• 文献检索
  • 文档翻译
  • 深度研究
  • 学术资讯
  • Suppr Zotero 插件Zotero 插件
  • 邀请有礼
  • 套餐&价格
  • 历史记录
应用&插件
Suppr Zotero 插件Zotero 插件浏览器插件Mac 客户端Windows 客户端微信小程序
定价
高级版会员购买积分包购买API积分包
服务
文献检索文档翻译深度研究API 文档MCP 服务
关于我们
关于 Suppr公司介绍联系我们用户协议隐私条款
关注我们

Suppr 超能文献

核心技术专利:CN118964589B侵权必究
粤ICP备2023148730 号-1Suppr @ 2026

文献检索

告别复杂PubMed语法,用中文像聊天一样搜索,搜遍4000万医学文献。AI智能推荐,让科研检索更轻松。

立即免费搜索

文件翻译

保留排版,准确专业,支持PDF/Word/PPT等文件格式,支持 12+语言互译。

免费翻译文档

深度研究

AI帮你快速写综述,25分钟生成高质量综述,智能提取关键信息,辅助科研写作。

立即免费体验

ICU 心力衰竭患者乳酸脱氢酶水平与全因死亡率之间的关联:MIMIC-IV 数据库的回顾性分析

Association between lactate dehydrogenase levels and all-cause mortality in ICU patients with heart failure: a retrospective analysis of the MIMIC-IV database.

作者信息

Guo Panxu, Ding Hongfu, Li Xiaowan, Xie Danying, Wang Ke, Su Wanmin, Yang XiaoJuan, Nie Fang, Wang Peixi

机构信息

Nanhai Family Practice Hospital, Foshan, Guangdong, 528200, People's Republic of China.

School of Nursing and Health, Henan University, Kaifeng, Henan, 475004, People's Republic of China.

出版信息

BMC Cardiovasc Disord. 2025 Jan 29;25(1):62. doi: 10.1186/s12872-025-04513-1.

DOI:10.1186/s12872-025-04513-1
PMID:39875834
原文链接:https://pmc.ncbi.nlm.nih.gov/articles/PMC11776202/
Abstract

BACKGROUND

Heart failure (HF) patients admitted to the intensive care unit (ICU) often face high short-term mortality rates. This study aims to investigate the relationship between lactate dehydrogenase (LDH) levels and all-cause mortality in critically ill patients with HF.

METHODS

Data from the MIMIC-IV database were extracted for subjects eligible for HF diagnosis. We utilized the restricted cubic spline (RCS) method, Kaplan-Meier (K-M) survival curves, and Cox regression analysis to assess the association between lactate dehydrogenase (LDH) levels and all-cause mortality in HF patients. Overlap weighting (OW) and subgroup analysis were employed to enhance the robustness and reliability of the study.

RESULTS

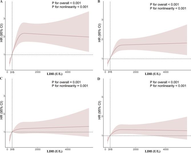
A total of 3,065 subjects were enrolled in this study. RCS analysis revealed a nonlinear relationship between LDH levels and the risk of all-cause mortality in critically ill patients with HF, with a hazard ratio (HR) > 1 when LDH exceeded 315 U/L. The K-M survival curve indicated lower survival rates and shorter survival times in subjects with LDH ≥ 315 U/L. Elevated LDH levels were independently associated with increased in-hospital and 1-year mortality rates, with adjusted HR of 1.39 (95% CI: 1.16, 1.67) and 1.29 (95% CI: 1.14, 1.45), respectively. The results remained consistently robust in the OW analyses.

CONCLUSIONS

Elevated LDH levels were significantly associated with an increased risk of all-cause mortality in ICU-admitted HF patients. Further randomized trials are needed to confirm this association.

摘要

背景

入住重症监护病房(ICU)的心力衰竭(HF)患者往往面临较高的短期死亡率。本研究旨在探讨乳酸脱氢酶(LDH)水平与重症HF患者全因死亡率之间的关系。

方法

从MIMIC-IV数据库中提取符合HF诊断标准的受试者数据。我们采用受限立方样条(RCS)法、Kaplan-Meier(K-M)生存曲线和Cox回归分析来评估HF患者乳酸脱氢酶(LDH)水平与全因死亡率之间的关联。采用重叠加权(OW)和亚组分析来增强研究的稳健性和可靠性。

结果

本研究共纳入3065名受试者。RCS分析显示,在重症HF患者中,LDH水平与全因死亡风险之间存在非线性关系,当LDH超过315 U/L时,风险比(HR)>1。K-M生存曲线表明,LDH≥315 U/L的受试者生存率较低,生存时间较短。LDH水平升高与住院死亡率和1年死亡率增加独立相关,调整后的HR分别为1.39(95%CI:1.16,1.67)和1.29(95%CI:1.14,1.45)。在OW分析中,结果始终保持稳健。

结论

LDH水平升高与入住ICU的HF患者全因死亡风险增加显著相关。需要进一步的随机试验来证实这种关联。

https://cdn.ncbi.nlm.nih.gov/pmc/blobs/eb13/11776202/f1c41be4b34e/12872_2025_4513_Fig5_HTML.jpg
https://cdn.ncbi.nlm.nih.gov/pmc/blobs/eb13/11776202/20348af7976a/12872_2025_4513_Fig1_HTML.jpg
https://cdn.ncbi.nlm.nih.gov/pmc/blobs/eb13/11776202/68d23eb04b32/12872_2025_4513_Fig2_HTML.jpg
https://cdn.ncbi.nlm.nih.gov/pmc/blobs/eb13/11776202/d0d186d0346e/12872_2025_4513_Fig3_HTML.jpg
https://cdn.ncbi.nlm.nih.gov/pmc/blobs/eb13/11776202/be812dadd052/12872_2025_4513_Fig4_HTML.jpg
https://cdn.ncbi.nlm.nih.gov/pmc/blobs/eb13/11776202/f1c41be4b34e/12872_2025_4513_Fig5_HTML.jpg
https://cdn.ncbi.nlm.nih.gov/pmc/blobs/eb13/11776202/20348af7976a/12872_2025_4513_Fig1_HTML.jpg
https://cdn.ncbi.nlm.nih.gov/pmc/blobs/eb13/11776202/68d23eb04b32/12872_2025_4513_Fig2_HTML.jpg
https://cdn.ncbi.nlm.nih.gov/pmc/blobs/eb13/11776202/d0d186d0346e/12872_2025_4513_Fig3_HTML.jpg
https://cdn.ncbi.nlm.nih.gov/pmc/blobs/eb13/11776202/be812dadd052/12872_2025_4513_Fig4_HTML.jpg
https://cdn.ncbi.nlm.nih.gov/pmc/blobs/eb13/11776202/f1c41be4b34e/12872_2025_4513_Fig5_HTML.jpg

相似文献

1
Association between lactate dehydrogenase levels and all-cause mortality in ICU patients with heart failure: a retrospective analysis of the MIMIC-IV database.ICU 心力衰竭患者乳酸脱氢酶水平与全因死亡率之间的关联:MIMIC-IV 数据库的回顾性分析
BMC Cardiovasc Disord. 2025 Jan 29;25(1):62. doi: 10.1186/s12872-025-04513-1.
2
The impact of the lactate-to-albumin ratio on long-term mortality risk in patients with severe heart failure and type 2 diabetes.乳酸与白蛋白比值对重度心力衰竭合并2型糖尿病患者长期死亡风险的影响。
BMC Cardiovasc Disord. 2025 Mar 29;25(1):234. doi: 10.1186/s12872-025-04612-z.
3
The relationship between hemoglobin glycation index and all-cause mortality in ill critically patients with heart failure: a retrospective study in MIMIC-IV database.危重症心力衰竭患者血红蛋白糖化指数与全因死亡率的关系:一项基于MIMIC-IV数据库的回顾性研究
BMC Cardiovasc Disord. 2025 Apr 24;25(1):317. doi: 10.1186/s12872-025-04711-x.
4
Association between lactate dehydrogenase and 28-day all-cause mortality in patients with non-traumatic intracerebral hemorrhage: A retrospective analysisof the MIMIC-IV database.非创伤性脑出血患者乳酸脱氢酶与28天全因死亡率的关联:MIMIC-IV数据库的回顾性分析
Biomol Biomed. 2025 Jan 30;25(3):663-671. doi: 10.17305/bb.2024.11189.
5
Association of hemoglobin-to-red blood cell distribution width ratio with mortality in critically Ill patients with heart failure and acute kidney injury: insights from the MIMIC-IV database.血红蛋白与红细胞分布宽度比值与重症心力衰竭合并急性肾损伤患者死亡率的关联:来自MIMIC-IV数据库的见解
BMC Cardiovasc Disord. 2025 Mar 25;25(1):214. doi: 10.1186/s12872-025-04632-9.
6
The relationship between serum anion gap levels and short-, medium-, and long-term all-cause mortality in ICU patients with congestive heart failure: a retrospective cohort study.充血性心力衰竭 ICU 患者血清阴离子间隙水平与短期、中期和长期全因死亡率的关系:一项回顾性队列研究。
Acta Cardiol. 2024 Aug;79(6):705-719. doi: 10.1080/00015385.2024.2371627. Epub 2024 Jul 2.
7
Independent prognostic importance of the albumin-corrected anion gap in critically ill patients with congestive heart failure: a retrospective study from MIMIC-IV database.白蛋白校正阴离子间隙在充血性心力衰竭危重症患者中的独立预后重要性:一项来自MIMIC-IV数据库的回顾性研究
BMC Cardiovasc Disord. 2024 Dec 20;24(1):735. doi: 10.1186/s12872-024-04422-9.
8
Association between the lactate dehydrogenase-to-albumin ratio and 28-day mortality in septic patients with malignancies: analysis of the MIMIC-IV database.恶性肿瘤脓毒症患者乳酸脱氢酶与白蛋白比值和28天死亡率的关联:MIMIC-IV数据库分析
BMC Cancer. 2025 Apr 8;25(1):637. doi: 10.1186/s12885-025-14013-2.
9
Association between stress hyperglycemia ratio index and all-cause mortality in critically ill patients with atrial fibrillation: a retrospective study using the MIMIC-IV database.基于 MIMIC-IV 数据库的回顾性研究:危重症房颤患者应激性高血糖比值指数与全因死亡率的相关性。
Cardiovasc Diabetol. 2024 Oct 14;23(1):363. doi: 10.1186/s12933-024-02462-1.
10
U-shaped association between triglyceride-glucose index and all-cause mortality among critically ill pediatrics: a population-based retrospective cohort study.危重症儿科患者三酰甘油-葡萄糖指数与全因死亡率之间的 U 型关联:基于人群的回顾性队列研究。
Cardiovasc Diabetol. 2024 Jun 26;23(1):222. doi: 10.1186/s12933-024-02310-2.

本文引用的文献

1
Age-specific mortality trends in heart failure over 25 years: a retrospective Danish nationwide cohort study.25 年来心力衰竭的年龄特异性死亡率趋势:一项丹麦全国回顾性队列研究。
Lancet Healthy Longev. 2024 May;5(5):e326-e335. doi: 10.1016/S2666-7568(24)00029-1.
2
Prognostic value of lactic dehydrogenase-to-albumin ratio in critically ill patients with acute respiratory distress syndrome: a retrospective cohort study.乳酸脱氢酶与白蛋白比值在急性呼吸窘迫综合征重症患者中的预后价值:一项回顾性队列研究
J Thorac Dis. 2024 Jan 30;16(1):81-90. doi: 10.21037/jtd-23-1238. Epub 2024 Jan 9.
3
The role of glycolytic metabolic pathways in cardiovascular disease and potential therapeutic approaches.
糖酵解代谢途径在心血管疾病中的作用及潜在治疗方法。
Basic Res Cardiol. 2023 Nov 8;118(1):48. doi: 10.1007/s00395-023-01018-w.
4
Heart Failure Epidemiology and Outcomes Statistics: A Report of the Heart Failure Society of America.心力衰竭流行病学与结局统计:美国心力衰竭学会报告
J Card Fail. 2023 Oct;29(10):1412-1451. doi: 10.1016/j.cardfail.2023.07.006. Epub 2023 Sep 26.
5
Prognostic significance of lactate dehydrogenase and its impact on the outcomes of gastric cancer: a systematic review and meta-analysis.乳酸脱氢酶的预后意义及其对胃癌结局的影响:一项系统评价和荟萃分析
Front Oncol. 2023 Sep 1;13:1247444. doi: 10.3389/fonc.2023.1247444. eCollection 2023.
6
Natriuretic Peptides: Role in the Diagnosis and Management of Heart Failure: A Scientific Statement From the Heart Failure Association of the European Society of Cardiology, Heart Failure Society of America and Japanese Heart Failure Society.利钠肽:在心力衰竭诊断和管理中的作用:欧洲心脏病学会心力衰竭协会、美国心力衰竭学会和日本心力衰竭学会的科学声明。
J Card Fail. 2023 May;29(5):787-804. doi: 10.1016/j.cardfail.2023.02.009. Epub 2023 Apr 17.
7
The role of lactate dehydrogenase in hospitalized patients, comparing those with pulmonary versus non-pulmonary infections: A nationwide study.乳酸脱氢酶在住院患者中的作用,比较肺部感染与非肺部感染患者:一项全国性研究。
PLoS One. 2023 Mar 29;18(3):e0283380. doi: 10.1371/journal.pone.0283380. eCollection 2023.
8
Worsening Heart Failure: Nomenclature, Epidemiology, and Future Directions: JACC Review Topic of the Week.心力衰竭恶化:命名、流行病学及未来方向:美国心脏病学会杂志本周综述主题
J Am Coll Cardiol. 2023 Jan 31;81(4):413-424. doi: 10.1016/j.jacc.2022.11.023.
9
Current Status and Future Perspectives of Lactate Dehydrogenase Detection and Medical Implications: A Review.乳酸脱氢酶检测的现状与未来展望及医学意义:综述。
Biosensors (Basel). 2022 Dec 7;12(12):1145. doi: 10.3390/bios12121145.
10
Relationship between serum lactate dehydrogenase and mortality after cardiac arrest: A retrospective cohort study.血清乳酸脱氢酶与心脏骤停后死亡率的关系:一项回顾性队列研究。
Medicine (Baltimore). 2022 Nov 11;101(45):e31499. doi: 10.1097/MD.0000000000031499.