Suppr超能文献

术前全免疫炎症值指数对接受根治性切除的口腔癌患者预后的预测价值

Predictive value of preoperative pan-immune-inflammation value index in the prognosis of oral cancer patients undergoing radical resection.

作者信息

Huang Weihai, Lin Yulan, Xu Enling, Ji Yanmei, Wang Jing, Liu Fengqiong, Chen Fa, Qiu Yu, Shi Bin, Lin Lisong, He Baochang

机构信息

Department of Epidemiology and Health Statistics, Fujian Provincial Key Laboratory of Environment Factors and Cancer, School of Public Health, Fujian Medical University, Fujian, China.

Key Laboratory of the Ministry of Education for Gastrointestinal Cancer, Fujian Medical University, Fujian, China.

出版信息

BMC Oral Health. 2025 Jan 24;25(1):132. doi: 10.1186/s12903-025-05477-6.

Abstract

BACKGROUND

To evaluate the prognostic role of the preoperative pan-immune-inflammation value (PIV) index in patients with oral squamous cell carcinoma (OSCC) after undergoing radical resection and to develop a prognostic prediction model for these patients.

METHODS

A large cohort study was conducted between January 2015 and March 2022. Univariate and multivariate Cox regression was used to assess the prognostic value of PIV, and propensity score matching (PSM) analysis was used to adjust for potential confounders. Randomized survival forest (RSF) was used to assess the relative importance of preoperative PIV in prognostic prediction. Finally, a Nomogram model was plotted to predict the prognosis of oral cancer patients.

RESULTS

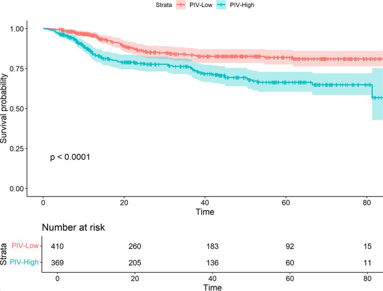
A total of 779 patients were enrolled and followed up (mean follow-up time 34.14 ± 24.39). High PIV was significantly associated with worse survival in OSCC patients (hazard ratio [HR] = 1.62, 95% confidence interval [CI]: 1.15-2.29, P = 0.006). The same trend was observed in PSM (HR = 1.55,95% CI: 1.03-2.23, P = 0.035). RSF showed that PIV ranked third in the importance ranking of all prognostic factors. The calibration curves indicated that the Nomogram model was superior in predicting the prognostic 1-, 3-, and 5-year survival of oral cancer patients.

CONCLUSIONS

PIV is an independent predictor of prognosis in patients with oral squamous cell carcinoma, and a column-line graphical model based on PIV can effectively predict prognosis.

摘要

背景

评估术前全免疫炎症值(PIV)指数在口腔鳞状细胞癌(OSCC)患者根治性切除术后的预后作用,并为这些患者建立预后预测模型。

方法

于2015年1月至2022年3月进行了一项大型队列研究。采用单因素和多因素Cox回归评估PIV的预后价值,并采用倾向评分匹配(PSM)分析来调整潜在混杂因素。使用随机生存森林(RSF)评估术前PIV在预后预测中的相对重要性。最后,绘制列线图模型以预测口腔癌患者的预后。

结果

共纳入779例患者并进行随访(平均随访时间34.14±24.39)。高PIV与OSCC患者较差的生存率显著相关(风险比[HR]=1.62,95%置信区间[CI]:1.15-2.29,P=0.006)。在PSM中也观察到相同趋势(HR=1.55,95%CI:1.03-2.23,P=0.035)。RSF显示PIV在所有预后因素的重要性排名中位列第三。校准曲线表明列线图模型在预测口腔癌患者的1年、3年和5年生存率方面更具优势。

结论

PIV是口腔鳞状细胞癌患者预后的独立预测指标,基于PIV的列线图模型能够有效预测预后。

https://cdn.ncbi.nlm.nih.gov/pmc/blobs/1019/11761202/2c1164b1264e/12903_2025_5477_Fig1_HTML.jpg

文献检索

告别复杂PubMed语法,用中文像聊天一样搜索,搜遍4000万医学文献。AI智能推荐,让科研检索更轻松。

立即免费搜索

文件翻译

保留排版,准确专业,支持PDF/Word/PPT等文件格式,支持 12+语言互译。

免费翻译文档

深度研究

AI帮你快速写综述,25分钟生成高质量综述,智能提取关键信息,辅助科研写作。

立即免费体验