散射有效降低总热导率,从而通过该机制减少热传递。所得的不透明样品是高度绝缘的材料,热导率低于18 mW/m·K。此外,已观察到平均长度约为200 nm的较小颗粒可促进弹性模量的增加,从而获得更硬的气凝胶,同时热导率低于20 mW/m·K。已对结果进行了详细研究,进一步了解了改善这些材料最终性能的机制,使其更适合工业应用。

https://cdn.ncbi.nlm.nih.gov/pmc/blobs/ebb1/11764653/a704afc2da49/gels-11-00044-g015.jpg
https://cdn.ncbi.nlm.nih.gov/pmc/blobs/ebb1/11764653/b5c431a6fcf5/gels-11-00044-g001.jpg
https://cdn.ncbi.nlm.nih.gov/pmc/blobs/ebb1/11764653/788fe8a9eac9/gels-11-00044-g002.jpg
https://cdn.ncbi.nlm.nih.gov/pmc/blobs/ebb1/11764653/593c24c57429/gels-11-00044-g003.jpg
https://cdn.ncbi.nlm.nih.gov/pmc/blobs/ebb1/11764653/1154448184db/gels-11-00044-g004.jpg
https://cdn.ncbi.nlm.nih.gov/pmc/blobs/ebb1/11764653/625338ab2850/gels-11-00044-g005.jpg
https://cdn.ncbi.nlm.nih.gov/pmc/blobs/ebb1/11764653/2d771d10d651/gels-11-00044-g006.jpg
https://cdn.ncbi.nlm.nih.gov/pmc/blobs/ebb1/11764653/b55c99d08457/gels-11-00044-g007.jpg
https://cdn.ncbi.nlm.nih.gov/pmc/blobs/ebb1/11764653/629ec1039580/gels-11-00044-g008.jpg
https://cdn.ncbi.nlm.nih.gov/pmc/blobs/ebb1/11764653/87639495ddd1/gels-11-00044-g009.jpg
https://cdn.ncbi.nlm.nih.gov/pmc/blobs/ebb1/11764653/e772da459aea/gels-11-00044-g010.jpg
https://cdn.ncbi.nlm.nih.gov/pmc/blobs/ebb1/11764653/f8b2993de4b3/gels-11-00044-g011.jpg
https://cdn.ncbi.nlm.nih.gov/pmc/blobs/ebb1/11764653/20b09190fd25/gels-11-00044-g012.jpg
https://cdn.ncbi.nlm.nih.gov/pmc/blobs/ebb1/11764653/c0e6535c96c1/gels-11-00044-g013.jpg
https://cdn.ncbi.nlm.nih.gov/pmc/blobs/ebb1/11764653/900c0dff983d/gels-11-00044-g014.jpg
https://cdn.ncbi.nlm.nih.gov/pmc/blobs/ebb1/11764653/a704afc2da49/gels-11-00044-g015.jpg
https://cdn.ncbi.nlm.nih.gov/pmc/blobs/ebb1/11764653/b5c431a6fcf5/gels-11-00044-g001.jpg
https://cdn.ncbi.nlm.nih.gov/pmc/blobs/ebb1/11764653/788fe8a9eac9/gels-11-00044-g002.jpg
https://cdn.ncbi.nlm.nih.gov/pmc/blobs/ebb1/11764653/593c24c57429/gels-11-00044-g003.jpg
https://cdn.ncbi.nlm.nih.gov/pmc/blobs/ebb1/11764653/1154448184db/gels-11-00044-g004.jpg
https://cdn.ncbi.nlm.nih.gov/pmc/blobs/ebb1/11764653/625338ab2850/gels-11-00044-g005.jpg
https://cdn.ncbi.nlm.nih.gov/pmc/blobs/ebb1/11764653/2d771d10d651/gels-11-00044-g006.jpg
https://cdn.ncbi.nlm.nih.gov/pmc/blobs/ebb1/11764653/b55c99d08457/gels-11-00044-g007.jpg
https://cdn.ncbi.nlm.nih.gov/pmc/blobs/ebb1/11764653/629ec1039580/gels-11-00044-g008.jpg
https://cdn.ncbi.nlm.nih.gov/pmc/blobs/ebb1/11764653/87639495ddd1/gels-11-00044-g009.jpg
https://cdn.ncbi.nlm.nih.gov/pmc/blobs/ebb1/11764653/e772da459aea/gels-11-00044-g010.jpg
https://cdn.ncbi.nlm.nih.gov/pmc/blobs/ebb1/11764653/f8b2993de4b3/gels-11-00044-g011.jpg
https://cdn.ncbi.nlm.nih.gov/pmc/blobs/ebb1/11764653/20b09190fd25/gels-11-00044-g012.jpg
https://cdn.ncbi.nlm.nih.gov/pmc/blobs/ebb1/11764653/c0e6535c96c1/gels-11-00044-g013.jpg
https://cdn.ncbi.nlm.nih.gov/pmc/blobs/ebb1/11764653/900c0dff983d/gels-11-00044-g014.jpg
https://cdn.ncbi.nlm.nih.gov/pmc/blobs/ebb1/11764653/a704afc2da49/gels-11-00044-g015.jpg

相似文献

1
Studying the Size-Dependence of Graphene Nanoplatelets (GNPs) in the Final Properties of Polyurethane Aerogels: Thermal Insulation and Mechanical Strength.研究石墨烯纳米片(GNPs)尺寸对聚氨酯气凝胶最终性能的影响:隔热与机械强度
Gels. 2025 Jan 7;11(1):44. doi: 10.3390/gels11010044.
2
Super-Insulating Transparent Polyisocyanurate-Polyurethane Aerogels: Analysis of Thermal Conductivity and Mechanical Properties.超绝缘透明聚异氰脲酸酯-聚氨酯气凝胶:热导率和力学性能分析
Nanomaterials (Basel). 2022 Jul 14;12(14):2409. doi: 10.3390/nano12142409.
3
Improving the Insulating Capacity of Polyurethane Foams through Polyurethane Aerogel Inclusion: From Insulation to Superinsulation.通过引入聚氨酯气凝胶提高聚氨酯泡沫的绝缘能力:从绝缘到超级绝缘。
Nanomaterials (Basel). 2022 Jun 29;12(13):2232. doi: 10.3390/nano12132232.
4
Silica-Based Aerogel Composites Reinforced with Reticulated Polyurethane Foams: Thermal and Mechanical Properties.网状聚氨酯泡沫增强的二氧化硅基气凝胶复合材料:热性能和力学性能
Gels. 2022 Jun 21;8(7):392. doi: 10.3390/gels8070392.
5
In Situ Interface Design in Graphene-Embedded Polymeric Silica Aerogel with Organic/Inorganic Hybridization.具有有机/无机杂化的石墨烯嵌入聚合物二氧化硅气凝胶中的原位界面设计
ACS Appl Mater Interfaces. 2020 Jun 10;12(23):26635-26648. doi: 10.1021/acsami.0c04531. Epub 2020 May 27.
6
Strong, Machinable, and Insulating Chitosan-Urea Aerogels: Toward Ambient Pressure Drying of Biopolymer Aerogel Monoliths.高强度、可机械加工且具有绝缘性能的壳聚糖-尿素气凝胶:实现生物聚合物气凝胶整体的常压干燥。
ACS Appl Mater Interfaces. 2020 May 13;12(19):22037-22049. doi: 10.1021/acsami.0c03047. Epub 2020 Apr 30.
7
Fabrication of High-Performance Polyisocyanurate Aerogels through Cocyclotrimerization of 4,4'-Methylene Diphenyl Diisocyanate and Its Mono-Urethane Derivatives.通过4,4'-亚甲基二苯基二异氰酸酯及其单氨基甲酸酯衍生物的共环三聚反应制备高性能聚异氰脲酸酯气凝胶
ACS Appl Mater Interfaces. 2024 Jul 10;16(27):35604-35612. doi: 10.1021/acsami.4c07480. Epub 2024 Jun 26.
8
Mechanically Strong, Low Thermal Conductivity and Improved Thermal Stability Polyvinyl Alcohol-Graphene-Nanocellulose Aerogel.机械强度高、热导率低且热稳定性增强的聚乙烯醇-石墨烯-纳米纤维素气凝胶
Gels. 2021 Oct 15;7(4):170. doi: 10.3390/gels7040170.
9
Enhanced mechanical, thermal, and electric properties of graphene aerogels via supercritical ethanol drying and high-temperature thermal reduction.通过超临界乙醇干燥和高温热还原提高石墨烯气凝胶的机械、热和电性能。
Sci Rep. 2017 May 3;7(1):1439. doi: 10.1038/s41598-017-01601-x.
10
Study on Thermal Conductivities of Aromatic Polyimide Aerogels.芳香族聚酰亚胺气凝胶的热导率研究。
ACS Appl Mater Interfaces. 2016 May 25;8(20):12992-6. doi: 10.1021/acsami.6b02183. Epub 2016 May 13.

本文引用的文献

1
Microscopic revelation of the solid-gas coupling and Knudsen effect on the thermal conductivity of silica aerogel with inter-connected pores.微观揭示固体-气体耦合及克努森效应在具有相互连通孔隙的二氧化硅气凝胶热导率中的作用。
Sci Rep. 2022 Dec 5;12(1):21034. doi: 10.1038/s41598-022-24133-5.
2
Super-Insulating Transparent Polyisocyanurate-Polyurethane Aerogels: Analysis of Thermal Conductivity and Mechanical Properties.超绝缘透明聚异氰脲酸酯-聚氨酯气凝胶:热导率和力学性能分析
Nanomaterials (Basel). 2022 Jul 14;12(14):2409. doi: 10.3390/nano12142409.
3
A Brief Evaluation of Pore Structure Determination for Bioaerogels.
生物气凝胶孔隙结构测定的简要评估
Gels. 2022 Jul 13;8(7):438. doi: 10.3390/gels8070438.
4
Thermal Insulation Performance of Silica Aerogel Composites Doped with Hollow Opacifiers: Theoretical Approach.掺杂空心遮光剂的二氧化硅气凝胶复合材料的隔热性能:理论方法
Gels. 2022 May 10;8(5):295. doi: 10.3390/gels8050295.
5
Optical Properties of Polyisocyanurate-Polyurethane Aerogels: Study of the Scattering Mechanisms.聚异氰脲酸酯-聚氨酯气凝胶的光学性质:散射机制研究
Nanomaterials (Basel). 2022 Apr 30;12(9):1522. doi: 10.3390/nano12091522.
6
The effect of graphene-nanoplatelets on gelation and structural integrity of a polyvinyltrimethoxysilane-based aerogel.石墨烯纳米片对基于聚乙烯基三甲氧基硅烷的气凝胶凝胶化和结构完整性的影响。
RSC Adv. 2019 Apr 12;9(20):11503-11520. doi: 10.1039/c9ra00994a. eCollection 2019 Apr 9.
7
Polyurethane Aerogels Based on Cyclodextrins: High-Capacity Desiccants Regenerated at Room Temperature by Reducing the Relative Humidity of the Environment.基于环糊精的聚氨酯气凝胶:通过降低环境的相对湿度在室温下再生的高容量干燥剂。
ACS Appl Mater Interfaces. 2019 Sep 18;11(37):34292-34304. doi: 10.1021/acsami.9b10755. Epub 2019 Sep 6.
8
Hierarchical Porous Polyamide 6 by Solution Foaming: Synthesis, Characterization and Properties.溶液发泡法制备的分级多孔聚酰胺6:合成、表征与性能
Polymers (Basel). 2018 Nov 27;10(12):1310. doi: 10.3390/polym10121310.
9
Thermal conductivity of monolithic organic aerogels.整体有机气凝胶的导热系数。
Science. 1992 Feb 21;255(5047):971-2. doi: 10.1126/science.255.5047.971.