Suppr超能文献

一种用于定量分析自来水中微塑料的直接热解气相色谱/质谱方法。

A straightforward Py-GC/MS methodology for quantification of microplastics in tap water.

作者信息

Ccanccapa-Cartagena Alexander, Gopakumar Anandu Nair, Salehi Maryam

机构信息

Department of Civil and Environmental Engineering, University of Missouri, Columbia, MO, USA.

Missouri Water Center, MO, USA.

出版信息

MethodsX. 2025 Jan 17;14:103173. doi: 10.1016/j.mex.2025.103173. eCollection 2025 Jun.

Abstract

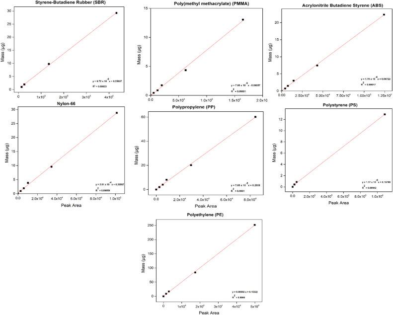
This study introduces a cost-effective and streamlined Pyrolysis Gas Chromatography-Mass Spectrometry (Py-GC/MS) methodology for detecting and quantifying microplastics in tap water, focusing on seven common polymers. Unlike conventional approaches relying on expensive pyrolyzate libraries, this method identifies pyrolysis fragments by matching their values with commercially available mass spectral libraries (Wiley Registry 12th Edition/NIST 2020) and confirms findings using pure polymer standards. Recovery was evaluated using two approaches, demonstrating that analysis of the entire filter provided more accurate results compared to extrapolation from subsections. The method exhibited excellent linearity for all targeted polymers (R² > 0.996) and achieved detection limits as low as 0.01 µg for polystyrene (PS) and up to 2.59 µg for polyethylene (PE). Application to tap water samples revealed consistent detection of PS, ranging from 2.532 to 2.571 ng/L in morning samples and 0.867 to 1.540 ng/L in afternoon samples, with polypropylene and PE below the limit of quantification (<LOQ). This method provides a reliable, efficient, and cost-effective tool for routine laboratory analysis of microplastics in tap water and other environmental matrices.•A 23-minute Py-GC/MS method efficiently quantifies microplastics in tap water.•Cost-effective strategy using commercially available mass spectral libraries.•Accurate quantification with ng/L sensitivity validated by pure polymer standards.

摘要

本研究介绍了一种经济高效且简化的热解气相色谱 - 质谱联用(Py - GC/MS)方法,用于检测和定量自来水中的微塑料,重点关注七种常见聚合物。与依赖昂贵热解产物库的传统方法不同,该方法通过将热解碎片的 值与市售质谱库(Wiley Registry第12版/NIST 2020)进行匹配来识别热解碎片,并使用纯聚合物标准品来确认结果。采用两种方法评估回收率,结果表明与从子部分外推相比,对整个过滤器进行分析可提供更准确的结果。该方法对所有目标聚合物均表现出出色的线性(R² > 0.996),聚苯乙烯(PS)的检测限低至0.01 μg,聚乙烯(PE)的检测限高达2.59 μg。应用于自来水样品时,PS的检测结果一致,上午样品中为2.532至2.571 ng/L,下午样品中为0.867至1.540 ng/L,聚丙烯和PE低于定量限(<LOQ)。该方法为自来水中微塑料以及其他环境基质的常规实验室分析提供了一种可靠、高效且经济高效的工具。•一种23分钟的Py - GC/MS方法可有效定量自来水中的微塑料。•使用市售质谱库的经济高效策略。•通过纯聚合物标准品验证的具有纳克/升灵敏度的准确定量。

https://cdn.ncbi.nlm.nih.gov/pmc/blobs/128c/11791246/1b4f35aa8595/ga1.jpg

文献AI研究员

20分钟写一篇综述,助力文献阅读效率提升50倍。

立即体验

用中文搜PubMed

大模型驱动的PubMed中文搜索引擎

马上搜索

文档翻译

学术文献翻译模型,支持多种主流文档格式。

立即体验