Suppr超能文献

新冠疫情对脆弱的低体重新生儿的影响:秘鲁和巴西的中断时间序列分析

Impact of the COVID-19 pandemic on small vulnerable newborns: an interrupted time series analysis in Peru and Brazil.

作者信息

Cajachagua-Torres Kim N, Xavier Mariana Otero, Quezada-Pinedo Hugo G, Huayanay-Espinoza Carlos A, Oviedo Rios Alvaro Gonzalo, Amouzou Agbessi, Maïga Abdoulaye, Akseer Nadia, Matijasevich Alicia, Huicho Luis

机构信息

Department of Pediatrics, New York University Grossman School of Medicine, New York, New York, USA.

Department of Pediatrics, Erasmus MC, University Medical Centre Rotterdam, Rotterdam, the Netherlands.

出版信息

J Glob Health. 2025 Jan 31;15:04026. doi: 10.7189/jogh.15.04026.

Abstract

BACKGROUND

We examined COVID-19's impact on the number of small vulnerable newborns (SVN) at national and regional levels in Peru and Brazil.

METHODS

Using national birth registries, we examined monthly numbers of preterm (PT), low birthweight (LBW), and small for gestational age (SGA) newborns. We analysed COVID-19's impact on SVN using two interrupted time series models. We estimated SVN's expected numbers in the absence of the pandemic using mixed-effects regressions and calculated percent changes by comparing these estimates to observed during the pandemic. Incidence rate ratios (IRR) were estimated using Poisson regression.

RESULTS

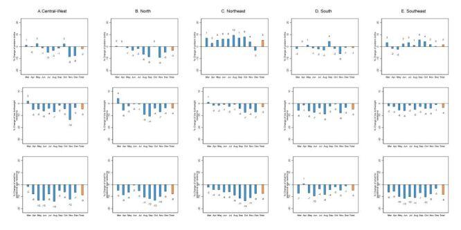
In Peru, the average percent changes in PT, LBW, and SGA births were -17%, -11%, and -3% in 2020, and -10%, -4%, and +2% in 2021, respectively. The IRR of PT and LBW declined throughout the pandemic, while SGA IRR increased in August 2020-November 2020 and May 2021-December 2021. The Coast region experienced the greatest drop in PT, LBW, and SGA IRR in 2020, followed by a slight increase in 2021, whereas the Highlands and Amazon regions had increased LBW and SGA IRR. In Brazil, the percent changes in PT, LBW, and SGA births were +1%, -3%, and -8% in 2020, and +1%, 0%, and -1% in 2021, respectively. Most PT, LBW, and SGA IRRs decreased during the pandemic, except in the Northeast and Southeast regions, where PT increased in 2020. All regions experienced declines in LBW and SGA in 2020, with the Central-West and South regions showing the greatest LBW declines and Central-West region the highest SGA decrease.

CONCLUSIONS

No significant worsening of neonatal outcomes were observed during the COVID-19 pandemic. In Peru, PT and LBW births declined, while SGA increased from August 2020. In Brazil, PT births slightly increased, while LBW and SGA births declined in 2020, remaining stable in 2021.

摘要

背景

我们研究了新冠疫情对秘鲁和巴西国家及地区层面弱势新生儿数量的影响。

方法

利用国家出生登记数据,我们调查了早产、低出生体重和小于胎龄新生儿的月度数量。我们使用两个中断时间序列模型分析了新冠疫情对弱势新生儿的影响。我们通过混合效应回归估计了在没有疫情情况下弱势新生儿的预期数量,并通过将这些估计值与疫情期间观察到的数量进行比较来计算百分比变化。发病率比(IRR)使用泊松回归进行估计。

结果

在秘鲁,2020年早产、低出生体重和小于胎龄出生的平均百分比变化分别为-17%、-11%和-3%,2021年分别为-10%、-4%和+2%。在整个疫情期间,早产和低出生体重的发病率比下降,而小于胎龄的发病率比在2020年8月至11月以及2021年5月至12月有所上升。沿海地区在2020年早产、低出生体重和小于胎龄的发病率比下降幅度最大,随后在2021年略有上升,而高地和亚马逊地区低出生体重和小于胎龄的发病率比有所上升。在巴西,2020年早产、低出生体重和小于胎龄出生的百分比变化分别为+1%、-3%和-8%,2021年分别为+1%、0%和-1%。在疫情期间,大多数早产、低出生体重和小于胎龄的发病率比下降,但东北部和东南部地区除外,2020年早产情况有所增加。2020年所有地区低出生体重和小于胎龄情况均下降,中西部和南部地区低出生体重下降幅度最大,中西部地区小于胎龄下降幅度最高。

结论

在新冠疫情期间未观察到新生儿结局显著恶化。在秘鲁,早产和低出生体重出生情况下降,而小于胎龄情况自2020年8月起增加。在巴西,早产出生情况略有增加,而低出生体重和小于胎龄出生情况在2020年下降,2021年保持稳定。

https://cdn.ncbi.nlm.nih.gov/pmc/blobs/282a/11783137/04476334ac09/jogh-15-04026-F1.jpg

文献检索

告别复杂PubMed语法,用中文像聊天一样搜索,搜遍4000万医学文献。AI智能推荐,让科研检索更轻松。

立即免费搜索

文件翻译

保留排版,准确专业,支持PDF/Word/PPT等文件格式,支持 12+语言互译。

免费翻译文档

深度研究

AI帮你快速写综述,25分钟生成高质量综述,智能提取关键信息,辅助科研写作。

立即免费体验