Suppr超能文献

原发性结直肠癌的 、 和 热点突变与左右侧性的关系:一项回顾性队列研究 。 (你提供的原文中前面有几个逗号单独存在,表述不太完整准确,这可能会影响对整体内容的理解。)

, , and Hot-Spot Mutations in Relation to Sidedness of Primary Colorectal Cancer: A Retrospective Cohort Study.

作者信息

Abdelgadir Omer, Kuo Yong-Fang, Okorodudu Anthony O, Khan M Firoze, Cheng Yu-Wei, Dong Jianli

机构信息

Graduate School of Biomedical Science, University of Texas Medical Branch, Galveston, TX 77555, USA.

School of Public and Population Health, University of Texas Medical Branch, Galveston, TX 77555, USA.

出版信息

Diagnostics (Basel). 2025 Jan 9;15(2):142. doi: 10.3390/diagnostics15020142.

Abstract

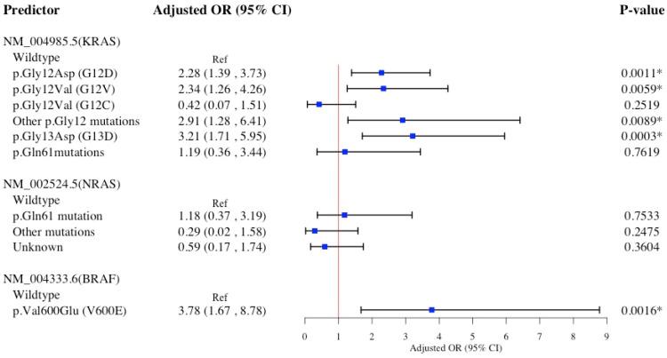
Studies have shown an association between colorectal cancer (CRC) sidedness and gene mutations that may affect CRC clinical behavior. This study examined the association between specific , , and hot-spot mutations and primary CRC sidedness. We performed a retrospective cohort analysis of 722 patients diagnosed with primary CRC and tested for , , and hot-spot mutations at the University of Texas Medical Branch (UTMB) from January 2016 through July 2023. Multivariable logistic regressions analyses were conducted. , , and hot-spot mutations rates were 37.8%, 4.6%, and 6.1%, respectively. Right-sided primary CRC had the highest prevalence of mutated tumors (64%). and hot-spot mutations were significantly different according to tumor sidedness. p.Gly12Asp, p.Gly12Val, and p.Gly13Asp showed a significantly increased likelihood of right-sided primary CRC compared to wildtype, 128%, 134%, and 221% higher, respectively. Conversely, p.Gly12Val and p.Gly13Asp mutations were associated with decreased likelihood of rectal cancer (53% lower) and left-sided tumors (56% lower), respectively. p.Val600Glu mutation, as opposed to wildtype, was associated with a 278% higher likelihood of right-sided CRC. No significant associations were observed between mutations and primary CRC sidedness. In primary CRC, specific mutations in (p.Gly12Asp, p.Gly12Val, and p.Gly13Asp) and p.Val600Glu were associated with increased likelihood of right-sided tumors. p.Gly12Val and p.Gly13Asp mutations were associated with decreased likelihood of rectal cancer and left-sided tumors, respectively. These findings suggest that tumorigenesis and mutational processes differ based on tumor sidedness. Further studies are needed to substantiate these findings.

摘要

研究表明,结直肠癌(CRC)的发病部位与可能影响CRC临床行为的基因突变之间存在关联。本研究探讨了特定的、、和热点突变与原发性CRC发病部位之间的关联。我们对2016年1月至2023年7月在德克萨斯大学医学分部(UTMB)诊断为原发性CRC并检测了、、和热点突变的722例患者进行了回顾性队列分析。进行了多变量逻辑回归分析。、、和热点突变率分别为37.8%、4.6%和6.1%。右侧原发性CRC中突变肿瘤的患病率最高(64%)。和热点突变根据肿瘤发病部位有显著差异。与野生型相比,p.Gly12Asp、p.Gly12Val和p.Gly13Asp显示右侧原发性CRC的可能性显著增加,分别高出128%、134%和221%。相反,p.Gly12Val和p.Gly13Asp突变分别与直肠癌(降低53%)和左侧肿瘤(降低56%)的可能性降低有关。与野生型相比,p.Val600Glu突变与右侧CRC的可能性高出278%有关。未观察到突变与原发性CRC发病部位之间的显著关联。在原发性CRC中,(p.Gly12Asp、p.Gly12Val和p.Gly13Asp)的特定突变和p.Val600Glu与右侧肿瘤的可能性增加有关。p.Gly12Val和p.Gly13Asp突变分别与直肠癌和左侧肿瘤的可能性降低有关。这些发现表明,肿瘤发生和突变过程因肿瘤发病部位而异。需要进一步的研究来证实这些发现。

https://cdn.ncbi.nlm.nih.gov/pmc/blobs/774c/11763696/f98a88757ea5/diagnostics-15-00142-g001.jpg

文献检索

告别复杂PubMed语法,用中文像聊天一样搜索,搜遍4000万医学文献。AI智能推荐,让科研检索更轻松。

立即免费搜索

文件翻译

保留排版,准确专业,支持PDF/Word/PPT等文件格式,支持 12+语言互译。

免费翻译文档

深度研究

AI帮你快速写综述,25分钟生成高质量综述,智能提取关键信息,辅助科研写作。

立即免费体验