Suppr超能文献

储存过程中香料和香精中微生物群落的表征

Characterization of microbial communities in flavors and fragrances during storage.

作者信息

Feng Yingjie, Zhang Tingting, Yang Jinchu, Liu Wenzhao, Yang Yongfeng, Huang Jihong, Huang Shen, Yang Zongcan, Liu Qianjin, Zheng Wenchao, Zhou Qing

机构信息

Technology Center, China Tobacco Henan Industrial Co., Ltd, Zhengzhou, China.

State Key Laboratory of Crop Stress Adaptation and Improvement, College of Agriculture, Henan University, Kaifeng, China.

出版信息

Front Microbiol. 2025 Jan 22;16:1516594. doi: 10.3389/fmicb.2025.1516594. eCollection 2025.

Abstract

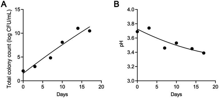
Flavors and fragrances are essential for product quality, yet they are highly susceptible to contamination due to high moisture content and rich nutrients. This study investigates microbial growth, pH changes, volatile compound dynamics, and microbial community changes during the storage of flavors and fragrances. Results indicate that total viable counts (TVC) remained stable for the first three days but increased rapidly afterward, exceeding the acceptable limit of 5 log CFU/mL by day 7. The pH levels initially rose slightly, followed by a steady decline, which indicates spoilage progression. Gas chromatography-mass spectrometry (GC-MS) analysis revealed significant degradation of key aromatic compounds, such as 5-hydroxymethylfurfural (5-HMF), vanillin, and its derivative ethyl vanillin. Whole genome shotgun (WGS) sequencing demonstrated a marked increase in microbial community richness and diversity as storage progressed, with a notable shift in composition. Early storage stages were dominated by fungal species from the phylum, while later stages saw a rise in spoilage-associated bacteria, particularly from the and phyla. Throughout the storage process, and its dominant species, , remained prevalent, though their average relative abundance decreased from 81.26 to 32.29%. In addition, the bacterial species and showed significant increases in relative abundance, suggesting that bacteria were one of the key contributors to the spoilage of flavors and fragrances. Functional analysis based on the Kyoto Encyclopedia of Genes and Genomes (KEGG) database indicated a shift in metabolic pathways within the microbial community, with heightened metabolic activity correlating with spoilage. These findings provide valuable insights for improving storage methods and quality control of flavors and fragrances.

摘要

香料和香精对产品质量至关重要,但由于其高水分含量和丰富的营养成分,它们极易受到污染。本研究调查了香料和香精储存过程中的微生物生长、pH值变化、挥发性化合物动态以及微生物群落变化。结果表明,总活菌数(TVC)在最初三天保持稳定,但随后迅速增加,到第7天超过了5 log CFU/mL的可接受限度。pH值最初略有上升,随后稳步下降,这表明变质在进展。气相色谱-质谱联用(GC-MS)分析显示关键芳香族化合物如5-羟甲基糠醛(5-HMF)、香草醛及其衍生物乙基香草醛有显著降解。全基因组鸟枪法(WGS)测序表明,随着储存时间的推移,微生物群落的丰富度和多样性显著增加,组成发生了明显变化。储存早期阶段以来自该门的真菌物种为主,而后期与变质相关的细菌有所增加,特别是来自该门和该门的细菌。在整个储存过程中,及其优势种一直普遍存在,尽管它们的平均相对丰度从81.26%降至32.29%。此外,细菌物种和的相对丰度显著增加,表明细菌是香料和香精变质的关键因素之一。基于京都基因与基因组百科全书(KEGG)数据库的功能分析表明,微生物群落内的代谢途径发生了转变,代谢活性增强与变质相关。这些发现为改进香料和香精的储存方法及质量控制提供了有价值的见解。

https://cdn.ncbi.nlm.nih.gov/pmc/blobs/08a7/11794204/767c93081ddd/fmicb-16-1516594-g001.jpg

文献AI研究员

20分钟写一篇综述,助力文献阅读效率提升50倍。

立即体验

用中文搜PubMed

大模型驱动的PubMed中文搜索引擎

马上搜索

文档翻译

学术文献翻译模型,支持多种主流文档格式。

立即体验