Suppr超能文献

比较用于胸部计算机断层扫描(CT)的蠕动式和直接驱动式对比剂注射系统:对剂量、图像质量和病理学的影响

Comparing Peristaltic and Direct-Drive Contrast Injection Systems for Thoracic Computed Tomography (CT): Effects on Dose, Image Quality, and Pathology.

作者信息

Saade Charbel, Saab Suzanne, El-Sakakini Jana, Karout Lina, Casillas Carlos, Chan Edward, El Homsi Maria, Salman Rida, Nicolou Carlos, Naffaa Lena

机构信息

Medical Imaging Sciences, American University of Beirut Medical Center, Beirut, LBN.

Radiology, Hospital Vithas Nisa Rey Don Jaime, Castellon, ESP.

出版信息

Cureus. 2025 Jan 2;17(1):e76814. doi: 10.7759/cureus.76814. eCollection 2025 Jan.

Abstract

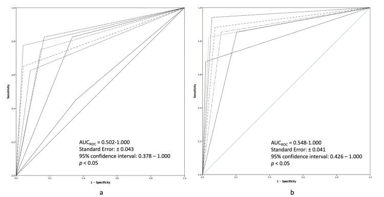
Introduction To compare thoracic vasculature opacification between the direct-drive and the peristaltic drive contrast injection systems and the effect on quantitative and qualitative image quality during computed tomography. Method A retrospective chart review of 88 patients who underwent chest computed tomography (CT) following a direct-drive injector before 2016 (Group A) or a peristaltic injector after 2016 (Group B). Both protocols employed 80mL of iodinated contrast media volume. Quantitative measurements of the thoracic vascular opacification, contrast-to-noise ratio (CNR), effective radiation dose, and arterial venous contrast ratio (AVCR) for each vessel were computed and compared. The measured values of vascular opacification, CNR, and dose length product (DLP) were assessed utilizing paired t-test and Pearson's correlation. Receiver operating characteristic (ROC), visual grading characteristics (VGC), and Cohen's kappa methodology were measured. Results There was no significant difference in the mean opacification of the chest vasculature (p > 0.05). The CNR in Group B was significantly lower than in Group A (p < 0.05) except for the brachiocephalic artery, proximal descending aorta, and the right pulmonary artery. Arterial venous contrast ratio at all anatomic levels demonstrated no statistical significance between groups. There were no differences in ROC, VGC, or kappa values between groups. Conclusion When comparing two contrast media injection systems in chest CT, there was no qualitative difference in image quality or pathology detection. However, quantitatively, direct-drive injectors provided higher CNR. Direct-drive contrast injectors also provided a superior quantitative image quality of chest vasculature compared to peristaltic injectors.

摘要

引言 比较直接驱动和蠕动驱动对比剂注射系统在胸部血管造影中的表现,以及对计算机断层扫描期间定量和定性图像质量的影响。方法 回顾性分析88例患者的病历,这些患者在2016年前接受了直接驱动注射器的胸部计算机断层扫描(CT)(A组),或在2016年后接受了蠕动注射器的胸部CT(B组)。两种方案均使用80mL碘化对比剂。计算并比较每个血管的胸部血管造影、对比噪声比(CNR)、有效辐射剂量和动静脉对比比(AVCR)的定量测量值。利用配对t检验和Pearson相关性评估血管造影、CNR和剂量长度乘积(DLP)的测量值。测量受试者工作特征(ROC)、视觉分级特征(VGC)和Cohen卡方方法。结果 胸部血管的平均造影剂密度无显著差异(p>0.05)。除头臂动脉、降主动脉近端和右肺动脉外,B组的CNR显著低于A组(p<0.05)。所有解剖水平的动静脉对比比在两组之间无统计学意义。两组之间的ROC、VGC或卡方值无差异。结论 在胸部CT中比较两种对比剂注射系统时,图像质量或病理检测在定性上没有差异。然而,在定量方面,直接驱动注射器提供了更高的CNR。与蠕动注射器相比,直接驱动对比剂注射器还提供了更好的胸部血管定量图像质量。

https://cdn.ncbi.nlm.nih.gov/pmc/blobs/6610/11786968/d903ff9ece1f/cureus-0017-00000076814-i01.jpg

文献检索

告别复杂PubMed语法,用中文像聊天一样搜索,搜遍4000万医学文献。AI智能推荐,让科研检索更轻松。

立即免费搜索

文件翻译

保留排版,准确专业,支持PDF/Word/PPT等文件格式,支持 12+语言互译。

免费翻译文档

深度研究

AI帮你快速写综述,25分钟生成高质量综述,智能提取关键信息,辅助科研写作。

立即免费体验