Suppr超能文献

口服ALZ-801/缬氨曲米普明在载脂蛋白E4携带者早期阿尔茨海默病2年2期试验中的临床药代动力学

Clinical Pharmacokinetics of Oral ALZ-801/Valiltramiprosate in a 2-Year Phase 2 Trial of APOE4 Carriers with Early Alzheimer's Disease.

作者信息

Hey John A, Yu Jeremy Y, Abushakra Susan, Schaefer Jean F, Power Aidan, Kesslak Pat, Paul Jijo, Tolar Martin

机构信息

Alzheon Inc., 111 Speen Street, Suite 306, Framingham, MA, 01701, USA.

出版信息

Clin Pharmacokinet. 2025 Mar;64(3):407-424. doi: 10.1007/s40262-025-01482-8. Epub 2025 Feb 5.

Abstract

INTRODUCTION

ALZ-801/valiltramiprosate is an oral, small-molecule inhibitor of β-amyloid (Aβ) oligomer formation in late-stage development as a potential disease-modifying therapy for Alzheimer's disease (AD). ALZ-801, a valine-conjugated prodrug, is rapidly converted to tramiprosate after oral dosing. Upon conversion to tramiprosate, it generates a single metabolite, 3-sulfopropanoic acid (3-SPA). Both tramiprosate and 3-SPA are active anti-Aβ oligomer agents that mediate ALZ-801's central mechanism of action (MOA). We summarize herein the pharmacokinetics (PK) of ALZ-801 in apolipoprotein ε4 (APOE4) carrier subjects with early AD from a phase 2 trial.

METHODS

The ALZ-801 phase 2 study was designed to evaluate longitudinal effects of ALZ-801 (265 mg BID) on plasma, cerebrospinal fluid (CSF) and volumetric magnetic resonance imaging (MRI) AD biomarkers, and clinical outcomes over 104 weeks in APOE4 carriers with early AD. Eighty-four subjects (31 APOE4/4 homozygotes and 53 APOE3/4 heterozygotes) with positive CSF biomarkers of amyloid and tau pathology were enrolled. The phase 2 study included a substudy of 24 subjects to provide 8-h steady-state PK at 65 weeks. Sparse PK samples were also analyzed. The relationships between plasma PK exposure and clinical characteristics [i.e., sex, APOE genotype, age, body mass index (BMI), estimated glomerular filtration rate (eGFR), concomitant acetylcholinesterase inhibitor (AChEI) use, and tablet lot] were evaluated.

RESULTS

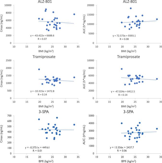
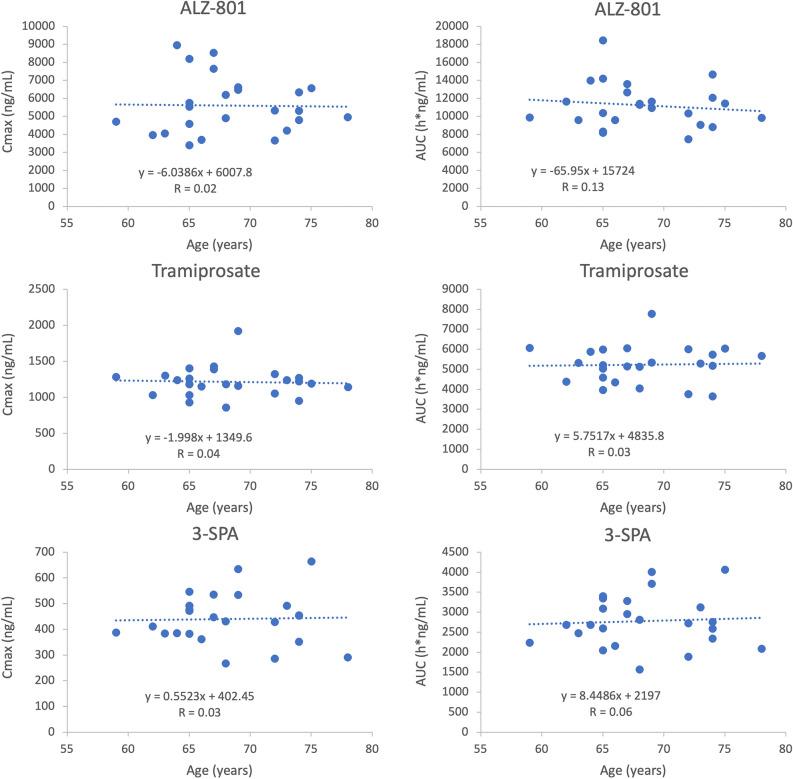
The steady-state plasma PK results were closely aligned with the previous 2-week PK in the ALZ-801 phase 1b study in APOE4 carrier subjects with AD, as well as a phase 1 7-day PK study in heathy elderly volunteers. Following oral dosing, ALZ-801 was rapidly converted to the active moieties, tramiprosate and 3-SPA. The intersubject variability in plasma drug levels was low, confirming the superior performance of ALZ-801 versus oral tramiprosate tablet (150 mg BID) from the earlier tramiprosate phase 3 trials. Correlation analysis versus clinical characteristics showed that plasma exposures (Cmax and AUC8h) for ALZ-801, tramiprosate, and 3-SPA were not affected by sex, APOE genotype, age, BMI, concomitant AChEI use, or tablet lot. Plasma exposures of both tramiprosate and 3-SPA, but not ALZ-801, were inversely correlated with eGFR, in line with renal excretion as the primary route of elimination. ALZ-801 was well tolerated without new safety signals or events of amyloid-related imaging abnormalities (ARIA).

CONCLUSIONS

The steady-state PK profile of oral ALZ-801 in subjects with early AD was not affected by sex, APOE genotype, age, BMI, concomitant use of AChEI, or tablet lot. The inverse relationship of plasma exposures of tramiprosate and 3-SPA, but not ALZ-801, versus eGFR is consistent with renal clearance as the primary route of elimination for tramiprosate and 3-SPA (active moieties), and with the efficient conversion of ALZ-801 prodrug to the active moieties after dosing. These results demonstrate that ALZ-801 displays favorable PK properties without evidence of interactions with demographic characteristics and support its development as an oral disease-modifying treatment for AD.

TRIAL REGISTRATION

https://clinicaltrials.gov/study/NCT04693520 .

摘要

引言

ALZ-801/缬氨曲米普明是一种口服小分子β-淀粉样蛋白(Aβ)寡聚体形成抑制剂,正处于后期研发阶段,作为阿尔茨海默病(AD)的一种潜在疾病修饰疗法。ALZ-801是一种缬氨酸共轭前药,口服给药后迅速转化为曲米普明。转化为曲米普明后,它产生单一代谢物3-磺基丙酸(3-SPA)。曲米普明和3-SPA都是活性抗Aβ寡聚体药物,介导ALZ-801的核心作用机制(MOA)。我们在此总结了一项2期试验中ALZ-801在早期AD的载脂蛋白ε4(APOE4)携带者受试者中的药代动力学(PK)情况。

方法

ALZ-801的2期研究旨在评估ALZ-801(265mg,每日两次)对早期AD的APOE4携带者血浆、脑脊液(CSF)和容积磁共振成像(MRI)AD生物标志物的纵向影响,以及104周内的临床结局。招募了84名脑脊液淀粉样蛋白和tau病理生物标志物呈阳性的受试者(31名APOE4/4纯合子和53名APOE3/4杂合子)。2期研究包括一项24名受试者的子研究,以在65周时提供8小时稳态PK数据。还分析了稀疏PK样本。评估了血浆PK暴露与临床特征[即性别、APOE基因型、年龄、体重指数(BMI)、估计肾小球滤过率(eGFR)、同时使用乙酰胆碱酯酶抑制剂(AChEI)以及片剂批次]之间的关系。

结果

稳态血浆PK结果与之前在患有AD的APOE4携带者受试者中进行的ALZ-801 1b期研究中的2周PK结果以及在健康老年志愿者中进行的1期7天PK研究密切一致。口服给药后,ALZ-801迅速转化为活性部分曲米普明和3-SPA。血浆药物水平的受试者间变异性较低,证实了ALZ-801相对于早期曲米普明3期试验中的口服曲米普明片(每日两次,150mg)具有更好的性能。与临床特征的相关性分析表明,ALZ-801、曲米普明和3-SPA的血浆暴露量不受性别、APOE基因型、年龄、BMI、同时使用AChEI或片剂批次的影响。曲米普明和3-SPA的血浆暴露量,但不是ALZ-801,与eGFR呈负相关,这与肾排泄作为主要消除途径一致。ALZ-801耐受性良好,没有新的安全信号或淀粉样蛋白相关成像异常(ARIA)事件。

结论

早期AD受试者中口服ALZ-801的稳态PK特征不受性别、APOE基因型、年龄、BMI、同时使用AChEI或片剂批次的影响。曲米普明和3-SPA的血浆暴露量与eGFR呈负相关,而ALZ-801则不然,这与肾清除作为曲米普明和3-SPA(活性部分)的主要消除途径一致,也与给药后ALZ-801前药有效转化为活性部分一致。这些结果表明,ALZ-801具有良好的PK特性,没有与人口统计学特征相互作用的证据,并支持其作为AD的口服疾病修饰治疗药物的开发。

试验注册

https://clinicaltrials.gov/study/NCT04693520

https://cdn.ncbi.nlm.nih.gov/pmc/blobs/7567/11954699/0bd5f1ab1137/40262_2025_1482_Fig1_HTML.jpg

文献检索

告别复杂PubMed语法,用中文像聊天一样搜索,搜遍4000万医学文献。AI智能推荐,让科研检索更轻松。

立即免费搜索

文件翻译

保留排版,准确专业,支持PDF/Word/PPT等文件格式,支持 12+语言互译。

免费翻译文档

深度研究

AI帮你快速写综述,25分钟生成高质量综述,智能提取关键信息,辅助科研写作。

立即免费体验