• 文献检索
  • 文档翻译
  • 深度研究
  • 学术资讯
  • Suppr Zotero 插件Zotero 插件
  • 邀请有礼
  • 套餐&价格
  • 历史记录
应用&插件
Suppr Zotero 插件Zotero 插件浏览器插件Mac 客户端Windows 客户端微信小程序
定价
高级版会员购买积分包购买API积分包
服务
文献检索文档翻译深度研究API 文档MCP 服务
关于我们
关于 Suppr公司介绍联系我们用户协议隐私条款
关注我们

Suppr 超能文献

核心技术专利:CN118964589B侵权必究
粤ICP备2023148730 号-1Suppr @ 2026

文献检索

告别复杂PubMed语法,用中文像聊天一样搜索,搜遍4000万医学文献。AI智能推荐,让科研检索更轻松。

立即免费搜索

文件翻译

保留排版,准确专业,支持PDF/Word/PPT等文件格式,支持 12+语言互译。

免费翻译文档

深度研究

AI帮你快速写综述,25分钟生成高质量综述,智能提取关键信息,辅助科研写作。

立即免费体验

具有输出误差约束的双臂机器人位置和力跟踪的规定时间控制

Prescribed time control of position and force tracking for dualarm robots with output error constraints.

作者信息

Hu Heyu, Wen Shengjun, Yu Jun

机构信息

Zhongyuan University of Technology, Zhengzhou, 450007, China.

出版信息

Sci Rep. 2025 Jan 25;15(1):3170. doi: 10.1038/s41598-025-86783-5.

DOI:10.1038/s41598-025-86783-5
PMID:39863670
原文链接:https://pmc.ncbi.nlm.nih.gov/articles/PMC11763265/
Abstract

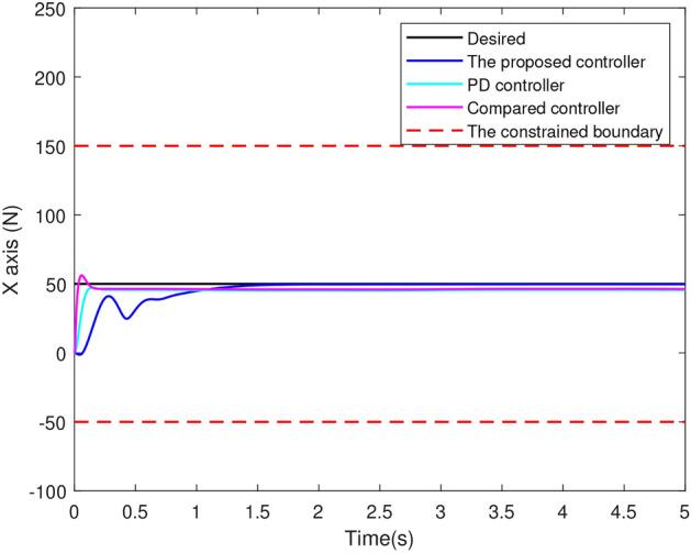
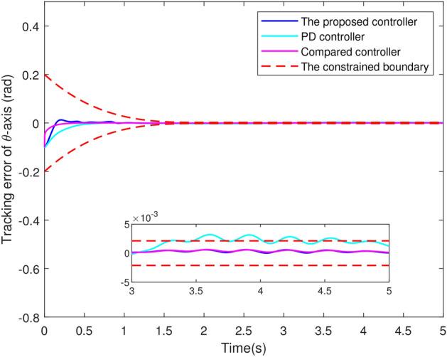
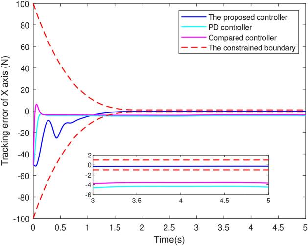
This paper studies the practical prescribed-time control problem for dual-arm robots handling an object with output constraints. Firstly, by utilizing the property that the sum of internal forces in the grasping space is zero, the system model is obtained and decomposed into the contact force model and free motion model, which are orthogonal to each other. Furthermore, by combining the performance function and constraint function, the original system tracking error is transformed to a new one, whose boundedness can ensure that the original system variable converges to the predetermined range within the specified time. Then, a comprehensive neuroadaptive controller including position control term and contact control force control term is designed. Finally, the simulation results of two planar three link robots working together on a common object verify the effectiveness and superiority.

摘要

本文研究了具有输出约束的双臂机器人操作物体的实际预设时间控制问题。首先,利用抓取空间内力的总和为零这一特性,获得系统模型并将其分解为相互正交的接触力模型和自由运动模型。此外,通过结合性能函数和约束函数,将原系统跟踪误差转化为一个新的跟踪误差,其有界性可确保原系统变量在规定时间内收敛到预定范围。然后,设计了一种包括位置控制项和接触控制力控制项的综合神经自适应控制器。最后,两个平面三连杆机器人共同操作一个公共物体的仿真结果验证了该方法的有效性和优越性。

https://cdn.ncbi.nlm.nih.gov/pmc/blobs/18dc/11763265/6a9cd6b9109f/41598_2025_86783_Fig18_HTML.jpg
https://cdn.ncbi.nlm.nih.gov/pmc/blobs/18dc/11763265/00cc953467b8/41598_2025_86783_Fig1_HTML.jpg
https://cdn.ncbi.nlm.nih.gov/pmc/blobs/18dc/11763265/9555597baf6e/41598_2025_86783_Fig2_HTML.jpg
https://cdn.ncbi.nlm.nih.gov/pmc/blobs/18dc/11763265/ded8b80c254f/41598_2025_86783_Fig3_HTML.jpg
https://cdn.ncbi.nlm.nih.gov/pmc/blobs/18dc/11763265/832dcee865c8/41598_2025_86783_Fig4_HTML.jpg
https://cdn.ncbi.nlm.nih.gov/pmc/blobs/18dc/11763265/9d8ba6970778/41598_2025_86783_Fig5_HTML.jpg
https://cdn.ncbi.nlm.nih.gov/pmc/blobs/18dc/11763265/e4a8c7af0be3/41598_2025_86783_Fig6_HTML.jpg
https://cdn.ncbi.nlm.nih.gov/pmc/blobs/18dc/11763265/fd3589252e04/41598_2025_86783_Fig7_HTML.jpg
https://cdn.ncbi.nlm.nih.gov/pmc/blobs/18dc/11763265/0cbc4496f59b/41598_2025_86783_Fig8_HTML.jpg
https://cdn.ncbi.nlm.nih.gov/pmc/blobs/18dc/11763265/90291c8db73c/41598_2025_86783_Fig9_HTML.jpg
https://cdn.ncbi.nlm.nih.gov/pmc/blobs/18dc/11763265/e61ebd8f337e/41598_2025_86783_Fig10_HTML.jpg
https://cdn.ncbi.nlm.nih.gov/pmc/blobs/18dc/11763265/acdac0b8cf5c/41598_2025_86783_Fig11_HTML.jpg
https://cdn.ncbi.nlm.nih.gov/pmc/blobs/18dc/11763265/aaac5343b0bd/41598_2025_86783_Fig12_HTML.jpg
https://cdn.ncbi.nlm.nih.gov/pmc/blobs/18dc/11763265/15b8ed856802/41598_2025_86783_Fig13_HTML.jpg
https://cdn.ncbi.nlm.nih.gov/pmc/blobs/18dc/11763265/def0f1214e71/41598_2025_86783_Fig14_HTML.jpg
https://cdn.ncbi.nlm.nih.gov/pmc/blobs/18dc/11763265/c81376b0f3b0/41598_2025_86783_Fig15_HTML.jpg
https://cdn.ncbi.nlm.nih.gov/pmc/blobs/18dc/11763265/41e61d091c28/41598_2025_86783_Fig16_HTML.jpg
https://cdn.ncbi.nlm.nih.gov/pmc/blobs/18dc/11763265/35380676cf03/41598_2025_86783_Fig17_HTML.jpg
https://cdn.ncbi.nlm.nih.gov/pmc/blobs/18dc/11763265/6a9cd6b9109f/41598_2025_86783_Fig18_HTML.jpg
https://cdn.ncbi.nlm.nih.gov/pmc/blobs/18dc/11763265/00cc953467b8/41598_2025_86783_Fig1_HTML.jpg
https://cdn.ncbi.nlm.nih.gov/pmc/blobs/18dc/11763265/9555597baf6e/41598_2025_86783_Fig2_HTML.jpg
https://cdn.ncbi.nlm.nih.gov/pmc/blobs/18dc/11763265/ded8b80c254f/41598_2025_86783_Fig3_HTML.jpg
https://cdn.ncbi.nlm.nih.gov/pmc/blobs/18dc/11763265/832dcee865c8/41598_2025_86783_Fig4_HTML.jpg
https://cdn.ncbi.nlm.nih.gov/pmc/blobs/18dc/11763265/9d8ba6970778/41598_2025_86783_Fig5_HTML.jpg
https://cdn.ncbi.nlm.nih.gov/pmc/blobs/18dc/11763265/e4a8c7af0be3/41598_2025_86783_Fig6_HTML.jpg
https://cdn.ncbi.nlm.nih.gov/pmc/blobs/18dc/11763265/fd3589252e04/41598_2025_86783_Fig7_HTML.jpg
https://cdn.ncbi.nlm.nih.gov/pmc/blobs/18dc/11763265/0cbc4496f59b/41598_2025_86783_Fig8_HTML.jpg
https://cdn.ncbi.nlm.nih.gov/pmc/blobs/18dc/11763265/90291c8db73c/41598_2025_86783_Fig9_HTML.jpg
https://cdn.ncbi.nlm.nih.gov/pmc/blobs/18dc/11763265/e61ebd8f337e/41598_2025_86783_Fig10_HTML.jpg
https://cdn.ncbi.nlm.nih.gov/pmc/blobs/18dc/11763265/acdac0b8cf5c/41598_2025_86783_Fig11_HTML.jpg
https://cdn.ncbi.nlm.nih.gov/pmc/blobs/18dc/11763265/aaac5343b0bd/41598_2025_86783_Fig12_HTML.jpg
https://cdn.ncbi.nlm.nih.gov/pmc/blobs/18dc/11763265/15b8ed856802/41598_2025_86783_Fig13_HTML.jpg
https://cdn.ncbi.nlm.nih.gov/pmc/blobs/18dc/11763265/def0f1214e71/41598_2025_86783_Fig14_HTML.jpg
https://cdn.ncbi.nlm.nih.gov/pmc/blobs/18dc/11763265/c81376b0f3b0/41598_2025_86783_Fig15_HTML.jpg
https://cdn.ncbi.nlm.nih.gov/pmc/blobs/18dc/11763265/41e61d091c28/41598_2025_86783_Fig16_HTML.jpg
https://cdn.ncbi.nlm.nih.gov/pmc/blobs/18dc/11763265/35380676cf03/41598_2025_86783_Fig17_HTML.jpg
https://cdn.ncbi.nlm.nih.gov/pmc/blobs/18dc/11763265/6a9cd6b9109f/41598_2025_86783_Fig18_HTML.jpg

相似文献

1
Prescribed time control of position and force tracking for dualarm robots with output error constraints.具有输出误差约束的双臂机器人位置和力跟踪的规定时间控制
Sci Rep. 2025 Jan 25;15(1):3170. doi: 10.1038/s41598-025-86783-5.
2
Adaptive variable impedance control of dual-arm robots for slabstone installation.用于石板安装的双臂机器人自适应可变阻抗控制
ISA Trans. 2022 Sep;128(Pt A):397-408. doi: 10.1016/j.isatra.2021.10.020. Epub 2021 Oct 25.
3
Dual-Arm Coordinated Control Strategy Based on Modified Sliding Mode Impedance Controller.基于改进滑模阻抗控制器的双臂协调控制策略
Sensors (Basel). 2021 Jul 7;21(14):4653. doi: 10.3390/s21144653.
4
Semi-decentralized adaptive fuzzy control for cooperative multirobot systems with H(infinity) motion/internal force tracking performance.具有H无穷运动/内力跟踪性能的协同多机器人系统的半分散自适应模糊控制
IEEE Trans Syst Man Cybern B Cybern. 2002;32(3):269-80. doi: 10.1109/TSMCB.2002.999804.
5
Uniform-performance-constrained fixed-time neuro-control for stochastic nonlinear systems under dynamic event triggering.
ISA Trans. 2025 Mar;158:73-86. doi: 10.1016/j.isatra.2025.01.035. Epub 2025 Jan 28.
6
Stable force control and contact transition of a single link flexible robot using a fractional-order controller.基于分数阶控制器的单连杆柔性机器人稳定力控制与接触过渡
ISA Trans. 2019 Jun;89:139-157. doi: 10.1016/j.isatra.2018.12.031. Epub 2019 Feb 5.
7
Multilateral Telecoordinated Control of Multiple Robots With Uncertain Kinematics.具有不确定运动学的多机器人多边远程协调控制
IEEE Trans Neural Netw Learn Syst. 2018 Jul;29(7):2808-2822. doi: 10.1109/TNNLS.2017.2705115. Epub 2017 Jun 6.
8
Robust adaptive motion/force control scheme for crawler-type mobile manipulator with nonholonomic constraint based on sliding mode control approach.基于滑模控制方法的非完整约束履带式移动机械手的鲁棒自适应运动/力控制方案。
ISA Trans. 2019 Sep;92:166-179. doi: 10.1016/j.isatra.2019.02.009. Epub 2019 Feb 25.
9
On position/force tracking control problem of cooperative robot manipulators using adaptive fuzzy backstepping approach.基于自适应模糊反步法的协作机器人机械手位置/力跟踪控制问题
ISA Trans. 2017 Sep;70:432-446. doi: 10.1016/j.isatra.2017.07.029. Epub 2017 Aug 8.
10
Distributed adaptive sliding-mode control for 2-D plane vehicle platoon with prescribed performance and angle constraint.具有规定性能和角度约束的二维平面车辆编队分布式自适应滑模控制
ISA Trans. 2024 Feb;145:44-50. doi: 10.1016/j.isatra.2023.12.010. Epub 2023 Dec 7.

本文引用的文献

1
An intelligent fuzzy-particle swarm optimization supervisory-based control of robot manipulator for industrial welding applications.基于智能模糊粒子群优化的机器人焊接应用监督式控制。
Sci Rep. 2023 May 22;13(1):8253. doi: 10.1038/s41598-023-35189-2.
2
Adaptive neural network prescribed performance control for dual switching nonlinear time-delay system.自适应神经网络规定性能控制双切换非线性时滞系统。
Sci Rep. 2023 May 19;13(1):8132. doi: 10.1038/s41598-023-35307-0.
3
Adaptive nonsingular terminal sliding mode control of robot manipulator based on contour error compensation.
基于轮廓误差补偿的机器人机械臂自适应非奇异终端滑模控制。
Sci Rep. 2023 Jan 6;13(1):330. doi: 10.1038/s41598-023-27633-0.
4
Control of a two-DOF parallel robot with unknown parameters using a novel robust adaptive approach.
ISA Trans. 2021 Nov;117:70-84. doi: 10.1016/j.isatra.2021.02.001. Epub 2021 Feb 22.
5
On position/force tracking control problem of cooperative robot manipulators using adaptive fuzzy backstepping approach.基于自适应模糊反步法的协作机器人机械手位置/力跟踪控制问题
ISA Trans. 2017 Sep;70:432-446. doi: 10.1016/j.isatra.2017.07.029. Epub 2017 Aug 8.
6
Adaptive Neural Network Control of a Marine Vessel With Constraints Using the Asymmetric Barrier Lyapunov Function.基于非对称障碍李雅普诺夫函数的带约束船舶自适应神经网络控制。
IEEE Trans Cybern. 2017 Jul;47(7):1641-1651. doi: 10.1109/TCYB.2016.2554621. Epub 2016 May 11.
7
Finite-time sliding surface constrained control for a robot manipulator with an unknown deadzone and disturbance.具有未知死区和干扰的机器人机械手的有限时间滑模面约束控制
ISA Trans. 2016 Nov;65:307-318. doi: 10.1016/j.isatra.2016.07.013. Epub 2016 Aug 16.
8
Neural Network Control-Based Adaptive Learning Design for Nonlinear Systems With Full-State Constraints.基于神经网络控制的非线性系统全状态约束自适应学习设计。
IEEE Trans Neural Netw Learn Syst. 2016 Jul;27(7):1562-71. doi: 10.1109/TNNLS.2015.2508926. Epub 2016 Mar 9.
9
Neuro-adaptive force/position control with prescribed performance and guaranteed contact maintenance.
IEEE Trans Neural Netw. 2010 Dec;21(12):1857-68. doi: 10.1109/TNN.2010.2076302. Epub 2010 Oct 4.
10
Adaptive neural control for output feedback nonlinear systems using a barrier Lyapunov function.基于障碍Lyapunov函数的输出反馈非线性系统自适应神经控制
IEEE Trans Neural Netw. 2010 Aug;21(8):1339-45. doi: 10.1109/TNN.2010.2047115. Epub 2010 Jul 1.