• 文献检索
  • 文档翻译
  • 深度研究
  • 学术资讯
  • Suppr Zotero 插件Zotero 插件
  • 邀请有礼
  • 套餐&价格
  • 历史记录
应用&插件
Suppr Zotero 插件Zotero 插件浏览器插件Mac 客户端Windows 客户端微信小程序
定价
高级版会员购买积分包购买API积分包
服务
文献检索文档翻译深度研究API 文档MCP 服务
关于我们
关于 Suppr公司介绍联系我们用户协议隐私条款
关注我们

Suppr 超能文献

核心技术专利:CN118964589B侵权必究
粤ICP备2023148730 号-1Suppr @ 2026

文献检索

告别复杂PubMed语法,用中文像聊天一样搜索,搜遍4000万医学文献。AI智能推荐,让科研检索更轻松。

立即免费搜索

文件翻译

保留排版,准确专业,支持PDF/Word/PPT等文件格式,支持 12+语言互译。

免费翻译文档

深度研究

AI帮你快速写综述,25分钟生成高质量综述,智能提取关键信息,辅助科研写作。

立即免费体验

脑膜瘤中与世界卫生组织分级较高相关的危险因素:552例颅底脑膜瘤的多中心研究

Risk factors associated with higher WHO grade in meningiomas: a multicentric study of 552 skull base meningiomas.

作者信息

May Michaela, Sedlak Vojtech, Pecen Ladislav, Priban Vladimir, Buchvald Pavel, Fiedler Jiri, Vaverka Miroslav, Lipina Radim, Reguli Stefan, Malik Jozef, Cerny Martin, Netuka David, Benes Vladimir

机构信息

Department of Neurosurgery and Neurooncology, First Faculty of Medicine, Charles University and Military University Hospital, U Vojenske nemocnice 1200, Prague, 169 02, Czech Republic.

First Faculty of Medicine, Charles University in Prague, Prague, Czech Republic.

出版信息

Sci Rep. 2025 Jan 29;15(1):3715. doi: 10.1038/s41598-025-87882-z.

DOI:10.1038/s41598-025-87882-z
PMID:39880897
原文链接:https://pmc.ncbi.nlm.nih.gov/articles/PMC11779799/
Abstract

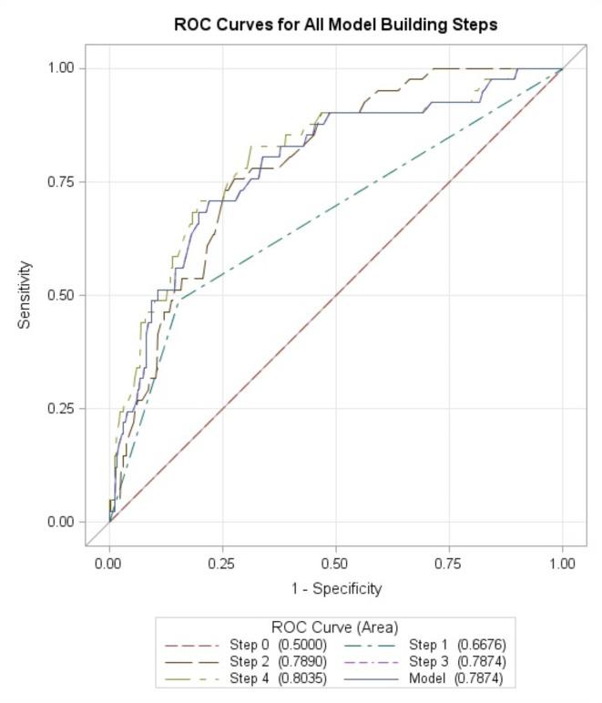
The histological grade is crucial for therapeutic management, and its reliable preoperative detection can significantly influence treatment approach. Lacking established risk factors, this study identifies preoperative predictors of high-grade skull base meningiomas and discusses the implications of non-invasive detection. A multicentric study was conducted on 552 patients with skull base meningiomas who underwent primary surgical resection between 2014 and 2019. Data were gathered from clinical, surgical and pathology records and radiological diagnostics. The predictive factors of higher WHO grade were analysed in univariate analysis and multivariate stepwise selection logistic regression analysis. Histological analysis revealed 511 grade 1 (92.6%) and 41 grade 2 (7.4%) meningiomas. A prognostic model predicting the probability of WHO grade 2 skull base meningioma (AUC 0.79; SE 0.04; 95% Wald Confidence Limits (0.71; 0.86)) based on meningioma diameter, presence of an arachnoid plane and cranial nerve palsy was built. Accurate preoperative detection of WHO grade in skull base meningiomas is essential for effective treatment planning. Our logistic regression model, based on diameter, cranial nerve palsy, and arachnoid plane, is tailored for detecting WHO grade 2 skull base meningiomas, even in outpatient settings.

摘要

组织学分级对于治疗管理至关重要,其可靠的术前检测可显著影响治疗方法。由于缺乏既定的风险因素,本研究确定了高级别颅底脑膜瘤的术前预测因素,并讨论了无创检测的意义。对2014年至2019年间接受初次手术切除的552例颅底脑膜瘤患者进行了一项多中心研究。数据收集自临床、手术和病理记录以及放射学诊断。在单因素分析和多因素逐步选择逻辑回归分析中分析了世界卫生组织(WHO)更高分级的预测因素。组织学分析显示有511例1级脑膜瘤(92.6%)和41例2级脑膜瘤(7.4%)。基于脑膜瘤直径、蛛网膜平面的存在和颅神经麻痹建立了一个预测WHO 2级颅底脑膜瘤概率的预后模型(曲线下面积0.79;标准误0.04;95% Wald置信区间(0.71;0.86))。准确术前检测颅底脑膜瘤的WHO分级对于有效的治疗计划至关重要。我们基于直径、颅神经麻痹和蛛网膜平面的逻辑回归模型,即使在门诊环境中也适用于检测WHO 2级颅底脑膜瘤。

https://cdn.ncbi.nlm.nih.gov/pmc/blobs/0ced/11779799/06f73aa853e9/41598_2025_87882_Fig2_HTML.jpg
https://cdn.ncbi.nlm.nih.gov/pmc/blobs/0ced/11779799/ea638d36e531/41598_2025_87882_Fig1_HTML.jpg
https://cdn.ncbi.nlm.nih.gov/pmc/blobs/0ced/11779799/06f73aa853e9/41598_2025_87882_Fig2_HTML.jpg
https://cdn.ncbi.nlm.nih.gov/pmc/blobs/0ced/11779799/ea638d36e531/41598_2025_87882_Fig1_HTML.jpg
https://cdn.ncbi.nlm.nih.gov/pmc/blobs/0ced/11779799/06f73aa853e9/41598_2025_87882_Fig2_HTML.jpg

相似文献

1
Risk factors associated with higher WHO grade in meningiomas: a multicentric study of 552 skull base meningiomas.脑膜瘤中与世界卫生组织分级较高相关的危险因素:552例颅底脑膜瘤的多中心研究
Sci Rep. 2025 Jan 29;15(1):3715. doi: 10.1038/s41598-025-87882-z.
2
Risk group-adapted adjuvant radiotherapy for WHO grade I and II skull base meningioma.基于危险度分级的颅底脑膜瘤(WHO 分级 I 级和 II 级)辅助放疗。
J Cancer Res Clin Oncol. 2019 May;145(5):1351-1360. doi: 10.1007/s00432-019-02891-6. Epub 2019 Apr 5.
3
Effect of routine extradural optic canal decompression performed by skull base trained surgeons on visual outcomes in patients with anterior skull base meningiomas.由颅底外科医生进行的常规硬膜外视神经管减压术对前颅底脑膜瘤患者视觉预后的影响。
Acta Neurochir (Wien). 2025 Jun 16;167(1):170. doi: 10.1007/s00701-025-06584-7.
4
Quality of life in patients with skull base meningiomas treated with microsurgery: a prospective observational study.采用显微手术治疗颅底脑膜瘤患者的生活质量:一项前瞻性观察研究。
Acta Neurochir (Wien). 2024 Oct 19;166(1):416. doi: 10.1007/s00701-024-06291-9.
5
A targeted gene expression biomarker predicts clinic low-risk meningioma recurrence.一种靶向基因表达生物标志物可预测临床低风险脑膜瘤复发。
Neuro Oncol. 2025 Feb 10;27(2):445-454. doi: 10.1093/neuonc/noae198.
6
Perifocal edema is a risk factor for preoperative seizures in patients with meningioma WHO grade 2 and 3.瘤周水肿是 WHO 分级为 2 级和 3 级脑膜瘤患者术前癫痫发作的一个危险因素。
Acta Neurochir (Wien). 2024 Apr 6;166(1):170. doi: 10.1007/s00701-024-06057-3.
7
Efficacy of radiotherapy and stereotactic radiosurgery as adjuvant or salvage treatment in atypical and anaplastic (WHO grade II and III) meningiomas: a systematic review and meta-analysis.放射治疗和立体定向放射外科作为非典型和间变性(世界卫生组织II级和III级)脑膜瘤辅助或挽救性治疗的疗效:一项系统评价和荟萃分析。
Neurosurg Rev. 2023 Mar 17;46(1):71. doi: 10.1007/s10143-023-01969-7.
8
Role of H3K27me3 and Ki-67 Labeling Index in Assessing the Biological Behavior of Meningiomas.H3K27me3和Ki-67标记指数在评估脑膜瘤生物学行为中的作用
World Neurosurg. 2025 Feb;194:123514. doi: 10.1016/j.wneu.2024.11.097. Epub 2024 Dec 24.
9
Cerebellopontine Angle Meningiomas: A Multi-Institutional Cohort Study.桥小脑角脑膜瘤:一项多机构队列研究。
Neurosurgery. 2024 Nov 1;97(1):105-111. doi: 10.1227/neu.0000000000003258.
10
The Impact of MRI-Defined Extent of Resection Across Meningioma DNA Methylation Groups: Re-Evaluating Surgery in the Era of Meningioma Molecular Classification.磁共振成像(MRI)定义的脑膜瘤切除范围对不同DNA甲基化组的影响:在脑膜瘤分子分类时代重新评估手术治疗
Neurosurgery. 2025 Jan 7. doi: 10.1227/neu.0000000000003324.

本文引用的文献

1
Role of risk factors, scoring systems, and prognostic models in predicting the functional outcome in meningioma surgery: multicentric study of 552 skull base meningiomas.危险因素、评分系统和预后模型在预测脑膜瘤手术功能结局中的作用:552 例颅底脑膜瘤的多中心研究。
Neurosurg Rev. 2023 May 23;46(1):124. doi: 10.1007/s10143-023-02004-5.
2
Efficacy of radiotherapy and stereotactic radiosurgery as adjuvant or salvage treatment in atypical and anaplastic (WHO grade II and III) meningiomas: a systematic review and meta-analysis.放射治疗和立体定向放射外科作为非典型和间变性(世界卫生组织II级和III级)脑膜瘤辅助或挽救性治疗的疗效:一项系统评价和荟萃分析。
Neurosurg Rev. 2023 Mar 17;46(1):71. doi: 10.1007/s10143-023-01969-7.
3
Apparent Diffusion Coefficient Values and Dynamic Contrast-Enhanced Magnetic Resonance Perfusion are Potential Predictors for Grading Meningiomas.
表观扩散系数值和动态对比增强磁共振灌注成像可能是脑膜瘤分级的预测指标。
Int J Med Sci. 2022 Jul 18;19(9):1364-1376. doi: 10.7150/ijms.75092. eCollection 2022.
4
Long term follow up in 183 high grade meningioma: A single institutional experience.183 例高级别脑膜瘤的长期随访:单机构经验。
Clin Neurol Neurosurg. 2021 Aug;207:106808. doi: 10.1016/j.clineuro.2021.106808. Epub 2021 Jul 10.
5
The 2021 WHO Classification of Tumors of the Central Nervous System: a summary.2021 年世卫组织中枢神经系统肿瘤分类:概述。
Neuro Oncol. 2021 Aug 2;23(8):1231-1251. doi: 10.1093/neuonc/noab106.
6
EANO guideline on the diagnosis and management of meningiomas.EANO 指南:脑膜瘤的诊断与管理。
Neuro Oncol. 2021 Nov 2;23(11):1821-1834. doi: 10.1093/neuonc/noab150.
7
Stereotactic Radiosurgery for Atypical (World Health Organization II) and Anaplastic (World Health Organization III) Meningiomas: Results From a Multicenter, International Cohort Study.立体定向放射外科治疗非典型(世界卫生组织 2 级)和间变性(世界卫生组织 3 级)脑膜瘤:一项多中心国际队列研究的结果。
Neurosurgery. 2021 Apr 15;88(5):980-988. doi: 10.1093/neuros/nyaa553.
8
Extent of resection and survival outcomes in World Health Organization grade II meningiomas.世界卫生组织(II 级)脑膜瘤的切除范围与生存结局。
J Neurooncol. 2021 Jan;151(2):173-179. doi: 10.1007/s11060-020-03632-3. Epub 2020 Nov 17.
9
Prediction of Meningioma WHO Grade Using PET Findings: A Systematic Review and Meta-Analysis.基于 PET 检查结果预测脑膜瘤 WHO 分级:系统评价和荟萃分析。
J Neuroimaging. 2021 Jan;31(1):6-19. doi: 10.1111/jon.12795. Epub 2020 Nov 2.
10
Deep Learning Model for the Automated Detection and Histopathological Prediction of Meningioma.深度学习模型在脑膜瘤自动检测和组织病理学预测中的应用。
Neuroinformatics. 2021 Jul;19(3):393-402. doi: 10.1007/s12021-020-09492-6. Epub 2020 Sep 25.