Suppr超能文献

利用戈谢病结果调查的数据评估溶血神经酰胺单己糖(Lyso-Gb1)作为戈谢病治疗效果生物标志物的情况。

Evaluation of Lyso-Gb1 as a biomarker for Gaucher disease treatment outcomes using data from the Gaucher Outcome Survey.

作者信息

Zimran Ari, Revel-Vilk Shoshana, Dinur Tama, Istaiti Majdolen, Botha Jaco, Lukina Elena, Giraldo Pilar, Deegan Patrick, Dahl Stephan Vom

机构信息

Gaucher Unit, The Eisenberg R & D Authority, Shaare Zedek Medical Center, Jerusalem, Israel.

Faculty of Medicine, Hebrew University, Jerusalem, Israel.

出版信息

Orphanet J Rare Dis. 2025 Jan 29;20(1):43. doi: 10.1186/s13023-024-03444-y.

Abstract

BACKGROUND

Patients with Gaucher disease (GD) require continual monitoring; however, lack of specific disease biomarkers was a significant challenge in the past. Glucosylsphingosine (lyso-Gb1) has been shown to be a reliable, key, specific, and sensitive biomarker for diagnosis, prognosis, and treatment response in clinical studies of patients with GD. We evaluated the change in lyso-Gb1 concentration over time following enzyme replacement therapy in patients with confirmed GD using real-world data from the Gaucher Outcome Survey disease registry.

METHODS

Data for patients aged ≥ 18 years with a confirmed diagnosis of GD and at least two lyso-Gb1 assessments were analyzed retrospectively. Patients were stratified by treatment status at baseline (time of first lyso-Gb1 assessment). Lyso-Gb1 concentrations were measured from dried blood spot (DBS) samples by Centogene AG. Assessments included change in lyso-Gb1 concentration, hemoglobin concentration, platelet counts, and spleen and liver volume from baseline to the last lyso-Gb1 assessment.

RESULTS

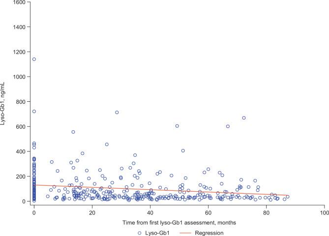
Of 2007 patients enrolled in the Gaucher Outcome Survey as of February 25, 2022, 435 met the inclusion criteria and were included in the study: 318 treated ('all treated'; 277 receiving treatment at baseline, 41 treatment naive at baseline), 38 receiving treatment at baseline who stopped treatment before the last lyso-Gb1 assessment, and 79 untreated. Lyso-Gb1 concentrations decreased from baseline to the last lyso-Gb1 assessment for all treated patients (median change - 8.6 ng/mL), and increased for untreated patients (median change 25.0 ng/mL) and those who stopped treatment (median change 19.5 ng/mL). Decreases were greater for all treatment-naive than previously treated patients (median change - 120.5 vs. - 3.3 ng/mL) and for velaglucerase alfa-treated patients vs. the overall treated cohort (-32.6 vs. - 8.6 ng/mL). Small improvements in hemoglobin concentrations, platelet counts, and spleen volume were observed for treated patients but not untreated/stopped treatment cohorts.

CONCLUSIONS

In this study, changes in lyso-Gb1 concentrations from DBS were reflective of responses to enzyme replacement therapy initiation or withdrawal in most patients. These findings confirm that the use of DBS samples for routine monitoring of lyso-Gb1 concentrations in patients with GD is feasible in real-world settings and may be useful to assess treatment response.

摘要

背景

戈谢病(GD)患者需要持续监测;然而,过去缺乏特异性疾病生物标志物是一项重大挑战。在GD患者的临床研究中,葡萄糖基鞘氨醇(溶血-Gb1)已被证明是一种用于诊断、预后和治疗反应的可靠、关键、特异性和敏感的生物标志物。我们使用来自戈谢病结局调查疾病登记处的真实世界数据,评估了确诊为GD的患者在酶替代治疗后溶血-Gb1浓度随时间的变化。

方法

对年龄≥18岁、确诊为GD且至少有两次溶血-Gb1评估的患者数据进行回顾性分析。患者根据基线(首次溶血-Gb1评估时间)时的治疗状态进行分层。溶血-Gb1浓度通过Centogene AG公司从干血斑(DBS)样本中测量。评估包括从基线到最后一次溶血-Gb1评估时溶血-Gb1浓度、血红蛋白浓度、血小板计数以及脾脏和肝脏体积的变化。

结果

截至2022年2月25日,在戈谢病结局调查中登记的2007名患者中,435名符合纳入标准并被纳入研究:318名接受治疗(“所有接受治疗者”;277名在基线时接受治疗,41名在基线时未接受过治疗),38名在基线时接受治疗但在最后一次溶血-Gb1评估前停止治疗,79名未接受治疗。所有接受治疗的患者溶血-Gb1浓度从基线到最后一次溶血-Gb1评估时下降(中位变化-8.6 ng/mL),未接受治疗的患者(中位变化25.0 ng/mL)和停止治疗的患者(中位变化19.5 ng/mL)溶血-Gb1浓度升高。所有未接受过治疗的患者比先前接受过治疗的患者下降幅度更大(中位变化-120.5 vs. -3.3 ng/mL),维拉苷酶α治疗的患者比整个接受治疗的队列下降幅度更大(-32.6 vs. -8.6 ng/mL)。接受治疗的患者血红蛋白浓度、血小板计数和脾脏体积有小幅改善,但未接受治疗/停止治疗的队列没有改善。

结论

在本研究中,DBS中溶血-Gb1浓度的变化反映了大多数患者对酶替代治疗开始或停药的反应。这些发现证实,在现实环境中使用DBS样本对GD患者的溶血-Gb1浓度进行常规监测是可行的,并且可能有助于评估治疗反应。

https://cdn.ncbi.nlm.nih.gov/pmc/blobs/be08/11776217/0237f7501b1f/13023_2024_3444_Fig1_HTML.jpg

文献AI研究员

20分钟写一篇综述,助力文献阅读效率提升50倍。

立即体验

用中文搜PubMed

大模型驱动的PubMed中文搜索引擎

马上搜索

文档翻译

学术文献翻译模型,支持多种主流文档格式。

立即体验