• 文献检索
  • 文档翻译
  • 深度研究
  • 学术资讯
  • Suppr Zotero 插件Zotero 插件
  • 邀请有礼
  • 套餐&价格
  • 历史记录
应用&插件
Suppr Zotero 插件Zotero 插件浏览器插件Mac 客户端Windows 客户端微信小程序
定价
高级版会员购买积分包购买API积分包
服务
文献检索文档翻译深度研究API 文档MCP 服务
关于我们
关于 Suppr公司介绍联系我们用户协议隐私条款
关注我们

Suppr 超能文献

核心技术专利:CN118964589B侵权必究
粤ICP备2023148730 号-1Suppr @ 2026

文献检索

告别复杂PubMed语法,用中文像聊天一样搜索,搜遍4000万医学文献。AI智能推荐,让科研检索更轻松。

立即免费搜索

文件翻译

保留排版,准确专业,支持PDF/Word/PPT等文件格式,支持 12+语言互译。

免费翻译文档

深度研究

AI帮你快速写综述,25分钟生成高质量综述,智能提取关键信息,辅助科研写作。

立即免费体验

捷克戈谢病患者队列的生物标志物长期评估。

Long-Term Evaluation of Biomarkers in the Czech Cohort of Gaucher Patients.

机构信息

Department of Pediatrics and Inherited Metabolic Disorders, First Faculty of Medicine, Charles University and General University Hospital, 128 08 Prague, Czech Republic.

ARCHIMEDlife Laboratories, 1110 Vienna, Austria.

出版信息

Int J Mol Sci. 2023 Sep 22;24(19):14440. doi: 10.3390/ijms241914440.

DOI:10.3390/ijms241914440
PMID:37833892
原文链接:https://pmc.ncbi.nlm.nih.gov/articles/PMC10572410/
Abstract

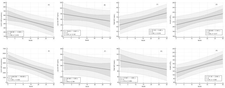
A personalized treatment decision for Gaucher disease (GD) patients should be based on relevant markers that are specific to GD, play a direct role in GD pathophysiology, exhibit low genetic variation, reflect the therapy, and can be used for all patients. Thirty-four GD patients treated with enzyme replacement therapy (ERT) or substrate reduction therapy (SRT) were analyzed for platelet count, chitotriosidase, and tartrate-resistant acid phosphatase activity in plasma samples, and quantitative measurement of Lyso-Gb1 was performed in dried blood spots. In our ERT and SRT study cohorts, plasma lyso-GL1 correlated significantly with chito-triosidase (ERT: r = 0.55, < 0.001; SRT: r = 0.83, < 0.001) and TRAP (ERT: r = 0.34, < 0.001; SRT: r = 0.88, < 0.001), irrespective of treatment method. A platelet count increase was associated with a Lyso-Gb1 decrease in both treatment groups (ERT: = 0.021; SRT: = 0.028). The association of Lyso-Gb1 with evaluated markers was stronger in the SRT cohort. Our results indicate that ERT and SRT in combination or in a switch manner could offer the potential of individual drug effectiveness for particular GD symptoms. Combination of the key biomarker of GD, Lyso-Gb1, with other biomarkers can offer improved response assessment to long-term therapy.

摘要

对戈谢病 (GD) 患者的个体化治疗决策应基于与 GD 相关的标志物,这些标志物应具有直接的 GD 病理生理学作用、遗传变异低、反映治疗效果且适用于所有患者。分析了 34 名接受酶替代治疗 (ERT) 或底物还原治疗 (SRT) 的 GD 患者的血小板计数、壳三糖苷酶和血浆中的抗酒石酸酸性磷酸酶活性,以及在干血斑中对 Lyso-Gb1 进行定量测量。在我们的 ERT 和 SRT 研究队列中,血浆 Lyso-GL1 与壳三糖苷酶 (ERT:r = 0.55, < 0.001;SRT:r = 0.83, < 0.001) 和 TRAP (ERT:r = 0.34, < 0.001;SRT:r = 0.88, < 0.001) 显著相关,与治疗方法无关。在两组治疗中,血小板计数增加与 Lyso-Gb1 减少相关 (ERT: = 0.021;SRT: = 0.028)。Lyso-Gb1 与评估标志物的相关性在 SRT 队列中更强。我们的结果表明,ERT 和 SRT 联合或转换使用可能为特定 GD 症状提供个体药物疗效的潜力。将 GD 的关键生物标志物 Lyso-Gb1 与其他生物标志物结合使用,可以提供对长期治疗反应的改善评估。

https://cdn.ncbi.nlm.nih.gov/pmc/blobs/ee40/10572410/508d45338e0d/ijms-24-14440-g005.jpg
https://cdn.ncbi.nlm.nih.gov/pmc/blobs/ee40/10572410/11e1a6a16eb8/ijms-24-14440-g001.jpg
https://cdn.ncbi.nlm.nih.gov/pmc/blobs/ee40/10572410/b2426faf4256/ijms-24-14440-g002.jpg
https://cdn.ncbi.nlm.nih.gov/pmc/blobs/ee40/10572410/709fbe7cc1a9/ijms-24-14440-g003.jpg
https://cdn.ncbi.nlm.nih.gov/pmc/blobs/ee40/10572410/296d7cc894ee/ijms-24-14440-g004.jpg
https://cdn.ncbi.nlm.nih.gov/pmc/blobs/ee40/10572410/508d45338e0d/ijms-24-14440-g005.jpg
https://cdn.ncbi.nlm.nih.gov/pmc/blobs/ee40/10572410/11e1a6a16eb8/ijms-24-14440-g001.jpg
https://cdn.ncbi.nlm.nih.gov/pmc/blobs/ee40/10572410/b2426faf4256/ijms-24-14440-g002.jpg
https://cdn.ncbi.nlm.nih.gov/pmc/blobs/ee40/10572410/709fbe7cc1a9/ijms-24-14440-g003.jpg
https://cdn.ncbi.nlm.nih.gov/pmc/blobs/ee40/10572410/296d7cc894ee/ijms-24-14440-g004.jpg
https://cdn.ncbi.nlm.nih.gov/pmc/blobs/ee40/10572410/508d45338e0d/ijms-24-14440-g005.jpg

相似文献

1
Long-Term Evaluation of Biomarkers in the Czech Cohort of Gaucher Patients.捷克戈谢病患者队列的生物标志物长期评估。
Int J Mol Sci. 2023 Sep 22;24(19):14440. doi: 10.3390/ijms241914440.
2
Glucosylsphingosine (Lyso-Gb): An Informative Biomarker in the Clinical Monitoring of Patients with Gaucher Disease.葡萄糖脑苷脂(溶酶体神经酰胺):戈谢病患者临床监测的有价值的生物标志物。
Int J Mol Sci. 2022 Nov 29;23(23):14938. doi: 10.3390/ijms232314938.
3
Glucosylsphingosine is a key biomarker of Gaucher disease.葡萄糖神经酰胺是戈谢病的关键生物标志物。
Am J Hematol. 2016 Nov;91(11):1082-1089. doi: 10.1002/ajh.24491. Epub 2016 Aug 8.
4
A Brazilian Rare-Disease Center's Experience with Glucosylsphingosine (lyso-Gb1) in Patients with Gaucher Disease: Exploring a Novel Correlation with IgG Levels in Plasma and a Biomarker Measurement in CSF.巴西一家罕见病中心对戈谢病患者使用葡萄糖神经酰胺(溶血神经酰胺1)的经验:探索与血浆中IgG水平的新关联以及脑脊液中的生物标志物测量
Int J Mol Sci. 2024 Mar 1;25(5):2870. doi: 10.3390/ijms25052870.
5
An observational study to investigate the relationship between plasma glucosylsphingosine (lyso-Gb1) concentration and treatment outcomes of patients with Gaucher disease in Japan.一项观察性研究,旨在调查日本戈谢病患者血浆葡糖基神经酰胺(溶神经酰胺 Gb1)浓度与治疗结局之间的关系。
Orphanet J Rare Dis. 2022 Nov 3;17(1):401. doi: 10.1186/s13023-022-02549-6.
6
Long- and Short-Term Glucosphingosine (lyso-Gb1) Dynamics in Gaucher Patients Undergoing Enzyme Replacement Therapy.戈谢病患者接受酶替代治疗时的长短期葡糖脑苷脂(溶酶体脑苷脂)动态变化。
Biomolecules. 2024 Jul 12;14(7):842. doi: 10.3390/biom14070842.
7
Reductions in glucosylsphingosine (lyso-Gb1) in treatment-naïve and previously treated patients receiving velaglucerase alfa for type 1 Gaucher disease: Data from phase 3 clinical trials.未经治疗和既往治疗的 1 型 Gaucher 病患者接受维拉苷酶阿尔法治疗后葡糖脑苷脂(溶酶体脑苷脂)的减少:来自 3 期临床试验的数据。
Mol Genet Metab. 2017 Sep;122(1-2):113-120. doi: 10.1016/j.ymgme.2017.08.005. Epub 2017 Aug 24.
8
Glucosylsphingosine (lyso-Gb1) as a Biomarker for Monitoring Treated and Untreated Children with Gaucher Disease.葡萄糖神经酰胺(溶酶体神经酰胺 1)作为监测治疗和未治疗戈谢病儿童的生物标志物。
Int J Mol Sci. 2019 Jun 21;20(12):3033. doi: 10.3390/ijms20123033.
9
Contribution of Glucosylsphingosine (Lyso-Gb1) to Treatment Decisions in Patients with Gaucher Disease.葡萄糖脑苷脂(溶酶体神经酰胺)对戈谢病患者治疗决策的影响。
Int J Mol Sci. 2023 Feb 15;24(4):3945. doi: 10.3390/ijms24043945.
10
Impact of Long-Term Enzyme Replacement Therapy on Glucosylsphingosine (Lyso-Gb1) Values in Patients with Type 1 Gaucher Disease: Statistical Models for Comparing Three Enzymatic Formulations.长期酶替代治疗对 1 型戈谢病患者葡糖脑苷脂(溶酶体神经酰胺)值的影响:比较三种酶制剂的统计模型。
Int J Mol Sci. 2021 Jul 19;22(14):7699. doi: 10.3390/ijms22147699.

引用本文的文献

1
Prospective Monitoring of Lyso-Gb1 on DBS Sample in Three Children Recognized at Newborn Screening for Gaucher Disease and Untreated.对三名在新生儿筛查中被确诊为戈谢病且未经治疗的儿童的干血斑样本中溶酶体葡萄糖脑苷脂1(Lyso-Gb1)进行前瞻性监测。
Children (Basel). 2025 Mar 11;12(3):350. doi: 10.3390/children12030350.
2
Evaluation of Lyso-Gb1 as a biomarker for Gaucher disease treatment outcomes using data from the Gaucher Outcome Survey.利用戈谢病结果调查的数据评估溶血神经酰胺单己糖(Lyso-Gb1)作为戈谢病治疗效果生物标志物的情况。
Orphanet J Rare Dis. 2025 Jan 29;20(1):43. doi: 10.1186/s13023-024-03444-y.

本文引用的文献

1
Polygenic Parkinson's Disease Genetic Risk Score as Risk Modifier of Parkinsonism in Gaucher Disease.多基因帕金森病遗传风险评分作为戈谢病帕金森综合征的风险修饰因子。
Mov Disord. 2023 May;38(5):899-903. doi: 10.1002/mds.29342. Epub 2023 Mar 3.
2
The role of glucosylsphingosine as an early indicator of disease progression in early symptomatic type 1 Gaucher disease.葡萄糖神经酰胺作为早期有症状1型戈谢病疾病进展早期指标的作用。
Mol Genet Metab Rep. 2021 Feb 8;27:100729. doi: 10.1016/j.ymgmr.2021.100729. eCollection 2021 Jun.
3
Value of Glucosylsphingosine (Lyso-Gb1) as a Biomarker in Gaucher Disease: A Systematic Literature Review.
葡萄糖脑苷脂(溶酶体脑苷脂)作为戈谢病生物标志物的价值:系统文献综述。
Int J Mol Sci. 2020 Sep 28;21(19):7159. doi: 10.3390/ijms21197159.
4
Glucosylsphingosine (lyso-Gb1) as a Biomarker for Monitoring Treated and Untreated Children with Gaucher Disease.葡萄糖神经酰胺(溶酶体神经酰胺 1)作为监测治疗和未治疗戈谢病儿童的生物标志物。
Int J Mol Sci. 2019 Jun 21;20(12):3033. doi: 10.3390/ijms20123033.
5
Biomarker combination is necessary for the assessment of Gaucher disease?生物标志物组合对于戈谢病的评估是必要的吗?
Ann Transl Med. 2018 Nov;6(Suppl 1):S81. doi: 10.21037/atm.2018.10.69.
6
Outcomes after 8 years of eliglustat therapy for Gaucher disease type 1: Final results from the Phase 2 trial.依利格鲁司他治疗戈谢病 1 型 8 年的结果:来自 2 期试验的最终结果。
Am J Hematol. 2019 Jan;94(1):29-38. doi: 10.1002/ajh.25300. Epub 2018 Oct 26.
7
Plasma chitotriosidase activity versus plasma glucosylsphingosine in wide spectrum of Gaucher disease phenotypes - A statistical insight.血浆壳三糖苷酶活性与广泛 Gaucher 病表型中的血浆葡萄糖神经酰胺比较-统计见解。
Mol Genet Metab. 2018 Apr;123(4):495-500. doi: 10.1016/j.ymgme.2018.02.004. Epub 2018 Feb 27.
8
Glucosylsphingosine is a reliable response biomarker in Gaucher disease.葡萄糖基鞘氨醇是戈谢病中一种可靠的反应生物标志物。
Am J Hematol. 2018 Jun;93(6):E140-E142. doi: 10.1002/ajh.25074. Epub 2018 Mar 15.
9
Once- versus twice-daily dosing of eliglustat in adults with Gaucher disease type 1: The Phase 3, randomized, double-blind EDGE trial.依利格鲁司他治疗 1 型戈谢病成人患者的每日一次与每日两次给药:III 期、随机、双盲 EDGE 试验。
Mol Genet Metab. 2018 Mar;123(3):347-356. doi: 10.1016/j.ymgme.2017.12.001. Epub 2018 Jan 4.
10
The Spectrum of Neurological Manifestations Associated with Gaucher Disease.与戈谢病相关的神经学表现谱
Diseases. 2017 Mar 2;5(1):10. doi: 10.3390/diseases5010010.